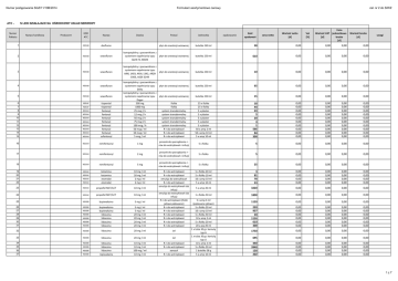
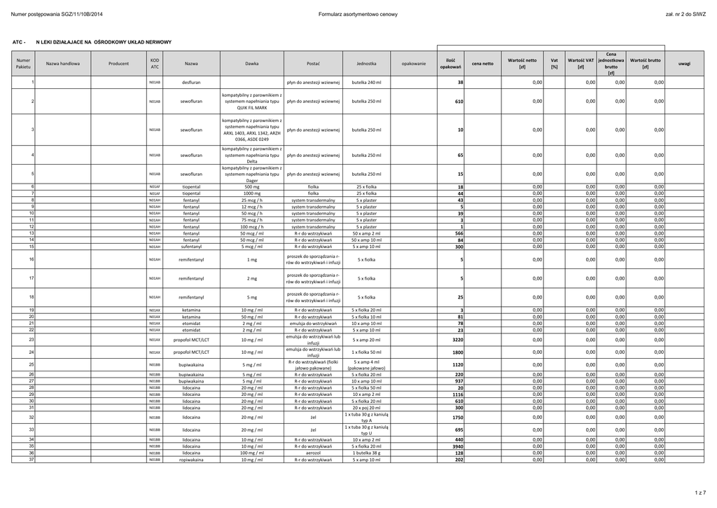
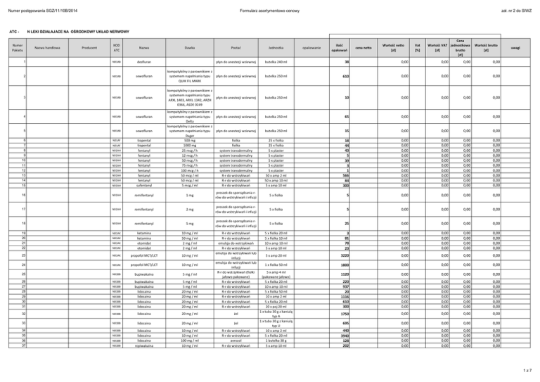
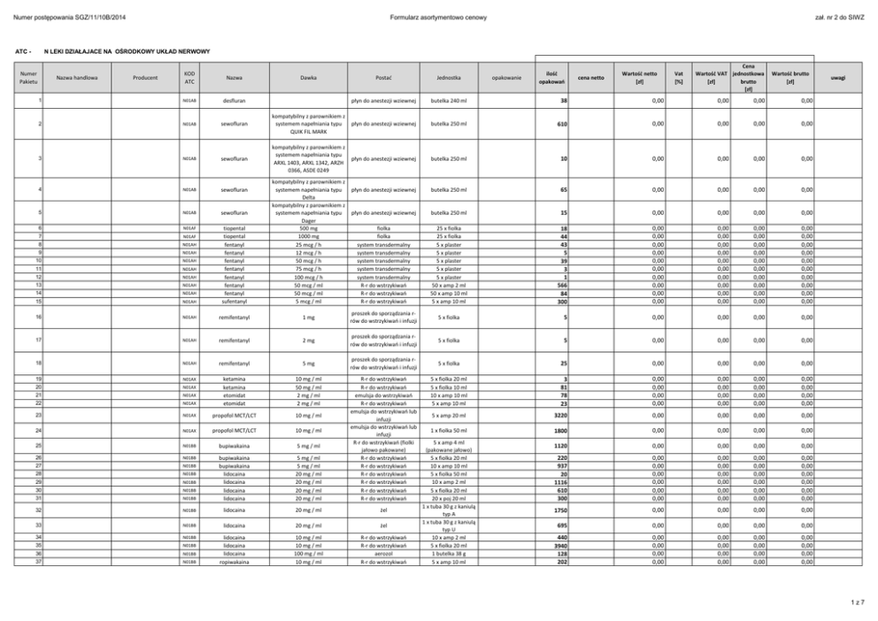
Numer postępowania SGZ/11/10B/2014 Formularz

Transkrypt

Numer postępowania SGZ/11/10B/2014 Formularz
Numer postępowania SGZ/11/10B/2014
zał. nr 2 do SIWZ
Formularz asortymentowo cenowy
N LEKI DZIAŁAJACE NA OŚRODKOWY UKŁAD NERWOWY
ATC -
Numer
Pakietu
KOD
ATC
Nazwa
1
N01AB
desfluran
2
N01AB
sewofluran
3
N01AB
sewofluran
4
N01AB
sewofluran
5
N01AB
sewofluran
6
N01AF
7
N01AF
8
N01AH
kompatybilny z parownikiem z
systemem napełniania typu
Delta
kompatybilny z parownikiem z
systemem napełniania typu
Dager
500 mg
1000 mg
25 mcg / h
12 mcg / h
50 mcg / h
75 mcg / h
100 mcg / h
50 mcg / ml
50 mcg / ml
5 mcg / ml
Nazwa handlowa
Producent
Dawka
opakowanie
ilość
opakowań
cena netto
Wartość netto
[zł]
Vat
[%]
Cena
Wartość VAT jednostkowa
[zł]
brutto
[zł]
Wartość brutto
[zł]
Postać
Jednostka
płyn do anestezji wziewnej
butelka 240 ml
38
0,00
0,00
0,00
0,00
kompatybilny z parownikiem z
systemem napełniania typu
QUIK FIL MARK
płyn do anestezji wziewnej
butelka 250 ml
610
0,00
0,00
0,00
0,00
kompatybilny z parownikiem z
systemem napełniania typu
ARXL 1403, ARXL 1342, ARZH
0366, ASDE 0249
płyn do anestezji wziewnej
butelka 250 ml
10
0,00
0,00
0,00
0,00
płyn do anestezji wziewnej
butelka 250 ml
65
0,00
0,00
0,00
0,00
płyn do anestezji wziewnej
butelka 250 ml
15
0,00
0,00
0,00
0,00
fiolka
fiolka
system transdermalny
system transdermalny
system transdermalny
system transdermalny
system transdermalny
R-r do wstrzykiwań
R-r do wstrzykiwań
R-r do wstrzykiwań
25 x fiolka
25 x fiolka
5 x plaster
5 x plaster
5 x plaster
5 x plaster
5 x plaster
50 x amp 2 ml
50 x amp 10 ml
5 x amp 10 ml
18
44
43
5
39
3
1
566
84
300
0,00
0,00
0,00
0,00
0,00
0,00
0,00
0,00
0,00
0,00
0,00
0,00
0,00
0,00
0,00
0,00
0,00
0,00
0,00
0,00
0,00
0,00
0,00
0,00
0,00
0,00
0,00
0,00
0,00
0,00
0,00
0,00
0,00
0,00
0,00
0,00
0,00
0,00
0,00
0,00
9
N01AH
10
N01AH
11
N01AH
12
N01AH
13
N01AH
14
N01AH
15
N01AH
tiopental
tiopental
fentanyl
fentanyl
fentanyl
fentanyl
fentanyl
fentanyl
fentanyl
sufentanyl
16
N01AH
remifentanyl
1 mg
proszek do sporządzania rrów do wstrzykiwań i infuzji
5 x fiolka
5
0,00
0,00
0,00
0,00
17
N01AH
remifentanyl
2 mg
proszek do sporządzania rrów do wstrzykiwań i infuzji
5 x fiolka
5
0,00
0,00
0,00
0,00
18
N01AH
remifentanyl
5 mg
proszek do sporządzania rrów do wstrzykiwań i infuzji
5 x fiolka
25
0,00
0,00
0,00
0,00
19
N01AX
20
N01AX
21
N01AX
22
N01AX
ketamina
ketamina
etomidat
etomidat
10 mg / ml
50 mg / ml
2 mg / ml
2 mg / ml
5 x fiolka 20 ml
5 x fiolka 10 ml
10 x amp 10 ml
5 x amp 10 ml
