,.*")4

Transkrypt

,.*")4
3
%zd/u"T
C
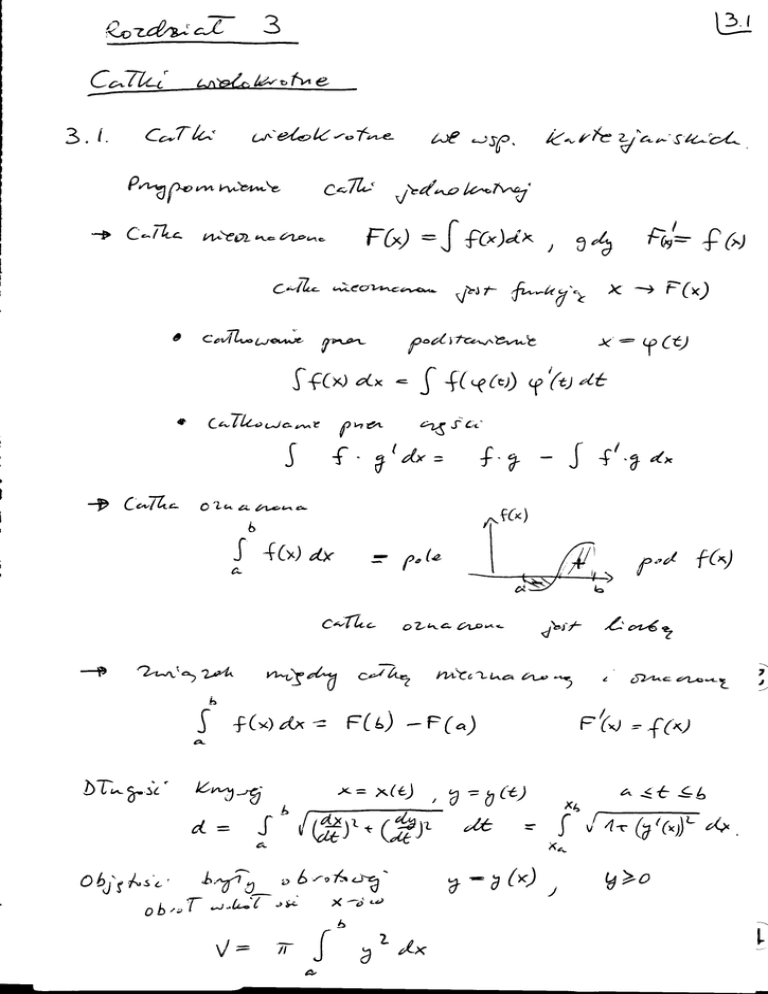
3.
i.
Cc*T/a.
Pnprm
-p
-of,n'e-
u;e/n>l/
n*Vt,-Y
(^7L..
C'TL'
,/>4* /*-ts,.y'
*te<>>ac'+&>
c-/Lc
zg"c-*'Sk*'?t*
FQ:f fc+ax, e4
t+e ?1pere
k1*yt>
(*rfu
4Sf .
'J€
cJLctn'r^n
V>, -
,Ooa(il'ce"g.,E
t/
f^*k
trr!: { f^t
X -)
A.\
F (x)
/-gG)
ruU
'ft1
f f(^l "c" <:[ +t < G))? at
C-TLct t) e^tnt
(
J
+
C'"*7L^A L o .
t
r
3
(lx-
r
F.i4
5
-- 7 " b
L
C^dL-
,.*")4
2Zh
r
I
J
t {t.7a*
t7
zt y'a.ecta
J *6) d.x
2-r^r\\->
44 'r c.'
n^
f
oLtnc-
Cr/ h2
1",/ fG)
ApaL
dyff
miYrLtaar
n,
fu
A
-r-<,
.
&-u.c_ ?u>42
,
,
+r
r /
.
n
F(6)
ftx)4^=
-F(o)
Ft(*t ={(<)
a-
DI^h.:'
O*l<j
W
d-- J
a
/
u-b'(
X -6 ")
"*"
rlt
V : 7 rJ
A'
I.
