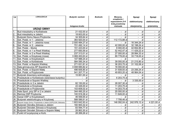
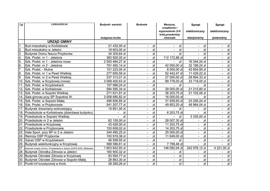
Zbiorcze zestawienie majątku

Transkrypt

Zbiorcze zestawienie majątku
l.p
LOKALIZACJA
Budynki- wartość
Budowle
Maszyny,
urządzenia i
wyposaŜenie (3-8
krśt),przedmioty
nietrwałe
księgowa brutto
Sprzęt
Sprzęt
elektroniczny
elektroniczny
stacjonarny
przenośny
URZĄD GMINY
1.
2.
3.
4.
5.
6.
7.
8.
9.
10.
11.
12.
13.
14.
15.
16.
17.
18.
19.
20.
21.
22.
23.
24.
25.
26.
27.
28.
29.
30.
31.
Bud mieszkalny w Korbielowie
Bud mieszkalny w Jeleśni
Budynek Domu Naucz.Przyborów
Szk. Podst. nr 1 - Jeleśnia
Szk. Podst. nr 1 - Jeleśnia nowa
Szk. Podst. nr 2 - Jeleśnia
Szk. Podst. - Mutne
Szk. Podst. nr 1 w Pewli Wielkiej
Szk. Podst. nr 2 w Pewli Wielkiej
Szk. Podst. w KrzyŜowej (nowa)
Szk. Podst. w KrzyŜówkach
Szk. Podst. w Korbielowie
Szk. Podst. w Sopotni Wielkiej
Sala gimnas.przy SP Sopotnia W.
Szk. Podst. w Sopotni Małej
Szk. Podst. w Przyborowie
Budynek drewniany-wolnostojący
Przedszkole w Korbielowie (dzierŜawa budynku)
Przedszkole w Sopotni Wielkiej
Przedszkole nr 2 w Jeleśni
Przedszkole w KrzyŜowej
Przedszkole w Przyborowie
Hala Sport. przy SP nr 2 w Jeleśni
Remiza OSP Przyborów
GaraŜ OSP w KrzyŜówkach
Budynek wielofunkcyjny w KrzyŜowej
Budynek Urzędu Gminy i Przedszkola w Jeleśni,GOPS,GOK, Biblioteka
Budynek Ośrodka Zdrowia w Jeleśni
Budynek Ośrodek Zdrowia w KrzyŜowej
Budynek Ośrodek Zdrowia w Sopotni Małej
Punkt inf turystycznej w Korb.
21 432,00 zł
18 603,00 zł
34 305,64 zł
383 920,00 zł
2 500 484,27 zł
701 492,14 zł
151 223,00 zł
277 650,59 zł
237 313,01 zł
3 069 400,63 zł
107 988,24 zł
584 595,34 zł
271 631,81 zł
3 008 685,82 zł
496 606,85 zł
541 207,77 zł
15 851,00 zł
- zł
- zł
82 150,00 zł
43 426,00 zł
153 608,02 zł
344 495,25 zł
100 919,38 zł
46 559,55 zł
588 586,61 zł
1 603 642,93 zł
160 900,32 zł
83 594,77 zł
28 863,30 zł
28 269,26 zł
-
zł
zł
zł
zł
zł
zł
zł
zł
zł
zł
zł
zł
zł
zł
zł
zł
zł
zł
zł
zł
zł
zł
zł
zł
zł
zł
zł
zł
zł
zł
zł
- zł
- zł
- zł
112 172,88 zł
- zł
42 000,00 zł
8 000,00 zł
52 442,47 zł
27 000,00 zł
89 778,00 zł
- zł
39 000,00 zł
36 203,75 zł
16 000,00 zł
31 939,93 zł
49 853,20 zł
- zł
6 203,75 zł
- zł
28 007,30 zł
11 203,75 zł
14 203,75 zł
25 000,00 zł
11 649,00 zł
- zł
7 799,46 zł
146 092,04 zł
- zł
- zł
- zł
- zł
- zł
- zł
- zł
- zł
16 344,24 zł
32 198,24 zł
42 654,95 zł
11 429,22 zł
28 994,33 zł
33 718,00 zł
- zł
21 215,80 zł
31 102,06 zł
- zł
23 256,24 zł
48 964,04 zł
- zł
- zł
3 335,00 zł
- zł
- zł
- zł
- zł
- zł
- zł
- zł
242 976,12 zł
- zł
- zł
- zł
- zł
- zł
- zł
- zł
- zł
- zł
- zł
- zł
- zł
- zł
- zł
- zł
- zł
- zł
- zł
- zł
- zł
- zł
- zł
- zł
- zł
- zł
- zł
- zł
- zł
- zł
- zł
4 221,00 zł
- zł
- zł
- zł
- zł
32.