3
81
78
23
0,00
0,00
0,00
0,00
0,00
0,00
0,00
0,00
0,00
0,00
0,00
0,00
0,00
0,00
0,00
0,00
23
N01AX
propofol MCT/LCT
10 mg / ml
5 x amp 20 ml
3220
0,00
0,00
0,00
0,00
24
N01AX
propofol MCT/LCT
10 mg / ml
1 x fiolka 50 ml
1800
0,00
0,00
0,00
0,00
1120
0,00
0,00
0,00
0,00
220
937
20
1116
610
300
0,00
0,00
0,00
0,00
0,00
0,00
0,00
0,00
0,00
0,00
0,00
0,00
0,00
0,00
0,00
0,00
0,00
0,00
0,00
0,00
0,00
0,00
0,00
0,00
1750
0,00
0,00
0,00
0,00
695
0,00
0,00
0,00
0,00
440
3940
128
202
0,00
0,00
0,00
0,00
0,00
0,00
0,00
0,00
0,00
0,00
0,00
0,00
0,00
0,00
0,00
0,00
25
N01BB
bupiwakaina
5 mg / ml
26
N01BB
27
N01BB
28
N01BB
29
N01BB
30
N01BB
31
N01BB
bupiwakaina
bupiwakaina
lidocaina
lidocaina
lidocaina
lidocaina
5 mg / ml
5 mg / ml
20 mg / ml
20 mg / ml
20 mg / ml
20 mg / ml
R-r do wstrzykiwań
R-r do wstrzykiwań
emulsja do wstrzykiwań
R-r do wstrzykiwań
emulsja do wstrzykiwań lub
infuzji
emulsja do wstrzykiwań lub
infuzji
R-r do wstrzykiwań (fiolki
jałowo pakowane)
R-r do wstrzykiwań
R-r do wstrzykiwań
R-r do wstrzykiwań
R-r do wstrzykiwań
R-r do wstrzykiwań
R-r do wstrzykiwań
32
N01BB
lidocaina
20 mg / ml
żel
33
N01BB
lidocaina
20 mg / ml
żel
34
N01BB
35
N01BB
36
N01BB
37
N01BB
lidocaina
lidocaina
lidocaina
ropiwakaina
10 mg / ml
10 mg / ml
100 mg / ml
10 mg / ml
R-r do wstrzykiwań
R-r do wstrzykiwań
aerozol
R-r do wstrzykiwań
5 x amp 4 ml
(pakowane jałowo)
5 x fiolka 20 ml
10 x amp 10 ml
5 x fiolka 50 ml
10 x amp 2 ml
5 x fiolka 20 ml
20 x poj 20 ml
1 x tuba 30 g z kaniulą
typ A
1 x tuba 30 g z kaniulą
typ U
10 x amp 2 ml
5 x fiolka 20 ml
1 butelka 38 g
5 x amp 10 ml
uwagi
1z7
Numer postępowania SGZ/11/10B/2014
zał. nr 2 do SIWZ
Formularz asortymentowo cenowy
N01BB
ropiwakaina
2 mg / ml
R-r do wstrzykiwań
5 x amp 10 ml
15
0,00
0,00
0,00
0,00
39
N01BB
bupiwakaina w
połączeniach z epinefryną
5 mg + 0,005 mg / ml
R-r do wstrzykiwań
5 x fiolka 20 ml
27
0,00
0,00
0,00
0,00
40
N01BB
41
N01BX
lidokaina w połaczeniach z
prilokainą
chlorek etylu
42
N02AA
morfina
10 mg
43
N02AA
morfina
30 mg
44
N02AA
morfina
60 mg
45
N02AA
morfina
100 mg
46
N02AA
47
N02AA
morfina
morfina
48
N02AA
49
N02AA
50
N02AA
oksykodon
10 mg
51
N02AA
oksykodon
20 mg
52
N02AA
53
N02AA
54
N02AB
38
maść
tuba 5 g
50
0,00
0,00
0,00
0,00
1 pojemnik 70 g
140
0,00
0,00
0,00
0,00
20 mg / ml
10 mg / ml
aerozol
tabletki powlekane o
zmodyfikowanym
uwalnianiu
tabletki powlekane o
zmodyfikowanym
uwalnianiu
tabletki powlekane o
zmodyfikowanym
uwalnianiu
tabletki powlekane o
zmodyfikowanym
uwalnianiu
R-r do wstrzykiwań
R-r do wstrzykiwań
morfina
1 mg / ml
R-r do wstrzykiwań SPINAL
10 x amp 2 ml
oksykodon
5 mg
5g/100 g
1 tabletka
opakowanie nie
większe niż 20 tabl.