*
c' <t SL
Kt
I ,' 4- (A,G)'&
=
K.i
O b J ' t r d . ' rL
' fa_rA'oA"AOb , ' T
-a&)
t<= x(L) ,
a
a'/*
?-7k)
h2o
)
w
L
atY-/"/z'z't\N-ee
C *Vd'
a <* !L.
d'w'rh7
(r,
(lv.{I.-,?tT
ba{ld^rJ-n
b-"^--x)
*W
(n'd-/,ncY*2
P
^
2>r pn-z{*'.<fo.[Aa, r;*4J
}1.c
d7
Y
s = ' dE
r \
r / ' )
/
t (x; , 7o ) (xr- - x ; ) ( J i , , - 7 , )
J
x;
\tL!".
P
S {;.1
- a* ;
V"'r ?' , Vi.t
,
'-.-fuf
eeir,,,#-r:::'-"o"Tz
i"
)t y*.f^
,. 5
^t(-
.1?\:''c4u
f
^ap"*A
[,
cJZs
^d,
n"'5Q4-Ta .
L
4., ^
:
"\
H :3 <- .^.k^
Aa-Jo / 11'
.l
ff'rvneLy6,
t
"ff--
V'>
.C. ;-
ua
)
c:,o
r-.> .42.-
zt
ffe /*4
fr,,
o\pAJ<-'
t1.\< ,-nfuf ot^Vj
F -nv *ad^^;t{ 1
{ G. A J
p,"0
,/ou
P
,/
.,t;^-
y/
c) Gtzr.uY
t o6.'gJ'"c-1
,J\.r
>v
/:2
.P
t&" ,x: ) Ax; oV;
'-ALb
f,)../u$d'^-,
J d xJ h { G , t ) =t + J * +&.)
= ffr-4 ,fC*.t)
.x
(' * tl^o
a_.3 4
rz"aa*Yua',
aA.
[r^ -, t
,t>furt'
4>l
d
11 7.-,-du,,D
AI
u Lf r, *;.<J
g-',naL;.7
[-o. eJ
Qocl, Lv--'e
fe..,
{Gil,
:
c'{r-'wkr"'f^'
UIk-
e
-t
{ G,b) t 6Gt)= d
forh
{(",r)
P
rrF
G,il
Ia.+
a
r
I
:a"}
P4rt
T €{a ryI
"b)
l"u\4$...*
;
U
V
.*L'
r-1Y
\+ [r" tGx)
f
t
ti l\.,*u7it
a/e
,
u
rn-)vuQ
91
P-a6A..
r
o < o " a< 4
,*r,YOL
l
l
xt-:'
5 dx J 4
=
r
J1\L*
0t*r")'
$G.t)'=
,"?,
0'* a)'
S +Ct{ $"b'J=t
u kd?
'Tutv"r/t
l+..o',tr'*
o
---t'Z
e
A
i*--
{G
g'ett
/-
o A,t
.*fL
Vt
*
t\-.W.'.t-zx*U
{(",2)
#
a--Iu^
C*TL.a(
F*LI-
?4b
)e.-.
d
)at-u<.
^
So*4 FG:)'=
&
6w
n
t.
J
c
r/v't-rv4-
6, b h*n
A
f
(nnA^
F-,* AV-'
fr.L z-)h^
A
rtt arl-t*o.
*
I
S rl* ^' .-r*-' -i
u<
L '+rr'42'
ot
d-uPn--u
Sz
,7,-- fu ua-e dG
€
/R
'
o[).\-c
f oG)) {"(4
SrC*t
ol XnQ)<'< q"&
= 16.o), c ..*1ys
J 4
F(*,r) =
{,tLx)
A
"'
sLok^
4
cf e:*\c-t-o-.1i P
q - - l C r l : , . - < x < 1(a(t)
, -< V'$rc4
.D<
b
f '
tLu
J
;
o;"fi-
Obtt-,
9$
A
ar .+nX z,L ;
oLc '-s t L,--t
0
c.s,
)
a.'(13*.-U*n
ct?-\^L\A'>
k'n
C a T;c,A
k. a*
2
FrwstJ*>
p
a
,t*?'
rn' J-Sq'
,/^ -4ra
raa
V
",t
.s,t - ; tun*
,
Ct*r')'
1
(
6^-2.
lLU)
(
,
) d v
2rLJ)
r(r:)
t3.v
f rry iiT-,/
rI
vt
oL l"c2'
J
J
rO/
t
& ,,vt
,'^ n
y
lto
,1w,*
-'t /l
'K c.-/Z-.
tnttJ-
rv
e^utk3 et
*Af ,Yut
!.
