Harmonogram prac inwentaryzacyjnych na poszczególne lata cyklu

Transkrypt

Harmonogram prac inwentaryzacyjnych na poszczególne lata cyklu
KARTA PROCEDURY
P.76_DI
Procedura: P.76
Zakres przedmiotowy: harmonogram prac inwentaryzacyjnych na poszczególne lata cyklu oraz
okresowej inwentaryzacji na środki trwałe
Uczestnicy procesu:
1. pracownicy: Kanclerz, Dział Inwentaryzacji (DI),
2. komisje/rady: Rektorska Komisja Inwentaryzacyjna,
Właściciel procesu: Dział Inwentaryzacji (DI),
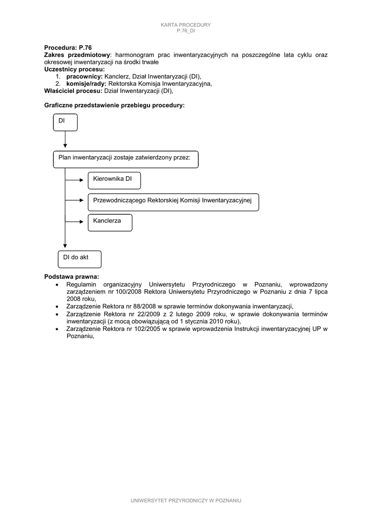
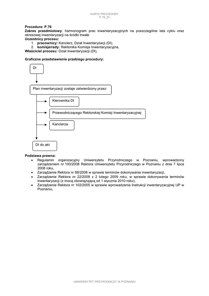
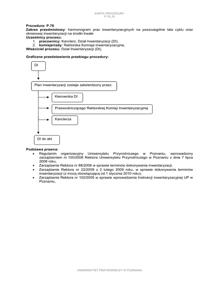
Graficzne przedstawienie przebiegu procedury:
DI
Plan inwentaryzacji zostaje zatwierdzony przez:
Kierownika DI
Przewodniczącego Rektorskiej Komisji Inwentaryzacyjnej
Kanclerza
DI do akt
Podstawa prawna:
• Regulamin organizacyjny Uniwersytetu Przyrodniczego w Poznaniu, wprowadzony
zarządzeniem nr 100/2008 Rektora Uniwersytetu Przyrodniczego w Poznaniu z dnia 7 lipca
2008 roku,
• Zarządzenie Rektora nr 88/2008 w sprawie terminów dokonywania inwentaryzacji,
• Zarządzenie Rektora nr 22/2009 z 2 lutego 2009 roku, w sprawie dokonywania terminów
inwentaryzacji (z mocą obowiązującą od 1 stycznia 2010 roku),
• Zarządzenie Rektora nr 102/2005 w sprawie wprowadzenia Instrukcji inwentaryzacyjnej UP w
Poznaniu,
UNIWERSYTET PRZYRODNICZY W POZNANIU