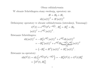
Obraz oddziaływania W obrazie Schrödingera stany ewoluują

Transkrypt

Obraz oddziaływania W obrazie Schrödingera stany ewoluują
Obraz oddziaływania
W obrazie Schrödingera stany ewoluują, operatory nie.
H = H0 + H1
i∂t |α(t)iS = H |α(t)iS
Definiujemy operatory w obrazie oddziaływania (interakscji, Tomonagi):
iH0S t
I
O (t) = e
S −iH0S t
O e
, H0I = H0S = H0
S
|α(t)iI = eiH0 |α(t)iS .
Równanie Schrödingera:
I
i∂t |α(t)i =
=
S
S iH0S
iH0S
−H0 e |α(t)i + e i∂t |α(t)iS
S
S
S
S
0 t eiH0 |α(t)i
−H0S |α(t)iI + eiH0 He|−iH{z
}
=1
¡
¢
I
−H0I + H I |α(t)i = H1I |α(t)iI .
=
Równanie na operatory:
³ S
´
S
i∂tOI (t) = i∂t eiH0 tOS e−iH0 t = −H0S OI (t) + OI (t)H0S
£ I
¤
I
= O (t), H0
1
W zasadzie operatory pola są naturalnie napisane w obrazie oddziaływania:
1 X 1
p
ϕ(~r, t) = √
(ei~p·~r e−iEptap~ + e−i~p·~r eiEpta†p~)
| {z }
| {z }
2Ep
V p~
I
ap~ (t)
†I
ap~ (t)
Rzeczywiście
i∂taIp~ (t)
¤
£ I
£ S S ¤ −iH S t
iH0S t
I
= ap~ (t), H0 = e
ap~ , H0 e 0
i
X h
S
iH0S t
S S† S
=e
Eq ap~ , a~q a~q e−iH0 t.
~q
Komutator
i
h
h
i
£
¤
S†
S†
S†
aSp~ , a~q a~Sq = a~q aSp~ , a~Sq + aSp~ , a~q a~Sq
| {z } | {z }
=0
=δp~ ~q
i w konsekwencji:
i∂taIp~ (t)
aIp~ (t)
=
=
iH0S t S −iH0S t
Ep e
ap~ e
e−iEptaSp~
2
= EpaIp~ (t)
Operator ewolucji
|α(t)iI = U I (t, t0) |α(t0)iI
i∂tU I (t, t0) = H1I (t)U I (t, t0).
Warunek początkowy
U I (t0, t0) = 1.
Ponieważ
£
H1I (t), H1I (t0)
¤
6= 0
rozwiązanie nie jest zwykłą eksponentą. Równanie różniczkowe przepisujemy
w postaci całkowej
Zt
U I (t, t0) = 1 + (−i) H1I (t0)U I (t0, t0)dt0.
t0
3
Rzeczywiście
Zt
i∂tU I (t, t0) = (−i)i∂t
H1I (t0)U I (t0, t0)dt0 = H1I (t)U I (t, t0).
t0
Równanie całkowe można rozwiązać iteracyjnie (rachunek zaburzeń):
Zt
Z t Zt0
U I (t, t0) = 1 + (−i) dt0H1I (t0) + (−i)2 dt0 dt00H1I (t0)H1I (t00) + . . .
t0
t0
t0
Wprowadźmy uporządkowanie czasowe
T (H1I (t1)H1I (t2) . . . H1I (tn)) = H1I (ti1 )H1I (ti2 ) . . . H1I (tin )
gdzie:ti1 > ti2 > . . . > tin
Wówczas
Zt0
Zt
dt
t0
0
00
dt
t0
H1I (t0)H1I (t00)
1
=
2!
4
Zt
Zt
dt0
t0
dt00T (H1I (t0)H1I (t00)).
t0
Sprawdźmy:
1
2!
Zt
Zt
dt0
dt00T (H1I (t0)H1I (t00))
t0

t0
0
Zt Zt
Z t Zt
1

=  dt0 dt00H1I (t0)H1I (t00) + dt0 dt00H1I (t00)H1I (t0)
2
t0
t0
t0
t0


0
00
Z t Zt
Z t Zt
1

=  dt0 dt00H1I (t0)H1I (t00) + dt00 dt0H1I (t00)H1I (t0)
2
t0
dt0
t0
t0
Zt0
Zt
=
t0
dt00H1I (t0)H1I (t00)
t0
5
t0
....
