Polesie niezamieszkałe 2015

Transkrypt

Polesie niezamieszkałe 2015
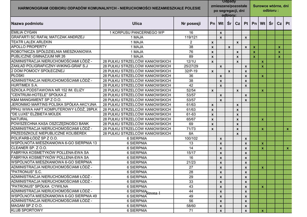
HARMONOGRAM ODBIORU ODPADÓW KOMUNALNYCH - NIERUCHOMOŚCI NIEZAMIESZKAŁE POLESIE
Nazwa
podmiotu i surowce
komumnalne
EMILIA CYGAN
GRAFARTI SC RAFAŁ MATCZAK ANDRZEJ
TEATR LALEK ARLEKIN
APOLLO PROPERTY
ROBOTNICZA SPÓŁDZIELNIA MIESZKANIOWA
PUBLICZNE GIMNAZJUM NR 26
ADMINISTRACJA NIERUCHOMOŚCIAMI ŁÓDŹ ZAKŁAD POLIGRAFICZNY-WIKING-GRAF S.J
2 DOM POMOCY SPOŁECZNEJ
PŁOSKI
ADMINISTRACJA NIERUCHOMOŚCIAMI ŁÓDŹ HURTIMEX S.A.
SZKOŁA PODSTAWOWA NR 152 IM. ELIZY
"CENTRUM-HOTELE" SPÓŁKA Z
K&M MANGAMENT SP Z O.O.
JERONIMO MARTINS POLSKA SPÓŁKA AKCYJNA
PPHU WIWA HAFT KOMPUTEROWY ŁÓDŹ, 28PŁK
"DE LUXE" ELŻBIETA MOLEK
NATURAL
POWSZECHNA KASA OSZCZĘDNOŚCI BANK
ADMINISTRACJA NIERUCHOMOŚCIAMI ŁÓDŹ PRZEDSZKOLE NIEPUBLICZNE KOLIBEREK
POLIFARB-ŁÓDŹ SP Z O.O.
WSPÓLNOTA MIESZKANIOWA 6-GO SIERPNIA 13
CLEANER SP. Z O.O.
FABRYKA KOSMETYKÓW POLLENA-EWA SA
FABRYKA KOSMETYKÓW POLLENA-EWA SA
WSPÓLNOTA MIESZKANIOWA 6-GO SIERPNIA
ADMINISTRACJA NIERUCHOMOŚCIAMI ŁÓDŹ "PATRONUS" S.C.
ADMINISTRACJA NIERUCHOMOŚCIAMI ŁÓDŹ ADMINISTRACJA NIERUCHOMOŚCIAMI ŁÓDŹ "PATRONUS" SPÓŁKA CYWILNA
ADMINISTRACJA NIERUCHOMOŚCIAMI ŁÓDŹ WSPÓLNOTA MIESZKANIOWA 6-GO SIERPNIA 49
ADMINISTRACJA NIERUCHOMOŚCIAMI ŁÓDŹ MAGAM SP Z O.O.
KLUB SPORTOWY
Ulica
komumnalne i surowce
1 KORPUSU PANCERNEGO WP
1 MAJA
1 MAJA
1 MAJA
1 MAJA
1 MAJA
28 PUŁKU STRZELCÓW KANIOWSKICH
28 PUŁKU STRZELCÓW KANIOWSKICH
28 PUŁKU STRZELCÓW KANIOWSKICH
28 PUŁKU STRZELCÓW KANIOWSKICH
28 PUŁKU STRZELCÓW KANIOWSKICH
28 PUŁKU STRZELCÓW KANIOWSKICH
28 PUŁKU STRZELCÓW KANIOWSKICH
28 PUŁKU STRZELCÓW KANIOWSKICH
28 PUŁKU STRZELCÓW KANIOWSKICH
28 PUŁKU STRZELCÓW KANIOWSKICH
28 PUŁKU STRZELCÓW KANIOWSKICH
28 PUŁKU STRZELCÓW KANIOWSKICH
28 PUŁKU STRZELCÓW KANIOWSKICH
28 PUŁKU STRZELCÓW KANIOWSKICH
28 PUŁKU STRZELCÓW KANIOWSKICH
28 PUŁKU STRZELCÓW KANIOWSKICH
6 SIERPNIA
6 SIERPNIA
6 SIERPNIA
6 SIERPNIA
6 SIERPNIA
6 SIERPNIA
6 SIERPNIA
6 SIERPNIA
6 SIERPNIA
6 SIERPNIA
6 SIERPNIA
6 SIERPNIA
Strona 1
6 SIERPNIA
6 SIERPNIA
6 SIERPNIA
6 SIERPNIA
Nr posesji
16
119/121
2
38
76
89
12/1U
25/27/29
32/P-19
36
38
42
52/54
53/57
53/57
61/63
61/63
61-63
65/67
69
71/73
8A
100/102
13
14
15/17
16
21/23
27
28
29
33
43
44
49
56
58/60
71
Odpady
zmieszane/pozostałe
po segregacji, dni
odbioru:
Surowce wtórne, dni
odbioru :
Pn Wt Śr Cz Pt Pn Wt Śr Cz Pt
x
x
x
x
x
x
x
x
x
x
x
x
x
x
x
x
x
x
x
x
x
x
x
x
x
x
x
x
x
x
x
x
x
x
x
x
x
x
x
x
x
x
x
x
x
x
x
x
x
x
x
x
x
x
x
x
x
x
x
x
x
x
x
x
x
x
x
x
x
x
x
x
x
x
x
x
x
x
x
x
x
x
x
x
x
x
x
x
x
x
x
x
x
x
x
UNIWERSYTET MEDYCZNY W ŁODZI
P.P.H.U. "GURTEX"S.C. PRODUKCJA GURTU I
URZĄD SKARBOWY ŁÓDŹ-POLESIE
STUDIO102 ALEKSANDRA SZADKOWSKABP SERVICE CENTER
komumnalne i surowce
QUBUS HOTEL MANAGEMENT SP.Z O.O.