120
0,00
0,00
0,00
0,00
1 tabletka
opakowanie nie
większe niż 20 tabl.
920
0,00
0,00
0,00
0,00
1 tabletka
opakowanie nie
większe niż 20 tabl.
620
0,00
0,00
0,00
0,00
1 tabletka
opakowanie nie
większe niż 20 tabl.
560
0,00
0,00
0,00
0,00
625
972
0,00
0,00
0,00
0,00
0,00
0,00
0,00
0,00
10 x amp 1 ml
10 x amp 1 ml
10mg/ml
20mg/2ml
50 mg / ml
50 mg / ml
30 mg / ml
tabl o przedłużonym
uwalnianiu
tabl o przedłużonym
uwalnianiu
tabl o przedłużonym
uwalnianiu
ampułki
ampułki
R-r do wstrzykiwań
R-r do wstrzykiwań
R-r do wstrzykiwań
10 ampułek
10 ampułek
10 x amp 1 ml
10 x amp 2 ml
10 x amp 1 ml
1 tabletka
1 tabletka
1 tabletka
opakowanie nie
większe niż 60 tabl.
opakowanie nie
większe niż 60 tabl.
opakowanie nie
większe niż 60 tabl.
60
0,00
0,00
0,00
0,00
180
0,00
0,00
0,00
0,00
600
0,00
0,00
0,00
0,00
600
0,00
0,00
0,00
0,00
60
50
25
75
1
0,00
0,00
0,00
0,00
0,00
0,00
0,00
0,00
0,00
0,00
0,00
0,00
0,00
0,00
0,00
0,00
0,00
0,00
0,00
0,00
55
N02AB
56
N02AD
oksykodon
oksykodon
petydyna
petydyna
pentazocyna
57
N02AE
buprenorfina
52,5 mcg / h
system transdermalny
1 plaster
opakowanie nie
większe niż 5 plastrów
20
0,00
0,00
0,00
0,00
58
N02AE
buprenorfina
35 mcg / h
system transdermalny
1 plaster
opakowanie nie
większe niż 5 plastrów
50
0,00
0,00
0,00
0,00
59
N02AE
buprenorfina
70 mcg / h
system transdermalny
1 plaster
opakowanie nie
większe niż 5 plastrów
5
0,00
0,00
0,00
0,00
60
N02AE
61
N02AF
buprenorfina
nalbufina
0,3 mg / ml
20mg/2ml
R-r do wstrzykiwań
ampułki
5 x amp 1 ml
10 ampułek
1
60
0,00
0,00
0,00
0,00
0,00
0,00
0,00
0,00
62
N02AX
tramadol
50 mg
kapsułki twarde
1 kapsułka
31100
0,00
0,00
0,00
0,00
9810
0,00
0,00
0,00
0,00
63
N02AX
tramadol
64
N02AX
tramadol
150 mg
65
N02AX
66
N02AX
67
N02AX
68
N02AX
69
N02AX
50 mg / ml
50 mg / ml
100 mg / ml
100 mg / ml
100 mg
70
N02AX
tramadol
tramadol
tramadol
tramadol
tramadol
tramadol w połączeniach z
paracetamolem
tabl o przedłużonym
uwalnianiu
tabl o przedłużonym
uwalnianiu
R-r do wstrzykiwań
R-r do wstrzykiwań
butelka
butelka
czopki
37,5 mg + 325 mg
tabl powl
1 tabletka
71
N02BA
Kwas acetylosalicylowy
75 mg
tabl
1 tabletka
72
N02BA
Kwas acetylosalicylowy
150 mg
tabl
1 tabletka
73
N02BA
Kwas acetylosalicylowy
300 mg
tabletki
1 tabletka
74
N02BB
75
N02BB
76
N02BB
metamizol
metamizol
metamizol
500 mg / ml
500 mg / ml
500 mg
R-r do wstrzykiwań
R-r do wstrzykiwań
tabletki
5 x amp 2 ml
5 x amp 5 ml
6 tabletek
100 mg
1 tabletka
1 tabletka
5 x amp 1 ml
5 x amp 2 ml
1 x butelka 10 ml
1 x butelka 96 ml
5 x czopek
opakowanie nie
większe niż 30 kaps.
opakowanie nie
większe niż 30 tabl.
opakowanie nie
większe niż 30 tabl.
opakowanie nie
większe niż 30 tabl.
opakowanie nie
większe niż 60 tabl.
opakowanie nie
większe niż 60 tabl.
opakowanie nie
większe niż 20 tabl.