C-rL. f"
O-
7/-.u
)
{ 6 i l , * f,+,t<t )
J
)
l
c
v)o)
fo/
s-'faoaaV1-t ,*V
d-xrZ,U
tt,
I
,*'oJ'
f J
a\
?
/,
CLL'^-*-V
Y
f.
T
/7;{/L
-f7f t
!* [+
-4
>x
..47g:
t
.4
a
,
/
L | ,<" (rt- x') -= .L
6
\
L 4 =
J
5
4
A
1
f ^2
,-;7lu nz^z'
y;
'u^
/ ., 4
f
n .
C*l^Lr- z-irazi-
K
u
f
l
^
t
^
t
T
,A-+; ,e + ,F\,
Yy
4
,r
"
I
_
\ztL*
\ ,t*
v
v
- {lJnr'
2 _ \
/o
c-C*'<
1-77u
/u-t/ -y'u ,-6-
X1 "J
vz- *E+;;
t 1. p ,V,,J'
.'
aya-.u,^" c-z
o 4 - i ) o f ^ l
oc-(.
5e
V
f'
ts k,7
q
("
/c; U7'w* s t*'
L 4l'^1a
i
: 1 1 a ( t , f--1
ll - 7 : L
r..
7
()
U
.11
'%t
U
l
1
L=)b-
P,.6l*t--"(
0 /'1.r-vt'
/ sl - 4d=. .: r 2 - -' X
7 p . z c J .f 9
f
1
'
rv^
*7-
oqr-ta.u.)c1,
oVJa'I;*
a 6g^, c; rt-€
]
'
V-4)'*X'=
.?f.A
c^T/1
4
(
zY
o
t'1
:
g
L
_/
L
,
FnX-'3
)
-y
L
I
4
=
U
)
I
I
2a
6r
,-
l
l,/x
o
t(x,)
\,t,
7
{ Qx -x'
i ciL.
.
.
v
ra
r
j (x,z) f "
L( €j',
/-'€a
ok.,'
ok.g
7'e
aL
)y<: :
l
4- ^
')'n"""
/
1.1
lw${,
k
v
t
/
5.-G
t/
n'n'{,,
A
L1.
')(
*J
,rr@
C.'/ \
,.
i*L;
z
d-x
)
\
J
.
'l
A ,
/-ta r,(
f.c,X ,
/<.^ztt..).-<
L
r ,,L W ( - ,
,
^=1ip"u".
V
J
\ ,cx
t
t
Y7z
{-t,,1
&: j,-/"ti' k- %'/,\r,{{^ ^1 O 7 .-'.,
,o', kt-"tt"2l
f r.
L-2
o ,1'
J -(g-1'e 6'
tl /'> t->;'Y
4r19Y
n"
I
-
:
e*/? "4v.a7
u
^
3
r
t
t
v
4.
-
!
r
l
l
/
<;l'r'<;'zu(ae'-'4'
U
/
'te,
t'.r;t1
f
'
,v t
t
e
n - u )
4
c1c'c
641
-]',
I
t
\
"-y",'a
,
f
,lj/a--€4
t
u
.^Vr.-'iZ
i
it'rarv*'t
(
J Jt
O
,az
{ur
^-
(
t
)
{)^Vf
r
t
lv-
u
1" *tl
7" ',
(o/Ct
t
I
\
t
L-2
)
( 4e
+
U
\
-,4 I
4 J
- L
L
,.,
('
\
lG,l, t) 4x ch , (z
J
C.
7.'r{uJ,1"^1\
W
'
{?'f in?'
e/'-
\
'
1".,n -t Js.*c
c ft*l
ln.s.,L
,
4.'J t
t^ t-{5.
t .-L'
a1
nl'ut"':-s A -v
/''l'
c*
Dl.