.......
... .... ...
.
2 ...
..
..
..........................................................................................
.. . . . . . . . . . . . . . .
... . . . . . . . . . . . . . .
............................. ..
.. . . . . . . . . . . . . .
... . . . . . . . . . . . . . ..
.. . . . . . . . . . . . . . .
... . . . . . . . . . . . . .
............................. ..
.. . . . . . . . . . . . . . .
... . . . . . . . . . . . . . .
.. . . . . . . . . . . . . . ...
.............................
... . . . . . . . . . . . . . .
.. . . . . . . . . . . . . . ..
... . . . . . . . . . . . . .
.. . . . . . . . . . . . . . ..
............................. .
... . . . . . . . . . . . . .
.. . . . . . . . . . . . . . ..
... . . . . . . . . . . . . . .
.. . . . . . . . . . . . . . .
.....
........................................................................................................................................................................
.....
t
t 1
....
.......
... .... ...
.
2 ...
..
..
.
.
...
. ..
..... .
....
.
.
.
.
. . . ...
...
......... ...
...
. . . .
.... . . . .
...
. . . . . .
.............. ..
....
................ ...
....
. . . . . . .
................... .
...
.
.
..................... .
.
....
. ................... ...
.
.
.
. . . . . . . . . .
....
.... . . . . . . . . . . . .
... .... ....................... ..
.. . . . . . . . . . . . . .
......
........................................................................................................................................................................
.....
) 2
=
t 1
6
To się uogólnia na wyższe potegi. Ostatecznie mamy
Rt
U I (t, t0) =
−i dt0 H1I (t0 )
T e t0
Rt
=
−i d4 x0 H1I (x0 )
T e t0
gdzie H1I (x0) jest gętością hamiltonianu oddziaływania w obrazie interakcji.
Od tej pory opuszczamy wskaźnik ”I”.
7
Macierz S
Macierz rozpraszania (scattering matrix). W dalekiej przeszłosci przygotowujemy swobodny stan |ii (od "initial"), który w czasie ewolucji do chwili t
zamienił się w stan ψ:
lim |ψ(t)i = |ii .
t→−∞
Pytamy jaka jest amplituda prawdopodobieństwa, że w dalekiej przyszłości
otrzymamy stan |f i (od "final"):
Sf i = lim hf |ψ(t)i = lim
t→∞
df
lim hf | U (t2, t1) |ii = hf | S |ii
t2 →∞ t1 →−∞
lub
S = U (∞, −∞).
Ponieważ ewolucja zachowuje normę stanu
|α(t)i = U (t, t0) |α(t0)i
hα(t) |α(t)i = hα(t0)| U †(t, t0)U (t, t0) |α(t0)i = hα(t0) |α(t0)i
{z
}
|
=1
operator U jest unitarny, więc S jest też
R unitarny. Formalnie
−i d4 xH1 (x)
S = Te
.
8
Jak wyglądają stany |ii oraz |f i? Stan |ii jest w gestii eksperymentatora,
typowo mamy dwie nieoddziaływujące cząstki o zadanych czteropędach:
|ii = |p1, p2i = a†p~1 a†p~2 |0i
dodatkowo możemy mieć jescze określone polaryzacje lub helicity. Stan końcowy to określona liczba cząstek (takich samych lub innych niż cząstki padające, np. elektron+pozyton→dwa fotony) o zadanych czteropędach
|f i = |p01, p02 . . . p0ni = a†p~ 0 a†p~ 0 . . . a†p~ 0 |0i .
1
2
n
Dla wszystkich cząstek wchodzacych i wychodzacych zachodzi
Ep2 = p~ 2 + m2
są one na powłoce masy (on mass shell).
9
Reguły Feynmana: prosty przykład teoria ϕ4
Mamy:
¢ g 4
1¡
µ
2 2
L = ∂µϕ ∂ ϕ − m ϕ − ϕ ,
2
4!³
´ g
∂L
1
0
2
2
2
2
~ + m ϕ + ϕ4
H = T0 =
∂ ϕ̇ − L, H =
∂tϕ + ∇ϕ
∂ ϕ̇
2
4!
g 4
H1 = ϕ .
4!