33.
34.
35.
36.
37.
38.
39.
40.
41.
42.
43.
44.
45.
46.
47.
48.
49.
50.
51.
Lecznica dla zwierząt i wolno stoj.
Budynek murow.na boisku LKS w Jeleśni
Kiosk towarowy-drewniany w Jeleśni - plac targowy
Budynek socjalny LKS Przyborów
Wyciąg narciarski KULIGÓWKA z linią kablową oświetlenia
Budynek główny na przejściu granicznym Korbielów
Budynek pomocniczy na przejściu granicznym Korbielów
oczyszczalnia ścieków przejście Korbielów
zew. Linia energet. Przejście Korbielów
kanalizacja deszczowa przejście Korbielów
zew. Inst. Wodna przejście Korbielów
zew. Instal. Gazowa przejście Korbielów
zew. Inst. Telef przejście Korbielów
zew inst. Sanitarna przejście Korbielów
oświetlenie zewnętrzne przejście Korbielów
Oświetlenie drogi wew. Oraz kapliczki w KrzyŜowej
Boisko sportowe LKS w Jeleśni
Studnia głębinowa przy budynku Ośrodka Zdrowia w KrzyŜowej
Sieć wodno-kanalizacyjna wraz z przyłączami kanalizacyjnymi w Jeleśni
Droga, place i chodniki na Przejściu Granicznym
RAZEM
160 000,00 zł
100 000,00 zł
7 000,00 zł
65 000,00 zł
- zł
1 161 967,30 zł
80 758,00 zł
- zł
- zł
- zł
- zł
- zł
- zł
- zł
- zł
- zł
- zł
- zł
- zł
- zł
17 262 131,80 zł
- zł
- zł
- zł
- zł
53 228,00 zł
- zł
- zł
62 775,33 zł
65 117,60 zł
121 619,15 zł
132 000,58 zł
17 232,98 zł
106 236,82 zł
30 399,68 zł
13 581,00 zł
23 180,00 zł
45 220,00 zł
31 097,80 zł
3 048 094,51 zł
829 132,98 zł
4 578 916,43 zł
- zł
- zł
- zł
- zł
- zł
339 588,03 zł
- zł
- zł
- zł
- zł
- zł
- zł
- zł
- zł
- zł
- zł
- zł
- zł
- zł
- zł
1 094 137,31 zł
- zł
- zł
- zł
- zł
- zł
- zł
- zł
- zł
- zł
- zł
- zł
- zł
- zł
- zł
- zł
- zł
- zł
- zł
- zł
- zł
536 188,24 zł
- zł
- zł
- zł
- zł
- zł
- zł
- zł
- zł
- zł
- zł
- zł
- zł
- zł
- zł
- zł
- zł
- zł
- zł
- zł
- zł
4 221,00 zł
ZAKŁAD GOSPODARKI KOMUNALNEJ
1.
2.
3.
4.
5.
6.
7.
Zakład Gosp. Komunalnej wynajmuje budynek od UG
Urzadzenia oczyszczalni ścieków w Korbielowie
Budynek Stacji Wodociągowej w Sopotni Wielkiej
Budynek oczyszczalni ścieków
Kanalizacja sanitarna PE kolektory,przyłacza
Sieć wodociągowa w Sopotni Wielkiej
Budynek socj. baza kom ul. Suska
RAZEM
-
zł
200 160,61 zł
60 611,53 zł
321 679,45 zł
1 398 156,00 zł
40 673,00 zł
20 593,00 zł
402 883,98 zł
1 638 989,61 zł
zł
zł
zł
zł
zł
zł
4 737,69 zł
- zł
- zł
- zł
- zł
- zł
- zł
-
zł
zł
zł
zł
zł
zł
zł
205 839,39 zł
4 737,69 zł
-
zł
205 839,39 zł
-