,3'. .'-ry
tAe
''z/'eL c-l*
L,
$.1";
I
'
f"
l.
\
/r l
(/ .*/
L
6.,i/"-n'9,
-
^o\
t/
+
L)
i
, ,? i/-
)4.'"L
U
P
-
\
J
O
o -P)
'Y/ /2
ll r "t x '
&z<-e,1
( ts ,/,
Jrcv
J
r
I
f--t'7-f f , V ' * " t uj
*,
r
x/s
(o
L',.n'(,n*u*;*
t^r;.-,
f
t--tt"
,.
?zoJl'*.vt-J
- 4
,'l
I
'
,/v-7 LdnLv;( /"r
lt*'.
l
2_
ilu
-
&.1,
V*'/*-
,
t
I
JI z t Jx l ' at t Q - = - \ J ' t t
,
G
d
f,t "- i,-u ,*h
t,X
1=
.
1
a
L
/U/
(-/
" [
cLx \ /,t
U
{,' tt't
,4*"\
cr-^**,
4
;.J
eh)<
a
:)r(r,
1tb y)
t
(,v
J
4 t ""1,t)
1'(x'
tn-^t- /-t t)<
1.-b/t*i(t
h
a-t'/"
ut
J (t
(Ir,
/t'uw,,
w,r^^
k/. ,'e
/w^r'(^-'
flp
6(u-
t
L't/*t+'c"
, .'l(ot
i (o u,a
\
, "*. ,
f<+,e2,.-,-<,''t1
')
1"\ -n LJ; '- '
,/VJ'*
c.q;- )
cJ'"if
'+= a (t 1
u2
( /-i
x={^(t)
M;r rL e -
t''
7":7-c'
.(,3 rt"-.t
--
,, T,
, - x
c:614*\.t
CuD'-
7"C4/LL-rC4
--J
z4a"ua
,1-rlt
V
X=Xlt),3=y^,U)
xL
( .
J&x
X,1
o"b
) ,(")
x)
L
" tG)
|u,l
\-h
( |
\\ r tJ x \ J l U I
=
d1
f o(*)
Dy p"l-*{, ,^a
.c'
(),u 6>"'s-
?
-
)
+ ft i t r,
\
X= xr(t)
/
t)c,,,lnr (-c,-
" rl pu-^' . "L71
rt" 6
f,*-tr.\
12 (x, Gl) = Z, G)
\ a ^\ r , zua)
Yt
L)
l
t
f.
"
r
V=f2G)
{r(xrGl
ua
\
{
-
L
( o
:tut)
(
' 12Lt)- x = y z ( t ) - - )
)
t
\x)
(
o
/
x
xL
rk f i.ktllU frA,&t,i
I
A
o
r.-*.z r-'
t
./
L /'-l ,{
'/1'
(l
t/-atf.-^4\--.;
To-.-
e-n'.y
c
' / ( l i r ( r t l , !7(t)
= f
+ ( + r, cv ,) , b
J
tp
^tb
/\
['u4/.'aroN
e
\ dv' z(,7 )
K>
f"'4n2
u,J)-
z
-+^
(
J
t4
cTa
J
t4
/""*tt..-;4
, ' 4.ir7*?
'JL&)
l
"
'
i
r
'tt I Uk\ )
1
/'T 1i, (,r\i
#(*,[t),z) ,/,
v
t, G)
8( ^,(i,*)
./,
4
f,*6t"C tl
olcLi&tt'
J
q.s
c.-( Lu oJ(F1
o'
= ,l- C-st
A
g (*,3) = L
,8t
ziif
P =
,
I
)
,2tc(
f
X = t - v^t
1-;ak
c-,Xl^r6-trt2
u"*
o ,-n'c ,'e'{u
,pr4u
U
f
.