Operator S:
Z
g
S = 1 + (−i)
d4x : ϕ4(x) :
4! Z
Z
(−i)2 ³ g ´2
+
d4x1 d4x2T (: ϕ4(x1) :: ϕ4(x2) :) + . . .
2!
4!
10
Operatory pola:
´
1 X 1 ³ i(~p·~r−Ept)
p
ϕ(~r, t) = √
e
ap~ + e−i(~p·~r−Ept)a†p~
2Ep
V p~
= ϕ(+)(x) + ϕ(−)(x),
gdzie
ϕ(+)(x) → zawiera e−ipxap~,
ϕ(−)(x) → zawiera e+ipxa†p~.
Wybierzmy:
|ii = |p1, p2i = a†p~1 a†p~2 |0i ,
|f i = |p01, p02i = a†p~ 0 a†p~ 0 |0i .
hf | =
hp01, p02|
1
2
= h0| ap~20 ap~10
11
czas
p'1
p1
p'2
p2
R
hp01, p02| S |p1, p2i = hp01, p02| T e−i
12
d4 xH1 (x)
|p1, p2i
Rząd zerowy
(0)
Sf i = hf | 1 |ii = hp01, p02| 1 |p1, p2i = h0| ap~20 ap~10 a†p~1 a†p~2 |0i
³
´
= h0| ap~20 δp~1p~10 + a†p~1 ap~10 a†p~2 |0i
= δp~1p~10 h0| ap~20 a†p~2 |0i + h0| ap~20 a†p~1 ap~10 a†p~2 |0i
daje zero
z }| {
= δp~1p~10 h0| δp~2p~20 + a†p~2 ap~20 |0i + h0| (δp~1p~20 + a†p~1 ap~20 )(δp~2p~10 + a†p~2 ap~10 ) |0i
| {z }
| {z }
daje zero
A zatem:
daje zero
(0)
Sf i = δp~1p~10 δp~2p~20 + δp~1p~20 δp~2p~10
Nie zaszło żadne oddziaływanie. Takie przyczynki do macierzy S odrzucamy
(tzw. diagramy rozłączne – disconnected ).
13
czas
p'1
p1
p'1
p1
=
p'2
p2
p'1
p1
p'2
p2
+
p'2
p2
(0)
Sf i = hf | 1 |ii = hp01, p02| 1 |p1, p2i = δp~1p~10 δp~2p~20 + δp~1p~20 δp~2p~10
14
Pierwszy rząd
Z
g
d4x : ϕ4(x) :
←− można opuścić T
S = 1 + (−i)
4! Z
Z
(−i)2 ³ g ´2
d4x1 d4x2T (: ϕ4(x1) :: ϕ4(x2) :) + . . .
+
2!
4!
Policzmy S (1)
S (1) = (−i)
g
4!
Z
d4x : ϕ4(x) :
Interesuje nas element macierzowy
(1)
Sf i
g
0
0
(1)
= hp1, p2| S |p1, p2i = (−i)
4!
Z
15
d4x h0| ap~20 ap~10 : ϕ4(x) : a†p~1 a†p~2 |0i
Uporządkowanie normalne:
2
: ϕ4 := ϕ(−)4 + 4ϕ(−)3ϕ(+) + 6ϕ(−)2ϕ(+) + 4ϕ(−)ϕ(+)3 + ϕ(+)4.
Ponieważ stan początkowy zawiera 2 cząstki, potrzebujemy dwa operatory anihiliacji z S (1), a ponieważ stan końcowy zawiera też 2 czastki potrzebujemy też
2 operatory kreacji (które działaja "w lewo"jako operatory anihilacji. Czyli
przyczynek da tylko człon
2
6ϕ(−)2ϕ(+)
zatem, pamietając że mamy periodyczne warunki przegowe: qx = 2πnx/L i.t.d.
s
Z
Z
3
X
X
d ~q
V
1
3
=
= d ~n = V
→ Nq =
, bo pole zawiera: p
3
(2π)
2E
2V Eq
q
nx ,ny ,nz
~q
Uwaga, tej zamiany na razie nie stosujemy, bo δp~~q są deltami Kroneckera:
!
Z
Z ÃY
4
X
1
g
(1)
4
p
Sf i = −i 6 d x
ei(q1+q2−q3−q4)x
4!
