klucz klasyfikacji

Transkrypt

klucz klasyfikacji
INFORMACJA
PRASOWA
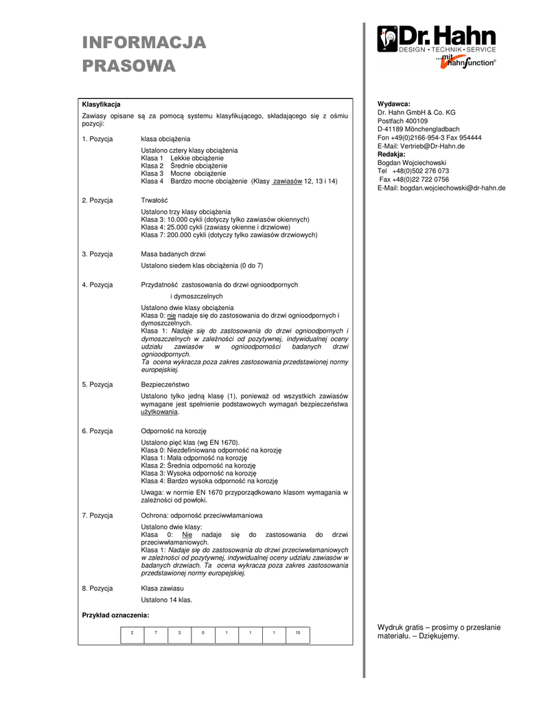
Klasyfikacja
Zawiasy opisane są za pomocą systemu klasyfikującego, składającego się z ośmiu
pozycji:
1. Pozycja
klasa obciążenia
Ustalono cztery klasy obciążenia
Klasa 1 Lekkie obciążenie
Klasa 2 Średnie obciążenie
Klasa 3 Mocne obciążenie
Klasa 4 Bardzo mocne obciążenie (Klasy zawiasów 12, 13 i 14)
2. Pozycja
Wydawca:
Dr. Hahn GmbH & Co. KG
Postfach 400109
D-41189 Mönchengladbach
Fon +49(0)2166-954-3 Fax 954444
E-Mail: [email protected]
Redakja:
Bogdan Wojciechowski
Tel +48(0)502 276 073
Fax +48(0)22 722 0756
E-Mail: [email protected]
Trwałość
Ustalono trzy klasy obciążenia
Klasa 3: 10.000 cykli (dotyczy tylko zawiasów okiennych)
Klasa 4: 25.000 cykli (zawiasy okienne i drzwiowe)
Klasa 7: 200.000 cykli (dotyczy tylko zawiasów drzwiowych)
3. Pozycja
Masa badanych drzwi
Ustalono siedem klas obciążenia (0 do 7)
4. Pozycja
Przydatność zastosowania do drzwi ognioodpornych
i dymoszczelnych
Ustalono dwie klasy obciążenia
Klasa 0: nie nadaje się do zastosowania do drzwi ognioodpornych i
dymoszczelnych.
Klasa 1: Nadaje się do zastosowania do drzwi ognioodpornych i
dymoszczelnych w zależności od pozytywnej, indywidualnej oceny
udziału
zawiasów
w
ognioodporności
badanych
drzwi
ognioodpornych.
Ta ocena wykracza poza zakres zastosowania przedstawionej normy
europejskiej.
5. Pozycja
Bezpieczeństwo
Ustalono tylko jedną klasę (1), ponieważ od wszystkich zawiasów
wymagane jest spełnienie podstawowych wymagań bezpieczeństwa
użytkowania.
6. Pozycja
Odporność na korozję
Ustalono pięć klas (wg EN 1670).
Klasa 0: Niezdefiniowana odporność na korozję
Klasa 1: Mała odporność na korozję
Klasa 2: Średnia odporność na korozję
Klasa 3: Wysoka odporność na korozję
Klasa 4: Bardzo wysoka odporność na korozję
Uwaga: w normie EN 1670 przyporządkowano klasom wymagania w
zależności od powłoki.
7. Pozycja
Ochrona: odporność przeciwwłamaniowa
Ustalono dwie klasy:
Klasa 0: Nie nadaje się do zastosowania do drzwi
przeciwwłamaniowych.
Klasa 1: Nadaje się do zastosowania do drzwi przeciwwłamaniowych
w zależności od pozytywnej, indywidualnej oceny udziału zawiasów w
badanych drzwiach. Ta ocena wykracza poza zakres zastosowania
przedstawionej normy europejskiej.
8. Pozycja
Klasa zawiasu
Ustalono 14 klas.
Przykład oznaczenia:
2
7
3
0
1
1
1
10
Wydruk gratis – prosimy o przesłanie
materiału. – Dziękujemy.