=J
I ?/T
l
I
_
)
Xr/-u
t
{ 16) = fi k 6n'1.,-
0
LF
(t
c/' il
r Tz(x)
rir
|
./
I t - c-stl
, /
tlt
z.Fr
/
(1 \/,
\
(4- C u s t ) -
7
L-rC
)
a
,!n
Lt,t
/
= l,trl 1'
o
..\
-
L
(hr^yt r-
't'''
u17,-clr--\
tf ^1 -;"{-t*,
,'c
3
)
/\ t t ' ,
+t
a?t
,,- 7c-,t +
L
\
'
lz)
,f*-(
P ""1
ta
|
.J
o
\
uY Lk-,A^1
C-"T,Lt"'
a)
r
\ ./t
2c,s t t L.tt4)=
/ t'Urtglt(
)
r
.
c-.,7o /"
..4 L C,.te.z^'^
,
I
lCtz"<.u-rrd'u-'
/
d ir ' /)g../-'-7
u",' aL
\
,z-
/z"t
-l>A
tul t'r.,
fu>
P""-t-'l
: r
I
J
D --
l
|o\
('
J
\
-R
obt-7c
'a(Q,
't r
' t xS I
-'N
/z'l '
n. k
il
Y
^
-
-
{a'-\L
r
lr'\
o
L
= - 1
O
lzL -
/?
'lt
[)"cL,1'1LV
oz
p
)><
=
r &y re}
N iLL
J
(/
/At
v t 4
t-€
r-sp()
A
/\-
rl
-= \
a(t.
/ r,'4 a v X &
b:tinn,-^r
rLr zL
^ -
t/l
( ,
_
\/rt"
t
'
\ ,lq
t-f "-"7'
r i 4
oil
,'i uzl't
z \ [-,
-
X =
((.t:'c1, 7:.fF
t/.s= -Qrlv ,{,re
t
-,:Z
y
-
tr.
',(**^
a c:-
rr/le cL
':
I(' ?)
.1,
?nzr/-l
n .U+wre
fT-
L ^l .u:-'( L-'o .)6, (U,
"l
\ ( x(' , ,.,'-.)
., ( '..) )
(
r
/
L)
<: .-i-
t:/ti*
,/
. \
" / ''t-3,'/ "''o
uf
/4
\
1J-
,
t/L<:-
/'t*'-6"""'n
( , , q i+o\ t (oo ,rJ ., )
1-o....le p-',tt/-,(,-u
\
^''.,'+!-
n
.
v
,
;1')'-'--bf1;tpL-
*
,
""vciti"'
oif"
c,"( ":-
-
(*+ x l ( r . f l
')_L
2 v-
ty
2.d-
i
'2;
)\)
--
l
f
t
_
('' :-os'
cL.u c(g
') c'
c'"o'""12
L-'r-('{cw'n
c< e (/"^
fr'o '
r
|
x ;a r l
btx
?)L
^
c'r/
dr
t
''''L
tt')'')
f*l
(j
-'''i*5
'11) 2-
,,Jt
fz-
('' L
t u( Li'*' L'fr
L(,
1- *.c+L
c..,;'<
4>
L
o
L,^
l
h'co t'
bT-v-iL'
n.ln
'
,Lo'f'*">"'^
D,trlt)-Lz
.c*(
ai
4Lwo('fuOd Y^
(-cu'<>'t
PZ
I
/Lu
II
=
I
I
"/
=
lt'
U ^
.
l , \
a\^
4.)* r{c.
2)q
.4
.-\.t/v
.
-J
.,
/'lrt
\'&)
\ ci.^ ctr
t " G u )I
u-s.
'rV,i)
= r ifr(x(
u,r), TUqI"r(u
o
L;
til^
I
I l.,{*
t')
|
,utr-,-
!;:;
v)c
-
'^l,-,
-.1
- Fh.T
v ^t
c c"rq,
\
\
U',-or,f'f ,u"rw,L
.-'L^J-n-.
8.,t
)- a t . * . ' u - <
e
)
''L "*-'
e.,tt-Y*u(
€ * uln-t ,(,
J
/-rc'
)
, -- 7( ,
*
l 2al
l - /
4
/
(u+v ?-n42
(y't.2o
t
)
t
,7r
1/,L,"nJJ5
u (
,rI>t(*'-k
rt,'pazrta-^
-i;'c't! d(
yi
t
T
I
t
I
,(V =
r
L
J
I
q. vl t. 1
I
\
nu^' /-z^,
:z(-a r'*"t
tV
,
j'pr I
,.?