2V Eqi ~q ,~q ,~q ,~q
i=1
1 2 3 4
× h0| ap~20 ap~10 a~†q1 a~†q2 a~q3 a~q4 a†p~1 a†p~2 |0i
| {z }
z operatora pola
16
Trzeba przekomutować operatory kreacji i anihilacji, tak by pozostały tylko
δp~~q. Gdyby gdzieś został wolny operator mamy zero.
h0| ap~20 ap~10 a~†q1 a~†q2 a~q3 a~q4 a†p~1 a†p~2 |0i
³
´
´
³
†
†
†
= h0| ap~20 a~q1 ap~10 + δ~q1p~10 a~q2 a~q3 ap~1 a~q4 + δ~q4p~1 a†p~2 |0i
Popatrzmy najpierw na prawą stronę
³
´
†
h0| . . . a~q3 ap~1 a~q4 + δ~q4p~1 a†p~2 |0i
= h0| . . . a~q3 a†p~1 a~q4 a†p~2 |0i + δ~q4p~1 h0| . . . a~q3 a†p~2 |0i
= δ~q4p~2 h0| . . . a~q3 a†p~1 |0i + δ~q4p~1 δ~q3p~2 h0| . . . |0i
¡
¢
= h0| . . . δ~q4p~2 δ~q3p~1 + δ~q4p~1 δ~q3p~2 |0i .
Postępując analogicznie z lewą stroną mamy 4 człony
h0| ap~20 ap~10 a~†q1 a~†q2 a~q3 a~q4 a†p~1 a†p~2 |0i
³
´¡
¢
= δ~q1p~10 δ~q2p~20 + δ~q1p~20 δ~q2p~10 δ~q3p~1 δ~q4p~2 + δ~q3p~2 δ~q4p~1
17
Ponieważ można zmienić nazwy zmiennych całkowania dostajemy ostatecznie
4 identyczne człony
Z
g
(1)
4
i(p01 +p02 −p1 −p2 )x
Sf i = −i 6 × 4 d x e
4!

2
1
1
Y

4 4 0
0
q
= −ig  p
 (2π) δ (p1 + p2 − p1 − p2).
2V Epi 2V Ep0
i=1
i
Uwaga:Diagram:
czas
p'1
p1
p'2
p2
18
Drugi rząd
Z
g
d4x : ϕ4(x) :
S = 1 + (−i)
4! Z
Z
(−i)2 ³ g ´2
d4x1 d4x2T (: ϕ4(x1) :: ϕ4(x2) :) + . . .
+
2!
4!
W drugim rzędzie mamy
µ
¶2 Z
1
ig
(2)
Sf i =
−
d4x1d4x2×
2!
4!
¡ 4
¢ † †
4
× h0| ap~20 ap~10 T : ϕ (x1) :: ϕ (x2) : ap~1 ap~2 |0i
Musimy umieć zapisać
T (: ϕ4(x) :: ϕ4(y) :) → ?
19
Zwężenie Wicka
Rozpatrzmy prostszy przypadek:
T (: ϕ(x)ϕ(y) :) = T (ϕ(x)ϕ(y))
r
ϕ(~r, t) =
s
´
1X
1 ³ −ipx
†
e
ap~ + eipxap~
V
2Ep
p~
Policzmy dla x0 > y0
s
s
´³
´
1X
1
1 ³ −ipx
ipx †
−iqy
iqy †
e
ap~ + e ap~
e a~q + e a~q
T (ϕ(x)ϕ(y))|x0>y0 =
V
2Ep 2Eq
p~,~q
s
s
1X
1
1
=
×
V
2Ep 2Eq
p~,~q
´
³
†
ipx+iqy † †
ipx−iqy †
−ipx−iqy
−ipx+iqy
ap~ a~q
ap~ a~q + e
e
ap~ a~q + e
ap~ a~q + e
Chvemy to przepisać, tak by operatory anihilacji stały po prawej
ap~a~†q = δp~ ~q + a~†q ap~
20
co daje dla x0 > y0
T (ϕ(x)ϕ(y))|x0>y0
1 X 1 −ip(x−y)
=: ϕ(x)ϕ(y) : +
e
.
V
2Ep
p~
Dla y0 > x0 wystarczy zamienić x ←→ y
T (ϕ(x)ϕ(y))|y0>x0
1 X 1 −ip(y−x)
e
.
