Wykaz składników majątku do kasacji – 18.09.2014 r.

Transkrypt

Wykaz składników majątku do kasacji – 18.09.2014 r.
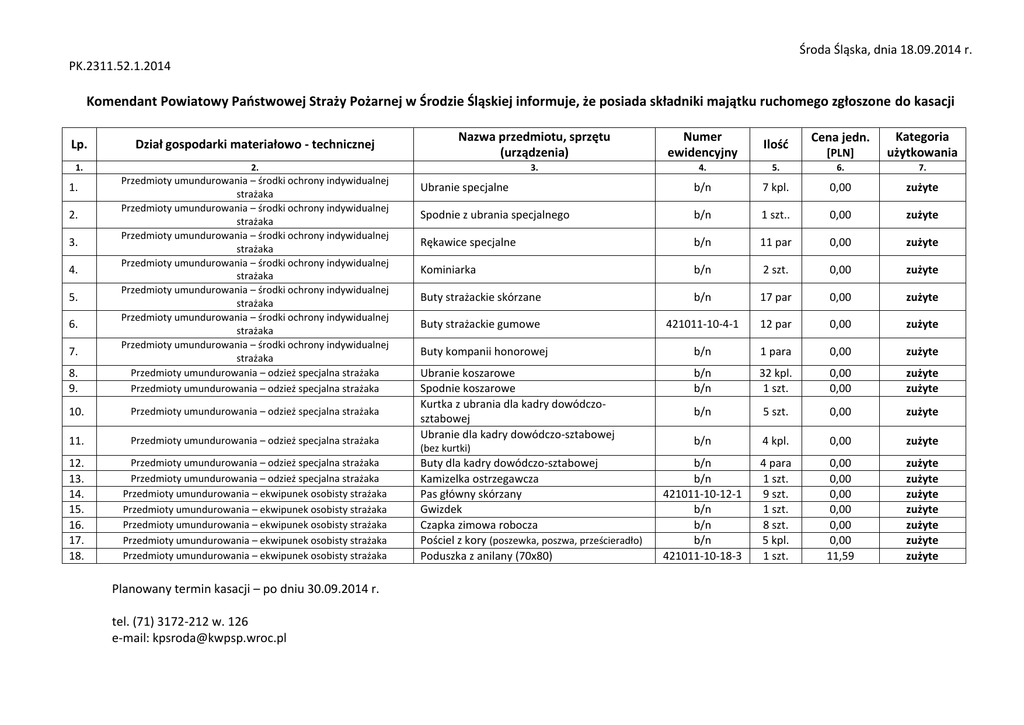
Środa Śląska, dnia 18.09.2014 r.
PK.2311.52.1.2014
Komendant Powiatowy Państwowej Straży Pożarnej w Środzie Śląskiej informuje, że posiada składniki majątku ruchomego zgłoszone do kasacji
Lp.
Dział gospodarki materiałowo - technicznej
Nazwa przedmiotu, sprzętu
(urządzenia)
Numer
ewidencyjny
Ilość
[PLN]
Kategoria
użytkowania
1.
2.
3.
4.
5.
6.
7.
Ubranie specjalne
b/n
7 kpl.
0,00
zużyte
Spodnie z ubrania specjalnego
b/n
1 szt..
0,00
zużyte
Rękawice specjalne
b/n
11 par
0,00
zużyte
Kominiarka
b/n
2 szt.
0,00
zużyte
Buty strażackie skórzane
b/n
17 par
0,00
zużyte
Buty strażackie gumowe
421011-10-4-1
12 par
0,00
zużyte
Buty kompanii honorowej
b/n
1 para
0,00
zużyte
Ubranie koszarowe
Spodnie koszarowe
Kurtka z ubrania dla kadry dowódczosztabowej
Ubranie dla kadry dowódczo-sztabowej
b/n
b/n
32 kpl.
1 szt.
0,00
0,00
zużyte
zużyte
b/n
5 szt.
0,00
zużyte
b/n
4 kpl.
0,00
zużyte
b/n
b/n
421011-10-12-1
b/n
b/n
b/n
421011-10-18-3
4 para
1 szt.
9 szt.
1 szt.
8 szt.
5 kpl.
1 szt.
0,00
0,00
0,00
0,00
0,00
0,00
11,59
zużyte
zużyte
zużyte
zużyte
zużyte
zużyte
zużyte
8.
9.
Przedmioty umundurowania – środki ochrony indywidualnej
strażaka
Przedmioty umundurowania – środki ochrony indywidualnej
strażaka
Przedmioty umundurowania – środki ochrony indywidualnej
strażaka
Przedmioty umundurowania – środki ochrony indywidualnej
strażaka
Przedmioty umundurowania – środki ochrony indywidualnej
strażaka
Przedmioty umundurowania – środki ochrony indywidualnej
strażaka
Przedmioty umundurowania – środki ochrony indywidualnej
strażaka
Przedmioty umundurowania – odzież specjalna strażaka
Przedmioty umundurowania – odzież specjalna strażaka
10.
Przedmioty umundurowania – odzież specjalna strażaka
11.
Przedmioty umundurowania – odzież specjalna strażaka
12.
13.
14.
15.
16.
17.
18.
Przedmioty umundurowania – odzież specjalna strażaka
Przedmioty umundurowania – odzież specjalna strażaka
Przedmioty umundurowania – ekwipunek osobisty strażaka
Przedmioty umundurowania – ekwipunek osobisty strażaka
Przedmioty umundurowania – ekwipunek osobisty strażaka
Przedmioty umundurowania – ekwipunek osobisty strażaka
Przedmioty umundurowania – ekwipunek osobisty strażaka
1.
2.
3.
4.
5.
6.
7.
Planowany termin kasacji – po dniu 30.09.2014 r.
tel. (71) 3172-212 w. 126
e-mail: [email protected]
(bez kurtki)
Buty dla kadry dowódczo-sztabowej
Kamizelka ostrzegawcza
Pas główny skórzany
Gwizdek
Czapka zimowa robocza
Pościel z kory (poszewka, poszwa, prześcieradło)
Poduszka z anilany (70x80)
Cena jedn.