-c,t ,?
-tV
t h,.t't-'
.'". f' -., ls"1 4 "1'L-2
f
x taul l /( c t u c ( u ' r t , : l),,*#' -f
a +
z/f
/
l
,,
:> (71'lal .-5
t
t r-'or-"'
tz'oLr -urG f,
k i
,>r7o7
,,/
a
k ""-X -d:
ut/?
At
,-n-'ot^
f1-xt
al'd
l',U
1,,,,
??- ldutctftl
fo- )rl
l"'n
1.ff, "i"J
'i,, F
i L'I
c4 Jc
J |G: t)
e
I
r
, I C'/,
'!&
0.,;)t ! U u,,u-).,t (" f .)\
th d,
'/ I
I 611^
I
(
u
.
c
,
d
l'r'
/
l'y at.7cL2 = \ l ( x ( "
J J '
A
P'"n'rT)<
g., k
ub L , r a ,
L-t-t 1rz.w-j tt , zt
p'a
91
,L
'z
( 3 x" *
L '?' l)
^
tX- 2-
L.
/( r''--
7'D)'r'*
l.P C.a4
/ r
D 0 ,o, t1'. /{4
)
J
4n
C
, /-(
1..4
S,/L', L-7 | /-'.
nif:Y- -" L c"Y1
f
11*al7
.f
U
x - 4
\
?L'Frr,
det or-1lt ,
1.' 6 ''
t'\,
.-/'-L,c.-./v\
, {<^.12,.21
U
+
I-
/ .
k't-
"L'FfX
p';t:f'.
"'/Dft^'
A
e /-'7,r.7 ,/*'t
// ., ((
5'{x
)
C?
lvtt
o'{t^,-^ n e-
e'Nae'
4 €.cf\.,
t fr\r/t-4-
Y\*'.]Y
uif
-=
10
r bsy
=
4u r
t^^(
-)f,
..(
,b-
/< t*JLIi>("*
u
LzJ'u?f-
v
" 'E
4
/
-5/- -f t t
I
J
Ohd, '
-1 + Znf^1
{=
?=
/) (
4^/?ry
4 nr f-T
,(
< r < -/I
o,( f' u"
t ((<Z/T
r.*,y- 3c e r { r - 'lo
-= ( ' " t ( * 4 r - s 4 )
r
li
lzn"'t -qrts*1, vtoJtl .+ 3
[[t^4
f - 1v ' g ; s {
"*nl-
-:)
?r. e- s,g
t
-l
agc
h
/
T
' J
\'10.,(, J ^f
t
:
l
l
O
4-=
w
/Tz P-. /,
/
tr r.-c rrz- r./iA
c
c,ne'u-un't'
?*(-*'
|Vc-
'
.A 4
jitr*r.nnr,.ltL
abhe:t,,)
A't7
va -
/^Y
1
u
/\
l),/\
o u,
,ttV'b'-tVn'l;*rt
,r4uq
r
at
tu4 x,{
?--:
c -n'y
-x-
It
J
_uO
L
p'V
t- o e 4(<
.'t-x
p
,
,6 /n"'r/"*'
rl>lt
'T-t-"
rft:r^-t z'
c
f
(
/
-
l
x
e
j""n.l
1zL
L
rk.
/
d)
a
/
7
-'s c
.)
"
'/t
u,,' - r fr ' .
F,, f1J
,
J
_xl
"' x) =
cl>
[ - ;
-(x
ov
rf
'=
o(-<'"'t
J
Il
JJ
€
\
" z')
'/'Q
X</(*s{
F \ . q'
9
:/
w
,z) t I
u(q) l -
)
-(}J
^, hr
P
f
_)
r -
r'/L{
e
f
(
, ^ -7 ^ u ?
c{y =
I
J
f
Ltc{"
{t
i+ -T.
.-J-
l11czY fu
(.'72/.,
t'o,lt.'