450
0,00
0,00
0,00
0,00
3040
5280
40
140
60
0,00
0,00
0,00
0,00
0,00
0,00
0,00
0,00
0,00
0,00
0,00
0,00
0,00
0,00
0,00
0,00
0,00
0,00
0,00
0,00
4390
0,00
0,00
0,00
0,00
15000
0,00
0,00
0,00
0,00
3600
0,00
0,00
0,00
0,00
9250
0,00
0,00
0,00
0,00
3480
6950
4140
0,00
0,00
0,00
0,00
0,00
0,00
0,00
0,00
0,00
0,00
0,00
0,00
2z7
Numer postępowania SGZ/11/10B/2014
77
N02BE
paracetamol
10 mg / ml
R-r do infuzji
1 x butelka 50 ml
78
N02BE
paracetamol
10 mg / ml
R-r do infuzji
10 x butelka 100 ml
79
N02BE
paracetamol
500 mg
tabletki
1 tabletka
80
N02BE
81
N02BE
82
N02BE
83
N02BE
84
N02BE
85
N02BE
120 mg / 5 ml
250 mg / 5 ml
50 mg
125 mg
250 mg
500 mg
0,1 g / ml
2 mg / g
1 mg / ml
1 mg
15 mg
100 mg
15 mg
250 mg
100 mg
50 mg / ml
0,5 mg
2 mg
1 mg / ml
syrop
zawiesina doustna
czopki
czopki
czopki
czopki
R-r doustny
R-r doustny
R-r doustny
tabletki drażowane
tabletki
tabletki
czopki
tabletki
tabletki
R-r do wstrzykiwań
tabletki
tabletki
R-r do wstrzykiwań
tabletki o przedłużonym
uwalnianiu
tabletki o przedłużonym
uwalnianiu
1 x butelka 100 ml
1 x butelka 100 ml
10 x czopek
10 x czopek
10 x czopek
10 x czopek
Butelka 30 ml
1 butelka 15 g
1 butelka 15 g
20 tabletek
10 tabletek
10 tabletek
10 czopków
60 tabletek
60 tabletek
5 amp 5 ml
30 tabletek
30 tabletek
10 x amp 1 ml
89
N02CA
90
N03AA
91
N03AA
92
N03AA
93
N03AA
94
N03AB
95
N03AB
96
N03AE
97
N03AE
98
N03AE
paracetamol
paracetamol
paracetamol
paracetamol
paracetamol
paracetamol
paracetamol
dihydroergotamina
dihydroergotamina
ergotamina
fenobarbital
fenobarbital
fenobarbital
prymidon
fenytoina
fenytoina
klonazepam
klonazepam
klonazepam
99
N03AF
karbamazepina
300 mg
100
N03AF
karbamazepina
600 mg
101
N03AF
karbamazepina
200 mg
102
N03AF
103
N03AF
karbamazepina
karbamazepina
104
N03AF
105
N03AF
106
N03AF
86
N02BE
87
N02CA
88
N02CA
107
N03AF
108
N03AG
109
N03AG
110
N03AG
111
N03AG
112
zał. nr 2 do SIWZ
Formularz asortymentowo cenowy
N03AG
1 tabletka
1 tabletka
opakowanie nie
większe niż 12
butelek.
opakowanie nie
większe niż 60 tabl.
opakowanie nie
większe niż 50 tabl.
opakowanie nie
większe niż 50 tabl.
6680
0,00
0,00
0,00
0,00
2975
0,00
0,00
0,00
0,00
120200
0,00
0,00
0,00
0,00
430
50
303
268
311
226
15
5
2
3
57
20
558
12
9
75
32
42
216
0,00
0,00
0,00
0,00
0,00
0,00
0,00
0,00
0,00
0,00
0,00
0,00
0,00
0,00
0,00
0,00
0,00
0,00
0,00
0,00
0,00
0,00
0,00
0,00
0,00
0,00
0,00
0,00
0,00
0,00
0,00
0,00
0,00
0,00
0,00
0,00
0,00
0,00
0,00
0,00
0,00
0,00
0,00
0,00
0,00
0,00
0,00
0,00
0,00
0,00
0,00
0,00
0,00
0,00
0,00
0,00
0,00
0,00
0,00
0,00
0,00
0,00
0,00
0,00
0,00
0,00
0,00
0,00
0,00
0,00
0,00
0,00
0,00
0,00
0,00
0,00
3700
0,00
0,00
0,00
0,00
3700
0,00
0,00
0,00
0,00
tabletki o zmodyfikowanym
uwalnianiu
50 tabletek
60
0,00
0,00
0,00
0,00
200 mg
tabletki
50 tabletek
200 mg
Tabletki retard
50 tabletek
141
25
0,00
0,00
0,00
0,00
0,00
0,00
0,00
0,00
karbamazepina
400 mg
tabletki o zmodyfikowanym
uwalnianiu
30 tabletek
63
0,00
0,00
0,00
0,00
karbamazepina
oxcarbazepina
oxcarbazepina
kwas walproinowy
kwas walproinowy
kwas walproinowy
20 mg / ml
150 mg
300 mg
500 mg
300 mg
50 mg / ml
butelka 250 ml
50 tabletek
50 tabletek
100 kapsułki
100 kapsułki
1 butelka 100 ml
5
3
8
43
40
100
0,00
0,00
0,00
0,00
0,00
0,00
0,00
0,00
0,00
0,00
0,00
0,00
0,00
0,00
0,00
0,00
0,00
0,00
0,00
0,00
0,00
0,00
0,00
0,00
kwas walproinowy +
walproinian sodu
400 mg / 4 ml
4 x fiolka + rozp 4 ml
330
0,00
0,00
0,00
0,00
1 butelka 150 ml
50
0,00
0,00
0,00
0,00
30 tabletek
356
0,00
0,00
0,00
0,00
kwas walproinowy +
walproinian sodu
kwas walproinowy +
walproinian sodu
kwas walproinowy +
walproinian sodu
288,2 mg / 5 ml
200 mg + 87 mg
113
N03AG
114
N03AG
115
N03AG
wigabatryna
500 mg
116
N03AG
wigabatryna
500 mg
117
N03AX
lamotrygina
25 mg
118
N03AX
lamotrygina
50 mg
333 mg + 145 mg
zawiesina doustna
tabletki powlekane
tabletki powlekane
kapsułki miękkie
kapsułki miękkie
syrop
proszek i rozpuszczalnik do
sporządzania r-r do
wstrzykiwań
syrop
tabletki o przedłużonym
uwalnianiu
tabletki o przedłużonym
uwalnianiu
granulat do sporządzania rru doustnego
tabletki powlekane
tabletki /tabletki do
sporządzania zawiesiny
doustnej, do rozgryzania i
żucia
tabletki /tabletki do
sporządzania zawiesiny
doustnej, do rozgryzania i
żucia
30 tabletek
365
0,00
0,00
0,00
0,00
50 saszetek
2
0,00
0,00
0,00
0,00
100 tabletek
2
0,00
0,00
0,00
0,00
1 tabletka
opakowanie nie
większe niż 30 tabl.
360
0,00
0,00
0,00
0,00
1 tabletka
opakowanie nie
większe niż 30 tabl.