=: ϕ(x)ϕ(y) : +
V
2Ep
p~
Używając
X
Z
→V
p~
d3p~
(2π)3
mamy
T (ϕ(x)ϕ(y)) =: ϕ(x)ϕ(y) :
Z
´
d3p~ ³ −ip(x−y)
−ip(y−x)
+
e
θ(x0 − y0) + e
θ(y0 − x0)
3
2Ep(2π)
p
gdzie Ep = p~ 2 + m2. Oznaczamy
Z
´
d3p~ ³ −ip(x−y)
−ip(y−x)
i∆F (x − y) = i
e
θ(x0 − y0) + e
θ(y0 − x0)
2Ep(2π)3
21
Warto funkcje θ zastąpić trickiem wprowadzając całkę po dp0 po konturze:
x0 − y0 < 0
− Ep + i ε
Ep − i ε
x0 − y0 > 0
co daje (pokażemy to w drugą stronę)
Z 4
d p −ip(x−y)
i
i∆F (x − y) =
e
(2π)4
p2 − m2 + iε
Z 3 Z
d p~
ei~p(~x−~y)
0 −ip0 (x0 −y 0 )
dp e
=i
(2π)4
(p0)2 − p~ 2 − m2 + iε
C
22
Zajmijmy się całką po p0:
Z
0 −ip0 (x0 −y 0 )
dp e
C
1
(p0)2 − p~ 2 − m2 + iε
Mianownik można rozpisać:
¡ 0 ¢2
p − p~ 2 − m2 + iε = (p0 − Ẽp)(p0 + Ẽp)
gdzie
Ẽp =
p
p~ 2
+
m2
− iε =
p
(~p 2
+
m2) (1
−
iε0)
1 0
= Ep(1 − i ε )
2
gdzie
ε
ε = 2
.
p~ + m2
Ponieważ interesuje nas tylko znak ε0 możemy opuścić dodatnie czynniki:
0
Ẽp = Ep − iε.
Stąd mianownik
1
1
= 0
.
2
0 + E − iε)
0
2
2
(p
−
E
+
iε)(p
(p ) − p~ − m + iε
p
p
23
Wyrażenie to ma dwa bieguny
1) : p0 = Ep − iε, 2) : p0 = −Ep + iε.
Gdy (x0 − y0) > 0 kontur domykamy u dołu i przyczynek daje biegun 1).
Dla (y0 − x0) > 0 przyczynek daje biegun 2):
x0 − y0 < 0
Z∞
− Ep + i ε
0 −ip0(x0−y 0 )
dp e
1
(p0)2 − p~ 2 − m2 + iε
−∞
Mamy:
Ep − i ε
x0 − y0 > 0
Z 3 "
0
0
e−iEp(x −y )ei~p(~x−~y)
d p~
θ(x0 − y0)
i∆F (x − y) = (−2πi)i
(2π)4
2Ep
#
iEp (x0 −y 0 ) i~p(~x−~y )
e
e
+θ(y0 − x0)
.
2Ep
24
W przypadku drugiej całki mozemy zmienić zmienną całkownia p~ → −~p i
mamy ostatecznie wyrażenie wyjściowe:
Z
i
d3p~ h
−ip(x−y)
−ip(y−x)
i∆F (x − y) =
θ(x0 − y0)e
+ θ(y0 − x0)e
.
3
2Ep(2π)
Wyrażenie
i
p2 − m2 + iε
wraz z przepisem na obchodzenie biegunów nazywamy propagatorem Feynmana dla pola skalarnego w przestrzeni pędów.
Pokazaliśmy najprostszy przykład twierdzenia Wicka:
T (ϕ(x)ϕ(y)) =: ϕ(x)ϕ(y) : +i∆F (x − y)
Ten ostatni człon nazywa się zwężeniem Wicka:
ϕ(x)ϕ(y) = i∆F (x − y).
Podobnie dla fotonu.
25
Jeśli pola nie zawierają niekomutujących operatorów, np. pole ψ:
r
´
1 X m³
†
−i(~p·~r−Ep t)
i(~p·~r−Ep t)
ψ(~r, t) = √
bp~ εuε(~p)e
+ dp~ εvε(~p)e
E
V p~,ε=±
p
to
T (ψ(x)ψ(y)) =: ψ(x)ψ(y) :
T (ψ(x)ψ(y)) =: ψ(x)ψ(y) :
ale
T (ψ(x)ψ(y)) =: ψ(x)ψ(y) : + ψ(x)ψ(y)
gdzie
ψ α(x)ψβ (y) = iSF (x − y)αβ
Z 3
µ
d p~ −ip(x−y) (p γµ + m)αβ
e
=i
4
(2π)
p2 − m2 + iε
26
i ∆F ( p ) =
i
p 2 − m2 + i ε
i ( p + m )αβ
iSF (p ) = 2
p − m2 + i ε
=
iDF (p )µν =
i
p − m + iε
− igµν
p2 + iε
(cechowanie!)