: lr s
'-7<z(4tsa'a
rL
, 1Yr/'u',-k"'f-*t
c-"rE(- 1a''' /"-<
Jrt,)
=
o{t
5
= T
-yt
"-(r =
v/t
.?-_s /L- /z
7)/r*u-,'IJ
-.\
c*(z
<:(,,
7
, ;.J')- .lr/i'c'1,
]J
,--'Zfu
/"t'
\
c.:/Q-) -
Zt Cu'1 ac
z4t>v
4Z(
( .'/7<-^
= ( l e
I
:-7
l
13
4,(2,.wz2.,*t'>u.n
(
* bL'6..^r, 6' .
"..-">c r-,
fr:
)
L
t
c't'
..frs
t
x
-
i
s(
-'ufu'
P I"
*J ( , ^t' ' -
-
ry
vt<
(
,t
l-'1
r
i'+^t "-t u ''t^'*5
CJLJ
c-?e1
J
ob L: cA t
i"
,-sI
a/j\/<.)+-(
-l
,4
t'4"6t<c*-)
k-
(9^ , b
cst-
ffi^
,J
ll.-r'71?*.!
I
I .-Q4 J o7(
,Tr*o1
_./
7f
,-i?
L:
th'rrl
L'/
t
o6tr.''
4
"' e'z'a2
uy'6\'-
e
vy'7
-
J
/^704;.
t>J
ri'e/2. o ku''i'
c '-nu
eL-
c'u'n'Y
f-- .l-.f
2t'rfTr-z
"'
,--^tt.t 15 < * " ^ t e , - r ' Z y ' r t k " o l t ' <
C ,-7Lw'
)
\
|.(--
- (rx
Qi
I r(x
cr-/'4
b/.h r.ar'
,-t-aY
(
.. _t" f,
r
,7
U)5.
1.-:
r
\rt"
l d x
$
o
f'
J
/,
-2x
'
/L
!.
"L\
r
e-
a,l
\J
n
t''..,^, u,4 n /(
- x s- lIi : ;
t
= |
1" , ,
{
L
I nLq
:
J - /
&
4
l yu
J?
tl 6L^ o q ,
ax
(l a*4'a
-
(.
4
\
r
z
(
/(Lu
-
)\
,
(
)
LU
(
F . - 0 ct'Y
\
.T
{r=
+ X l*rL+?')z
n
>e
4
'r $t'at,rs,E
't$*:at, 9^ y
r usF
(
.rlj
=
cL
e
( '
I
t) ,
'O,'
J
b
u
h
I
x
'
e
X
)L
(
-L>
€
,
: 4 i
J a r rfi.;
r
J
\
o
d
\'
-
7
,
rr' v
q
/
\
)
H
w - rv ' l -
cx:,
= trtr
o ('('un-zv*
Sf-.5
]zt
,f t/.*.
.
J,
t)
,f ^-1
1) i
/
.}
? . S / : s , , z - tc-
zv s Hfwt^
it
(z-r
I /o".fu {
l
o
e-5/a"e.'-'
d
r'
P-= J
e
O,bt" c11c
cU -tl
4t tr\
)l.
(-^-
/
I
f
/*
t-Y-
J
dr
/"
- A i- ..4,4'y
7t,
1.
c
('vz
k
o', -
n o|u,=-ro^
c,'u. ^4J
^
. / |
(>-t'no*(.Lt ef
br-,*tn*\
/\ x ' < rv ' r* ) t =
l
c:, )
,rt(*r-A')
\
z:
ul
A</
t-{x,
-t
ao u^'uu*rV
G
- /
({/*1
, J ( J \'
L t19
>
tV
ctf-trLt
J
\
L/
I
k
<
T*"^t
r\
lr(*)
(
'
r
-- :) JC r t x \ c t
I rlx)
lir^
tsfk.
r>2,.t-t 5
n*y'tv_
F - rr1in
,("t"?
(
'L.'la"!*i"
( J.t * ^\Lr - 2
t 1JL*
( ' r , '
!r(*)
) J r *|
,"U 7 i
,1-^x
( r
t ot' r) l J
lv,tLn" , 'l - V
''At:cr''
ior-,',
"'lq
*
b:'6''^-"^'4*t x- i^'Y,
urf'f4rtrr^-
/n^s
b'*' *-s h' b
{- - * oiY
Ltrct.