2100
0,00
0,00
0,00
0,00
3z7
Numer postępowania SGZ/11/10B/2014
zał. nr 2 do SIWZ
Formularz asortymentowo cenowy
119
N03AX
lamotrygina
100 mg
tabletki /tabletki do
sporządzania zawiesiny
doustnej, do rozgryzania i
żucia
1 tabletka
120
N03AX
topiramat
25 mg
tabletki powlekane
1 tabletka
121
N03AX
topiramat
100 mg
tabletki powlekane
1 tabletka
122
N03AX
123
N03AX
gabapentyna
gabapentyna
100 mg
300 mg
kapsułki twarde
kapsułki twarde
124
N03AX
lewetiracetam
100 mg / ml
125
N03AX
lewetiracetam
126
N03AX
lewetiracetam
127
N04AA
biperiden
128
N04AA
129
N03AX
130
N03AX
131
N03AX
132
opakowanie nie
większe niż 30 tabl.
900
0,00
0,00
0,00
0,00
750
0,00
0,00
0,00
0,00
360
0,00
0,00
0,00
0,00
100 kapsułek
100 kapsułek
25
20
0,00
0,00
0,00
0,00
0,00
0,00
0,00
0,00
koncentrat do sporządzania
r-ru do wstrzykiwań
10 x fiolka 5 ml
45
0,00
0,00
0,00
0,00
100 mg / ml
R-r doustny
1 x butelka 300 ml
500 mg
tabletki powlekane
1 tabletka
Tabletki
50 tabletek
biperiden
2 mg
5 mg/1 ml
ampulki
5 x ampułka
retigabina
retigabina
retigabina
100 mg
200 mg
50 mg
tabletki
tabletki
tabletki
N04BA
lewodopa i inhibitor
dekarboksylazy benserazyd
50 mg + 200 mg
133
N04BA
lewodopa i inhibitor
dekarboksylazy benserazyd
134
N04BA
135
opakowanie nie
większe niż 30 tabl.
opakowanie nie
większe niż 30 tabl.
10
0,00
0,00
0,00
0,00
900
0,00
0,00
0,00
0,00
op. 84 tabletki
op. 84 tabletki
op. 21 tabetek
10
10
5
8
5
0,00
0,00
0,00
0,00
0,00
0,00
0,00
0,00
0,00
0,00
0,00
0,00
0,00
0,00
0,00
0,00
0,00
0,00
0,00
0,00
kapsułki
100 kapsułek
13
0,00
0,00
0,00
0,00
12,5 mg + 50 mg
Kapsułki
100 kapsułek
20
0,00
0,00
0,00
0,00
lewodopa i inhibitor
dekarboksylazy benserazyd
12,5 mg + 50 mg
tabletki do sporządzania
zawiesiny
100 tabletek
15
0,00
0,00
0,00
0,00
N04BA
lewodopa i inhibitor
dekarboksylazy benserazyd
25 mg + 100 mg
Kapsułki
100 kapsułek
31
0,00
0,00
0,00
0,00
136
N04BA
lewodopa i inhibitor
dekarboksylazy benserazyd
25 mg + 100 mg
tabletki do sporządzania
zawiesiny
100 tabletek
19
0,00
0,00
0,00
0,00
137
N04BA
lewodopa i inhibitor
dekarboksylazy benserazyd
50 mg + 200 mg
Tabletki
100 tabletek
10
0,00
0,00
0,00
0,00
138
N04BA
lewodopa i inhibitor
dekarboksylazy benserazyd
25 mg + 100 mg
kapsułki HBS
100 kapsułek
16
0,00
0,00
0,00
0,00
139
N04BB
140
N04BB
141
N04BC
amantadyna
amantadyna
bromokryptyna
200 mg / 500 ml
100 mg
2,5 mg
R-r do infuzji
tabletki powlekane
tabletki
10 x butelka
100 tabletek
30 tabletek
68
48
5
0,00
0,00
0,00
0,00
0,00
0,00
0,00
0,00
0,00
0,00
0,00
0,00
142
N04BC
ropinirol
0,25 mg
tabletki powlekane
1 tabletka opakowanie
nie większe niż 21 tabl
42
0,00
0,00
0,00
0,00
143
N04BD
144
N05AA
145
N05AA
146
N05AA
147
N05AA
selegilina
chlorpromazyna
chlorpromazyna
chlorpromazyna
lewomepromazyna
5 mg
5 mg / ml
25 mg / ml
40 mg / g
25 mg / ml
1 tabletka
5 amp 5 ml
10 amp 2 ml
1 butelka 10 g
10 amp 1 ml
150
59
77
20
2
0,00
0,00
0,00
0,00
0,00
0,00
0,00
0,00
0,00
0,00
0,00
0,00
0,00
0,00
0,00
0,00
0,00
0,00
0,00
0,00
148
N05AA
lewomepromazyna
25 mg
tabletki powlekane
1 tabletka
3650
0,00
0,00
0,00
0,00
149
N05AA
150
N05AA
151
N05AA
promazyna
promazyna
promazyna
25 mg
50 mg
100 mg
tabletki drażowane
tabletki drażowane
tabletki drażowane
60 tabletek
60 tabletek
60 tabletek
310
183
43
0,00
0,00
0,00
0,00
0,00
0,00
0,00
0,00
0,00
0,00
0,00
0,00
152
N05AB
perazyna
25 mg
tabletki
1 tabletka
26300
0,00
0,00
0,00
0,00
7000
0,00
0,00
0,00
0,00
70
58
470
200
0,00
0,00
0,00
0,00
0,00
0,00
0,00
0,00
0,00
0,00
0,00
0,00
0,00
0,00
0,00
0,00
tabletki
R-r do wstrzykiwań
R-r do wstrzykiwań
krople doustne
R-r do wstrzykiwań
153
N05AB
perazyna
100 mg
tabletki
1 tabletka
154
N05AD
155
N05AD
156
N05AD
157
N05AD
haloperidol
haloperidol
haloperidol
haloperidol
2 mg / ml
2 mg / ml
5 mg / ml
1 mg
krople doustne
krople doustne
R-r do wstrzykiwań
tabletki
1 butelka 10 ml
1 butelka 100 ml
10 amp 1 ml
40 tabletek
opakowanie nie
większe niż 50 tabl.
