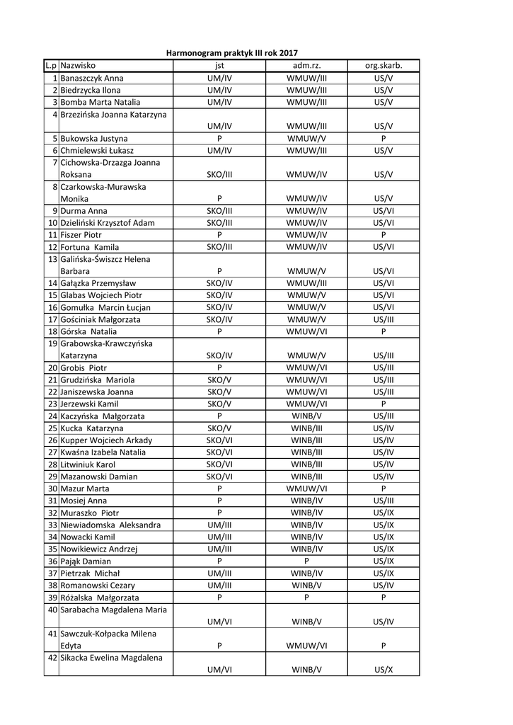
Lp Nazwisko jst adm.rz. org.skarb. 1 Banaszczyk

Transkrypt

Lp Nazwisko jst adm.rz. org.skarb. 1 Banaszczyk
L.p
1
2
3
4
5
6
7
8
9
10
11
12
13
14
15
16
17
18
19
20
21
22
23
24
25
26
27
28
29
30
31
32
33
34
35
36
37
38
39
40
41
42
Harmonogram praktyk III rok 2017
Nazwisko
jst
adm.rz.
UM/IV
WMUW/III
Banaszczyk Anna
UM/IV
WMUW/III
Biedrzycka Ilona
UM/IV
WMUW/III
Bomba Marta Natalia
Brzezińska Joanna Katarzyna
UM/IV
WMUW/III
P
WMUW/V
Bukowska Justyna
UM/IV
WMUW/III
Chmielewski Łukasz
Cichowska-Drzazga Joanna
SKO/III
WMUW/IV
Roksana
Czarkowska-Murawska
P
WMUW/IV
Monika
SKO/III
WMUW/IV
Durma Anna
SKO/III
WMUW/IV
Dzieliński Krzysztof Adam
P
WMUW/IV
Fiszer Piotr
SKO/III
WMUW/IV
Fortuna Kamila
Galińska-Świszcz Helena
P
WMUW/V
Barbara
SKO/IV
WMUW/III
Gałązka Przemysław
SKO/IV
WMUW/V
Glabas Wojciech Piotr
SKO/IV
WMUW/V
Gomułka Marcin Łucjan
SKO/IV
WMUW/V
Gościniak Małgorzata
P
WMUW/VI
Górska Natalia
Grabowska-Krawczyńska
SKO/IV
WMUW/V
Katarzyna
P
WMUW/VI
Grobis Piotr
SKO/V
WMUW/VI
Grudzińska Mariola
SKO/V
WMUW/VI
Janiszewska Joanna
SKO/V
WMUW/VI
Jerzewski Kamil
P
WINB/V
Kaczyńska Małgorzata
SKO/V
WINB/III
Kucka Katarzyna
SKO/VI
WINB/III
Kupper Wojciech Arkady
SKO/VI
WINB/III
Kwaśna Izabela Natalia
SKO/VI
WINB/III
Litwiniuk Karol
SKO/VI
WINB/III
Mazanowski Damian
P
WMUW/VI
Mazur Marta
P
WINB/IV
Mosiej Anna
P
WINB/IV
Muraszko Piotr
UM/III
WINB/IV
Niewiadomska Aleksandra
UM/III
WINB/IV
Nowacki Kamil
UM/III
WINB/IV
Nowikiewicz Andrzej
P
P
Pająk Damian
UM/III
WINB/IV
Pietrzak Michał
UM/III
WINB/V
Romanowski Cezary
P
P
Różalska Małgorzata
Sarabacha Magdalena Maria
UM/VI
WINB/V
Sawczuk-Kołpacka Milena
P
WMUW/VI
Edyta
Sikacka Ewelina Magdalena
UM/VI
WINB/V
org.skarb.
US/V
US/V
US/V
US/V
P
US/V
US/V
US/V
US/VI
US/VI
P
US/VI
US/VI
US/VI
US/VI
US/VI
US/III
P
US/III
US/III
US/III
US/III
P
US/III
US/IV
US/IV
US/IV
US/IV
US/IV
P
US/III
US/IX
US/IX
US/IX
US/IX
US/IX
US/IX
US/IV
P
US/IV
P
US/X
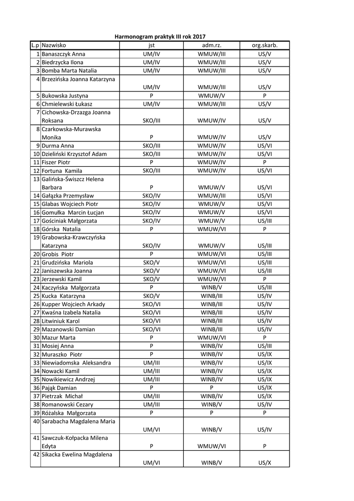
43 Stempniewska Karolina
44 Szczechowicz Adrianna
Katarzyna
45 Tarnowska Monika
46 Tomaszewska Aleksandra
Ewa
47 Tyllo Jan Paweł
48 Wojdyło-Wyżlic Martyna
49 Wojenkowska Patrycja
Katarzyna
50 Zakrzewska Bernadetta
P
WINB/V
US/X
UM/VI
UM/V
WINB/V
WINB/VI
US/X
US/X
UM/V
UM/V
SKO/IV
WINB/VI
WINB/VI
WINB/III
US/X
US/X
US/IX
UM/V
UM/V
WINB/VI
WINB/VI
US/X
P