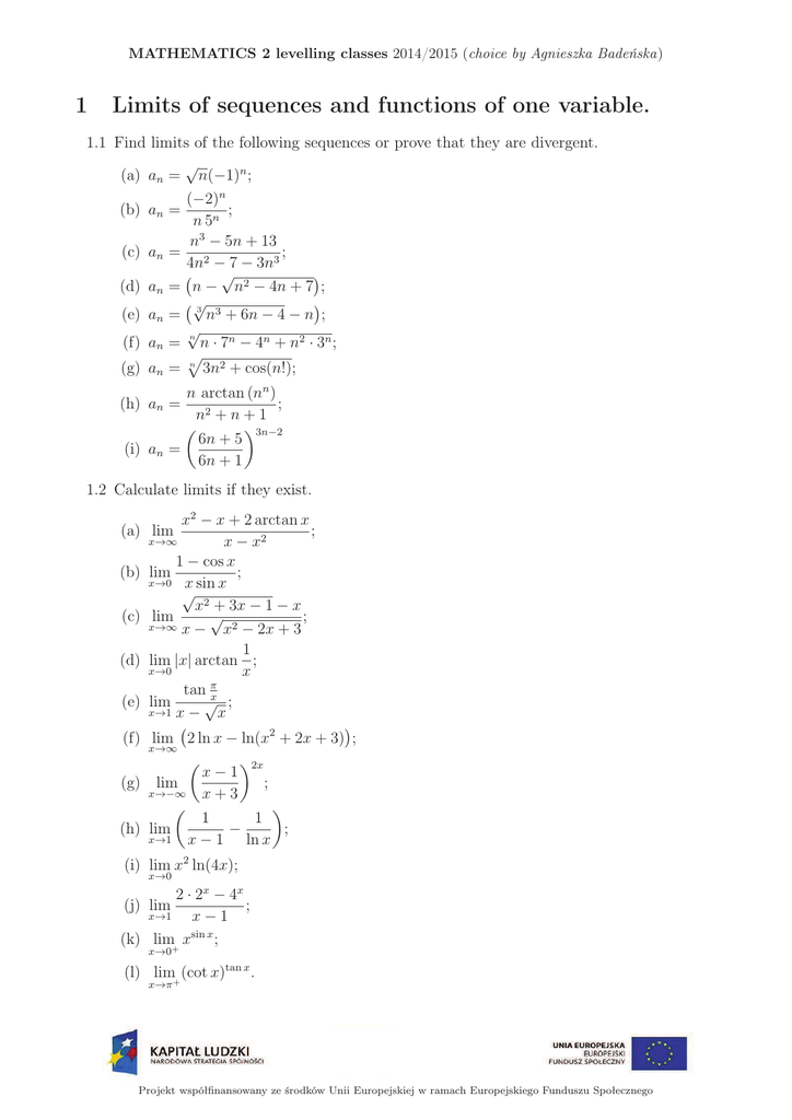
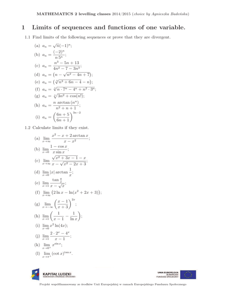
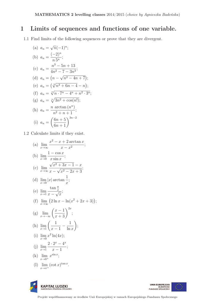
1 Limits of sequences and functions of one variable.

Transkrypt

1 Limits of sequences and functions of one variable.
MATHEMATICS 2 levelling classes 2014/2015 (choice by Agnieszka Badeńska)
1
Limits of sequences and functions of one variable.
1.1 Find limits of the following sequences or prove that they are divergent.
√
(a) an = n(−1)n ;
(−2)n
;
n 5n
n3 − 5n + 13
= 2
;
4n − 7 − 3n3
√
!
= n − n2 − 4n + 7 ;
!√
= 3 n3 + 6n − 4 − n ;
√
= n n · 7n − 4n + n2 · 3n ;
p
= n 3n2 + cos(n!);
(b) an =
(c) an
(d) an
(e) an
(f) an
(g) an
n arctan (nn )
;
n2 + n + 1
3n−2
6n + 5
(i) an =
6n + 1
(h) an =
1.2 Calculate limits if they exist.
x2 − x + 2 arctan x
;
x→∞
x − x2
1 − cos x
lim
;
x→0 x sin x
√
x2 + 3x − 1 − x
√
;
lim
x→∞ x −
x2 − 2x + 3
1
lim |x| arctan ;
x→0
x
tan πx
√ ;
lim
x→1 x −
x
!
lim 2 ln x − ln(x2 + 2x + 3) ;
x→∞
2x
x−1
lim
;
x→−∞
x+3
1
1
lim
;
−
x→1
x − 1 ln x
(a) lim
(b)
(c)
(d)
(e)
(f)
(g)
(h)
(i) lim x2 ln(4x);
x→0
2 · 2x − 4x
;
x→1
x−1
(k) lim+ xsin x ;
(j) lim
x→0
(l) lim+ (cot x)tan x .
x→π
Projekt współfinansowany ze środków Unii Europejskiej w ramach Europejskiego Funduszu Społecznego