Opakowanie nie
większe niż 50 tabl.
opakowanie nie
większe niż 20 tabl.
opakowanie nie
większe niż 30 tabl.
4z7
Numer postępowania SGZ/11/10B/2014
zał. nr 2 do SIWZ
Formularz asortymentowo cenowy
162
N05AF
163
N05AH
164
N05AH
haloperidol
flupentiksol
flupentiksol
chlorprotiksen
chlorprotiksen
klozapina
klozapina
165
N05AH
olanzapina
5 mg
166
N05AH
olanzapina
10 mg
167
N05AH
kwetiapina
25 mg
tabletki powlekane
1 tabletka
168
N05AH
kwetiapina
100 mg
tabletki powlekane
1 tabletka
169
N05AH
kwetiapina
200 mg
tabletki powlekane
1 tabletka
170
N05AL
171
N05AL
172
N05AL
sulpiryd
sulpiryd
tiaprid
50 mg
100 mg
100 mg
Kapsułki
Kapsułki
tabletki
24 kapsułki
24 kapsułki
20 tabletek
173
N05AL
amisulprid
200 mg
tabletki
1 tabletka
174
N05AN
sole litu
250 mg
tabletki
60 tabletek
158
N05AD
159
N05AF
160
N05AF
161
N05AF
5 mg
0,5 mg
3 mg
15 mg
50 mg
25 mg
100 mg
tabletki
tabletki drażowane
tabletki drażowane
tabletki
tabletki
tabletki
tabletki
kapsułki twarde / tabletki
powlekane
kapsułki twarde / tabletki
powlekane
30 tabletek
50 tabletek
50 tabletek
50 tabletek
50 tabletek
50 tabletek
50 tabletek
1 sztuka
1 sztuka
opakowanie nie
większe niż 30 szt.
opakowanie nie
większe niż 30 szt.
opakowanie nie
większe niż 60 tabl.
opakowanie nie
większe niż 60 tabl.
opakowanie nie
większe niż 60 tabl.
opakowanie nie
większe niż 30 tabl.
opakowanie nie
większe niż 20
tabletek
opakowanie nie
większe niż 20
tabletek
opakowanie nie
większe niż 20
tabletek
opakowanie nie
większe niż 20
tabletek
55
6
3
160
115
70
130
0,00
0,00
0,00
0,00
0,00
0,00
0,00
0,00
0,00
0,00
0,00
0,00
0,00
0,00
0,00
0,00
0,00
0,00
0,00
0,00
0,00
0,00
0,00
0,00
0,00
0,00
0,00
0,00
750
0,00
0,00
0,00
0,00
300
0,00
0,00
0,00
0,00
1980
0,00
0,00
0,00
0,00
1500
0,00
0,00
0,00
0,00
360
0,00
0,00
0,00
0,00
115
70
2
0,00
0,00
0,00
0,00
0,00
0,00
0,00
0,00
0,00
0,00
0,00
0,00
300
0,00
0,00
0,00
0,00
2
0,00
0,00
0,00
0,00
3420
0,00
0,00
0,00
0,00
2500
0,00
0,00
0,00
0,00
300
0,00
0,00
0,00
0,00
1400
0,00
0,00
0,00
0,00
175
N05AX
risperidon
1 mg
Tabletki / kapsułki
1 sztuka
176
N05AX
risperidon
2 mg
Tabletki / kapsułki
1 sztuka
177
N05AX
risperidon
3 mg
Tabletki / kapsułki
1 sztuka
178
N05AX
risperidon
4 mg
Tabletki / kapsułki
1 sztuka
1 zestaw ( 1 fiolka + 1
strz + 1 urządzenie + 2
igły )
10
0,00
0,00
0,00
0,00
1 zestaw ( 1 fiolka + 1
strz + 1 urządzenie + 2
igły )
10
0,00
0,00
0,00
0,00
1 zestaw ( 1 fiolka + 1
strz + 1 urządzenie + 2
igły )
10
0,00
0,00
0,00
0,00
70
332
233
1520
40
9
1
2
3
0,00
0,00
0,00
0,00
0,00
0,00
0,00
0,00
0,00
0,00
0,00
0,00
0,00
0,00
0,00
0,00
0,00
0,00
0,00
0,00
0,00
0,00
0,00
0,00
0,00
0,00
0,00
0,00
0,00
0,00
0,00
0,00
0,00
0,00
0,00
0,00
179
N05AX
risperidon
25 mg
mikrokapsułki o
przedłużonym uwalnianiu i
rozpuszczalnik do
sporządzania zawiesiny do
wstrzykiwań
180
N05AX
risperidon
37,5 mg
proszek i rozpuszczalnik do
sporządzania zawiesiny do
wstrzykiwań o
przedłużonym uwalnianiu
181
N05AX
risperidon
50 mg
182
N05BA
183
N05BA
184
N05BA
185
N05BA
186
N05BA
187
N05BA
188
N05BA
189
N05BA
190
N05BA
diazepam
diazepam
diazepam
diazepam
diazepam
diazepam
diazepam
chlordiazepoksyd
chlordiazepoksyd
5 mg / ml
5 mg / ml
2 mg
5 mg
5 mg / 2,5 ml
10 mg / 2,5 ml
2 mg / 5 ml
10 mg
25 mg
mikrokapsułki o
przedłużonym uwalnianiu i
rozpuszczalnik do
sporządzania zawiesiny do
wstrzykiwań
R-r do wstrzykiwań
R-r do wstrzykiwań
tabletki
tabletki
wlewka doodbytnicza
wlewka doodbytnicza
syrop
tabletki drażowane
tabletki drażowane
191
N05BA
Klorazepat dipotasowy
10 mg
Kapsułki
30 kapsułek / tabletek
50
0,00
0,00
0,00
0,00
192
N05BA
Klorazepat dipotasowy
5 mg
Kapsułki
30 kapsułek / tabletek
100
0,00
0,00
0,00
0,00
193
N05BA
194
N05BA
195
N05BA
lorazepam
lorazepam
alprazolam
1 mg
2,5 mg
0,25 mg
tabletki
tabletki
tabletki
