Liczba par sztuk ścisła leśna okresowa nieleśna (ha) (ha) (szt) (szt

Transkrypt

Liczba par sztuk ścisła leśna okresowa nieleśna (ha) (ha) (szt) (szt
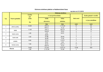
Ochrona strefowa ptaków w Nadlesnictwie Susz
wg stanu na 31.12.2010
Ochrona strefowa
Lp.
Nazwa gatunku
Liczba
par
sztuk
/ha
1
orlik krzykliwy
2
bielik
3
kania czarna
4
kania ruda
5
rybołów
6
bocian czarny
Razem
52.00
11.00
1.00
3.00
0.00
7.00
74.00
1.00
w tym powierzchnia:
liczba gniazd w strefie
ścisła
leśna
okresowa
nieleśna
(ha)
244.16
959.71
148.73
546.99
4.25
60.66
(ha)
1 172.62
31.25
665.79
29.93
64.91
27.66
42.40
53.44
11.47
22.10
99.47
58.74
426.76
513.49
2 135.98
119.55
2.02
473.17
12.33
2 557.33
87.00
ilość stref
w tym zasiedlone
(szt)
41
x
11
x
(szt)
1
1
x
5
x
3
x
1
3
11
12
x
72.00
x
7
101
64
52
16
11
6
2
0
Ochrona strefowa ptaków w Nadlesnictwie Susz
wg stanu na 31.12.2011
Ochrona strefowa
Lp.
Nazwa gatunku
Liczba
par
sztuk
/ha
1
orlik krzykliwy
b.d
2
bielik
b.d
3
kania czarna
1.00
b.d
4
kania ruda
b.d
5
rybołów
b.d
6
bocian czarny
b.d
Razem
w tym powierzchnia:
ścisła
okresowa
(ha)
252.45
808.90
133.67
317.72
4.25
30.13
27.66
94.57
30.70
68.76
61.11
372.49
640.69
1692.57
leśna
nieleśna
(ha)
1 021.87
39.48
428.41
22.98
34.38
106.79
15.44
97.43
2.03
421.9
11.7
2110.78
91.63
liczba gniazd w strefie
ilość stref
w tym zasiedlone
(szt)
47
x
11
x
1.00
x
4
x
3
x
8.00
x
72
x
(szt)
69
x
15
x
1.00
x
5
x
2
x
8.00
x
100
x
Ochrona strefowa ptaków w Nadlesnictwie Susz
wg stanu na 31.12.2012
Ochrona strefowa
Lp.
Nazwa gatunku
Liczba
par
sztuk
/ha
1
orlik krzykliwy
b.d
2
bielik
b.d
3
kania czarna
1.00
b.d
4
kania ruda
b.d
5
rybołów
b.d
6
bocian czarny
b.d
Razem
w tym powierzchnia:
ścisła
okresowa
(ha)
254.21
809.69
124.29
310.18
4.25
30.13
27.66
94.57
30.70
68.76
61.11
372.49
510.07
1685.82
leśna
nieleśna
(ha)
1 024.42
39.48
411.49
22.98
34.38
106.79
15.44
97.43
2.03
421.9
11.7
2104.26
91.63
liczba gniazd w strefie
ilość stref
w tym zasiedlone
(szt)
34
x
10
x
1.00
x
4
x
3
x
11.00
x
64
x
(szt)
64
x
13
x
1.00
0
5
x
2
x
12.00
x
98
x