0
-
LJ;Jc
-
l
2 ' - o- \
;'4
_
t
-
-1r
. rq .r'^o(.
a
,
r
11"
T
<Y
't
..,
l
d ; , r- \
n
J
r
f dJ q =
o
f c--'**tr^.a.,
= (x)
6r {
L^l -0
,LT^s^t.'
n
I
t
I ''J,] L?ttl
"l
4L
t '-f,t\
4r',^.
QVtf
r
a
-- \ , Q + / *
/--
\' - \ lki'*Ge)'
J
)Y
J
P,,cL;tvn'e
\./X
lv.e'l'
J
(
lr-,2
dp=
ff ury,-
(-/
c-r i cz\-
/
U
,fu*
i4^
v
p,a
f)oc-aYnt(tu
lf
"-,*.t,tzv'
,
lx
tz
t-'.t1t;
--JF'etr"c'/-<
tl-tC,1Y'*1
t
v
uJ
C y c-t
';W'"1
;
?^,
( -
+
L4u- ^s 1,,h
'J:l*'f
i
1'st-'
(.,7 yL c':/u,
=
K,
P,',.ru
(:ii
cl'-
f"'-t/"ct?s'
,J*,_
(
..)
1)vtz
,
t Jv--tL.'r^'
/
t/'i -{<
u'-s-t,-
r
l-,n^ kvw
t
':
'^
. l
a
{(*,1
-
6'40-l^
-/"'*
5-
"rn.t
t *V
,J
'
<u\>o
n,, ,'^Eut
214n4'^a*h,
'z
c/'t^-
l l
l
v
,,r;61'-@y/*,*
P :
yr.
v,.b^li^
z =1(^,u)). l t t -u' " j
,{Y.rLi
r
f
c
FZ
?,+,r4
ubl; -fl
/PU
,J
r, br uh .x,
.')
€
,,z:"Ln'uc'
1
fr,^O
unY u'LCz{' '-\
4 /".t
,)
'/
/'!
\
2
/
e
+
- 2
/
^
t*,
c'6czua1 oLL:'7'
pr ' Q
,
- h ,*T, J
9 y
, ',f'L'
f,: 'aY nJ;
al^-le*-
{h' ,/,"*v 'ar'lu'"i
k_*v;
K ( o., ,rE")
rD7, ,-11 -0
4(O
()xn
f
fr*nAry
i3,1
,)l
v
l=-
X =,J --Z
5\'^.;1 k-
-''t-ta*L'Y..Y{)
2"-*-'^^
I
i\
l
l,/
U
,
V
4t
+ x L* Q3 ' / * ' / v
./L
P,n a.'i.- r4e 5 ,,
6hL
F
f._-\
r'-(o.,lad)
QL=t'J
t'')eij^ t,t', c4/-t V. / ,7q7tr-,irL
,,,-_*_
V
!
v
GT
('- ,
;)
a
r= Jrdq
\f/e
J
.
/
f
4tro
v
l/-.
"1//
:
rI !- , l t q 9
/
)
A L
c
|
\
J
t
zK "'t
/
/
(
t-/
d J '
= +'L(,*)'o-a
L-tltt
9j
vL(
Ot,-^Y
/
/
tu
D-J n&.-s'c'
.5,4An'4.-:
,
/
'
s A'z /t,^
\
1 = A
o' ruul)
j
U
z
1 /
-2
\
Y x - * 3'
;
t
-4
I"n
^
'L-1/u
^
/
/ ,.r.---- a',L'a1 5C-" A-'o
'
J
V
v
oov'
/ r'- " *r-l
/
'"t /+LL
f'5
-1
a ?T ^5r
{, LL t1(
ln,
6l
za t--t^-\wvr-
f
-.ts ro*V
r
4t \ -\
Y"'.
-i-...
(
i
.)----)\-*
(t, - !,;;;
) AxcLpt:=
X= f c<:tty
g =r hY{
K(0,.)
14
r
t
_)
/1
I ( l r ( ^ -! s
U
) : 2 T L
J
r
o
7
, t' ?\ ( '? - ' - \ r )
trz /,