25 tabletek
25 tabletek
30 tabletek
85
96
37
0,00
0,00
0,00
0,00
0,00
0,00
0,00
0,00
0,00
0,00
0,00
0,00
5 amp 2 ml
50 amp 2 ml
20 tabletek
20 tabletek
5 wlewek
5 wlewek
1 butelka 100 g
20 tabletek
20 tabletek
5z7
Numer postępowania SGZ/11/10B/2014
0,00
0,00
0,00
0,00
420
10
380
2410
675
610
20
30
190
1325
17
2500
55
900
76
30
10
70
54
30
35
10
12
10
50
0,00
0,00
0,00
0,00
0,00
0,00
0,00
0,00
0,00
0,00
0,00
0,00
0,00
0,00
0,00
0,00
0,00
0,00
0,00
0,00
0,00
0,00
0,00
0,00
0,00
0,00
0,00
0,00
0,00
0,00
0,00
0,00
0,00
0,00
0,00
0,00
0,00
0,00
0,00
0,00
0,00
0,00
0,00
0,00
0,00
0,00
0,00
0,00
0,00
0,00
0,00
0,00
0,00
0,00
0,00
0,00
0,00
0,00
0,00
0,00
0,00
0,00
0,00
0,00
0,00
0,00
0,00
0,00
0,00
0,00
0,00
0,00
0,00
0,00
0,00
0,00
0,00
0,00
0,00
0,00
0,00
0,00
0,00
0,00
0,00
0,00
0,00
0,00
0,00
0,00
0,00
0,00
0,00
0,00
0,00
0,00
0,00
0,00
0,00
0,00
20 tabletek
45
0,00
0,00
0,00
0,00
20 tabletek
294
0,00
0,00
0,00
0,00
60 tabletek
23
0,00
0,00
0,00
0,00
60 tabletek
53
0,00
0,00
0,00
0,00
30 kapsułek
30 kapsułek
99
167
0,00
0,00
0,00
0,00
0,00
0,00
0,00
0,00
868
0,00
0,00
0,00
0,00
2570
0,00
0,00
0,00
0,00
280
0,00
0,00
0,00
0,00
6200
0,00
0,00
0,00
0,00
700
0,00
0,00
0,00
0,00
3870
0,00
0,00
0,00
0,00
N05BA
alprazolam
0,5 mg
tabletki
1 tabletka
197
N05BB
198
N05BB
199
N05BB
200
N05BB
201
N05BB
202
N05BB
2 mg / ml
2 mg / ml
1,6 mg / g
25 mg
10 mg
50 mg / ml
5 mg
10 mg
5 mg
2 mg
10 mg
1 mg / ml
5 mg / ml
5 mg / ml
5 mg / ml
5 mg / ml
0,002 g / 2 ml
7,5 mg
15 mg
7,5 mg
10 mg
300 mg
100mcg/ml a 10 ml
10 mg
25 mg
butelka 200 ml
butelka 250 g
butelka 250 g
30 tabletek
30 tabletek
5 amp 2 ml
60 tabletek
60 tabletek
20 tabletek
20 tabletek
20 tabletek
10 amp 5 ml
5 amp 3 ml
5 amp 10 ml
10 amp 1 ml
10 amp 5 ml
10 amp 2 ml
10 tabletek
100 tabletek
20 tabletek
20 tabletek
100 kapsułek
4 fiolki
30 tabletek
30 tabletek
217
N05CF
218
N05CM
219
N05CM
220
N06AA
221
N06AA
hydroksyzyna
hydroksyzyna
hydroksyzyna
hydroksyzyna
hydroksyzyna
hydroksyzyna
buspiron
buspiron
nitrazepam
estazolam
temazepam
midazolam
midazolam
midazolam
midazolam
midazolam
midazolam
midazolam
midazolam
zopiklon
zolpidem
klometiazol
deksmedetomidyna
klomipramina
klomipramina
222
N06AA
klomipramina
75 mg
223
N06AA
opipramol
50 mg
224
N06AA
amitryptylina
10 mg
225
N06AA
amitryptylina
25 mg
226
N06AA
227
N06AA
doksepina
doksepina
10 mg
25 mg
syrop
syrop
syrop
tabletki
tabletki
R-r do wstrzykiwań
tabletki
tabletki
tabletki
tabletki
tabletki
R-r do wstrzykiwań
R-r do wstrzykiwań
R-r do wstrzykiwań
R-r do wstrzykiwań
R-r do wstrzykiwań
R-r do wstrzykiwań
tabletki powlekane
tabletki powlekane
tabletki powlekane
tabletki powlekane
Kapsułki
fiolki
tabletki powlekane
tabletki powlekane
tabletki o przedłużonym
uwalnianiu
tabletki drażowane /
tabletki powlekane
tabletki drażowane /
tabletki powlekane
tabletki drażowane /
tabletki powlekane
Kapsułki
Kapsułki
228
N06AB
fluoksetyna
10 mg
tabletki powlekane
1 tabletka
229
N06AB
fluoksetyna
20 mg
Kapsułki
1 kapsułka
230
N06AB
citalopram
10 mg
tabletki powlekane
1 tabletka
231
N06AB
citalopram
20 mg
tabletki powlekane
1 tabletka
232
N06AB
paroksetyna
20 mg
Tabletki / tabletki
powlekane
1 tabletka
233
N06AB
sertralina
50 mg
tabletki powlekane
1 tabletka
234
N06AG
moklobemid
150 mg
N06AX
mianseryna
10 mg
236
N06AX
mianseryna
30 mg
237
N06AX
238
N06AX
mianseryna
trazodon
60 mg
75 mg
tabletki powlekane
Tabletki / tabletki
powlekane
Tabletki / tabletki
powlekane
tabletki
tabletki
30 tabletek
235
239
N06AX
trazodon
150 mg
tabletki
1 tabletka
30 mg
tabletki ulegające rozpadowi
w jamie ustnej
1 tabletka
204
N05BE
205
N05CD
206
N05CD
207
N05CD
208
N05CD
209
N05CD
210
N05CD
211
N05CD
212
N05CD
213
N05CD
214
N05CD
215
N05CD
216
N05CF
240
N06AX
mirtazapina
opakowanie nie
większe niż 30 tabl.