27
Twierdzenie Wicka
Uporządkowanie czasowe iloczynu pól swobodnych jest równe sumie po wszystlich
możliwych uporządkowanych normalnie iloczynach pól generowanych przez zwężenia Wicka.
Przykład dla czterech pól skalarnych:
T (ϕ1ϕ2ϕ3ϕ4) = T (ϕ(x1)ϕ(x2)ϕ(x3)ϕ(x4)) =: ϕ1ϕ2ϕ3ϕ4 :
(1)
+ :ϕ1ϕ2ϕ3ϕ4 : + :ϕ1ϕ2ϕ3ϕ4 : + . . . + : ϕ1ϕ2ϕ3ϕ4 :
(2)
+ :ϕ1ϕ2ϕ3ϕ4 : + :ϕ1ϕ2ϕ3ϕ4 : + :ϕ1ϕ2ϕ3ϕ4 :
(3)
Uwaga:
• przyczynek (??) jest liczbą, reprezentowaną przez diagram:
〈 f |i 〉
Nie daje on wkładu do amplitudy rozpraszania, gdyż nie jest diagram connected.
28
T (ϕ1ϕ2ϕ3ϕ4) = T (ϕ(x1)ϕ(x2)ϕ(x3)ϕ(x4)) =: ϕ1ϕ2ϕ3ϕ4 :
(1)
+ :ϕ1ϕ2ϕ3ϕ4 : + :ϕ1ϕ2ϕ3ϕ4 : + . . . + : ϕ1ϕ2ϕ3ϕ4 :
(2)
+ :ϕ1ϕ2ϕ3ϕ4 : + :ϕ1ϕ2ϕ3ϕ4 : + :ϕ1ϕ2ϕ3ϕ4 :
(3)
• Jeżeli x1 = x2 = x3 = x4 = x, to mamy dyskutowany wcześniej pierwszy rząd rachunku zaburzeń. Do rozpraszania p1, p2 → p01, p02 daje wkład
przyczynek (??).
• Jeżeli jako stany poczatkowy i końcowy wybrać stany jednocząstkowe:
|ii = |pi , |f i = |p0i
to may tylko wkład od przyczynków (??) reprezentowanych diagramem
(poprawka wirtualna):
p'
p
29
Drugi rząd w teorii ϕ4
Z
Z
³
´
2
(−i) g
(2)
Sf i =
d4x1 d4x2×
2!
4!
hp01, p02| T (: ϕ4(x1) :: ϕ4(x2) :) |p1, p2i
2
Aby element macierzowy między stanami dwucząstkowymi nie znikał, muszą
być cztery wolne operatory pola i dwa zwężenia Wicka, które likwidują cztery
operatory pola.
hp01, p02| T (ϕ(x1)ϕ(x1)ϕ(x1)ϕ(x1)ϕ(x2)ϕ(x2)ϕ(x2)ϕ(x2)ϕ(x2)) |p1, p2i
30
Są trzy typy diagramów:
1. Oba zwężenia w tym samym punkcie x1 (diagram disconnected ):
ϕ(x1)ϕ(x1)ϕ(x1)ϕ(x1) : ϕ4(x2) :
czas
p'1
p1
p'2
p2
31
2. Jedno zwężęnie w tym samym punkcie x1, drugie między x1 a x2 (poprawka
wirtualna + oddziaływanie):
ϕ(x1)ϕ(x1)ϕ(x1)ϕ(x2) : ϕ(x1)ϕ3(x2) :
czas
p'1
p1
p'2
p2
32
3. Oba zwężenia miedzy różnymi punktami (oddziaływanie):
ϕ(x1)ϕ(x1)ϕ(x2)ϕ(x2) : ϕ2(x1)ϕ2(x2) :
czas
p'1
p1
p'1
p1
p'1
p1
p'2
p2
p'2
p2
p'2
p2
33