780
196
203
zał. nr 2 do SIWZ
Formularz asortymentowo cenowy
1 tabletka
1 tabletka
opakowanie nie
większe niż 50
tabletek
opakowanie nie
większe niż 30 kaps.
opakowanie nie
większe niż 50
tabletek
opakowanie nie
większe niż 30
tabletek
opakowanie nie
większe niż 30
tabletek
opakowanie nie
większe niż 30
tabletek
opakowanie nie
większe niż 30 tabl.
opakowanie nie
większe niż 30 tabl.
30 tabletek
30 tabletek
opakowanie nie
większe niż 20 tabl.
opakowanie nie
większe niż 30 tabl.
10
0,00
0,00
0,00
0,00
2882
0,00
0,00
0,00
0,00
3460
0,00
0,00
0,00
0,00
70
24
0,00
0,00
0,00
0,00
0,00
0,00
0,00
0,00
880
0,00
0,00
0,00
0,00
1350
0,00
0,00
0,00
0,00
6z7
Numer postępowania SGZ/11/10B/2014
zał. nr 2 do SIWZ
Formularz asortymentowo cenowy
20mg/ml
200 mg / ml
tabletki ulegające rozpadowi
w jamie ustnej
tabletki powlekane
kapsułki twarde o
przedlużonym uwalnianiu
kapsułki twarde o
przedlużonym uwalnianiu
tabletki o przedłużonym
uwalnianiu
ampułki
R-r do wstrzykiwań
10 amp a 3 ml
12 amp 5 ml
800 mg
tabletki powlekane
1 tabletka
piracetam
1200 mg
tabletki powlekane
1 tabletka
N06BX
piracetam
piracetam
piracetam
winpocetyna
333 mg / ml
3 g / 15 ml
12 g / 60 ml
5 mg / ml
syrop
R-r do wstrzykiwań
R-r do infuzji
R-r do wstrzykiwań
125 ml
4 amp 15 ml
1 fl 60 ml
10 amp 2 ml
N06BX
winpocetyna
5 mg
tabletki
1 tabletka
255
N06DA
donepezil
5 mg
tabletki
1 tabletka
256
N06DA
donepezil
10 mg
tabletki
1 tabletka
257
N06DA
riwastygmina
1,5 mg
Kapsułki
1 kapsułka
258
N06DA
riwastygmina
4,5 mg
Kapsułki
1 kapsułka
259
N07AA
260
N07AA
galantamina
neostygmina
5 mg / ml
0,5 mg / ml
R-r do wstrzykiwań
R-r do wstrzykiwań
10 amp 1 ml
10 amp 1 ml
261
N07AA
pirydostygmina
60 mg
tabletki drażowane
1 tabletka
262
N07AA
distygmina
5 mg
tabletki
20 tabletek
263
N07CA
betahistyna
8 mg
tabletki
1 tabletka
264
N07CA
betahistyna
16 mg
tabletki
1 tabletka
265
N07CA
betahistyna
24 mg
tabletki
1 tabletka
266
N07CA
cinnaryzyna
25 mg
tabletki
50 tabletek
267
N07XX
cerebrolizyna
215,2 mg / ml
R-r do wstrzykiwań i infuzji
268
N01BB
bupiwakaina
5 mg / ml
R-r do wstrzykiwań
241
N06AX
mirtazapina
45 mg
242
N06AX
tianeptyna
12,5 mg
243
N06AX
wenlafaksyna
37,5 mg
244
N06AX
wenlafaksyna
75 mg
245
N06BA
metylofenidat
36 mg
246
N06BC
247
N06BX
cytrynian kofeiny
piracetam
248
N06BX
piracetam
249
N06BX
250
N06BX
251
N06BX
252
N06BX
253
254
opakowanie nie
większe niż 30 tabl.
1050
0,00
0,00
0,00
0,00
135
0,00
0,00
0,00
0,00
700
0,00
0,00
0,00
0,00
1820
0,00
0,00
0,00
0,00
1
0,00
0,00
0,00
0,00
30
210
0,00
0,00
0,00
0,00
0,00
0,00
0,00
0,00
8400
0,00
0,00
0,00
0,00
21900
0,00
0,00
0,00
0,00
3
910
300
292
0,00
0,00
0,00
0,00
0,00
0,00
0,00
0,00
0,00
0,00
0,00
0,00
0,00
0,00
0,00
0,00
31000
0,00
0,00
0,00
0,00
224
0,00
0,00
0,00
0,00
224
0,00
0,00
0,00
0,00
560
0,00
0,00
0,00
0,00
168
0,00
0,00
0,00
0,00
20
1725
0,00
0,00
0,00
0,00
0,00
0,00
0,00
0,00
300
0,00
0,00
0,00
0,00
2
0,00
0,00
0,00
0,00
1040
0,00
0,00
0,00
0,00
360
0,00
0,00
0,00
0,00
3420
0,00
0,00
0,00
0,00
19
0,00
0,00
0,00
0,00
5 amp 10 ml
600
0,00
0,00
0,00
0,00
5 x amp 4 ml
30
0,00
0,00
0,00
0,00
1 tabletka
90 tabletek
1 kapsułka
1 kapsułka
opakowanie nie
większe niż 50 kaps.
opakowanie nie
większe niż 50 kaps.
30 tabletek
opakowanie nie
większe niż 60 tabl.
opakowanie nie
większe niż 60 tabl.
opakowanie nie
większe niż 100 tabl.
opakowanie nie
większe niż 30 tabl.
opakowanie nie
większe niż 30 tabl.
opakowanie nie
większe niż 28 kaps.
opakowanie nie
większe niż 28 kaps.
opakowanie nie
większe niż 20 tabl.
opakowanie nie
większe niż 60 tabl.
opakowanie nie
większe niż 60 tabl.
opakowanie nie
większe niż 60 tabl.
0,00
0,00
Podpis Wykonawcy
……………………………………………………..
7z7