PIOTR GRABOWICZ, KRZYSZTOF GRMOEK,
MAGDA MAGDALENA ZAPIERACZYŃSKA GABINET
WSPÓLNOTA MIESZKANIOWA A.STRUGA 15
"PATRONUS" SPÓŁKA CYWILNA
SZKOŁA PODSTAWOWA NR 160 IM.
CZERNIAK
ADMINISTRACJA NIERUCHOMOŚCIAMI ŁÓDŹ SŁAWOMIR STANKOWSKI
ADMINISTRACJA NIERUCHOMOŚCIAMI ŁÓDŹ ADMINISTRACJA NIERUCHOMOŚCIAMI ŁÓDŹ WSPÓLNOTA MIESZKANIOWA UL. A.STRUGA 40
ADMINISTRACJA NIERUCHOMOŚCIAMI ŁÓDŹ WSPÓLNOTA MIESZKANIOWA A.STRUGA 43
"PATRONUS" SPÓŁKA CYWILNA
WSPÓLNOTA MIESZKANIOWA A.STRUGA 52
ADMINISTRACJA NIERUCHOMOŚCIAMI ŁÓDŹ ADMINISTRACJA NIERUCHOMOŚCIAMI ŁÓDŹ BETA
DRUKARNIA SOLARISS SP ZOO
ZESPÓŁ OPIEKI ZDROWOTNEJ
STOWARZYSZENIE TARGOWA 62
MONIKA NITA PIEKARNIA
ABSYNT
BACEM BELADA
MATYJASIK
NOWICKI
"LIBRA"
"SPOŁEM" ŁÓDZKA SPÓŁDZIELNIA SPOŻYWCÓW
ANNA WOLSKA
AUTO SZKOŁA LIDER BOGDAN SABAŁA
BOGDAN WASILEWSKI
GRZEGORZ KACZMAREK
HALINA WODRAS
HANDEL HURT-DETAL S.C. J.IWAN H.REKŚĆ
KUCHARSKI
MAKSIEWICZ
MARIAN OSZCZYK
MIECIŃSKI
MIROSŁAW JARUŻ
6 SIERPNIA
6 SIERPNIA
6 SIERPNIA
6 SIERPNIA
ADAMA MICKIEWICZA
komumnalne i surowce
ADAMA MICKIEWICZA
ALEKSANDROWSKA
ANDRZEJA STRUGA
ANDRZEJA STRUGA
ANDRZEJA STRUGA
ANDRZEJA STRUGA
ANDRZEJA STRUGA
ANDRZEJA STRUGA
ANDRZEJA STRUGA
ANDRZEJA STRUGA
ANDRZEJA STRUGA
ANDRZEJA STRUGA
ANDRZEJA STRUGA
ANDRZEJA STRUGA
ANDRZEJA STRUGA
ANDRZEJA STRUGA
ANDRZEJA STRUGA
ANDRZEJA STRUGA
ANDRZEJA STRUGA
ANDRZEJA STRUGA
ANDRZEJA STRUGA
ANDRZEJA STRUGA
ARMII KRAJOWEJ
ARMII KRAJOWEJ
ARMII KRAJOWEJ
ARMII KRAJOWEJ
ARMII KRAJOWEJ
ARMII KRAJOWEJ
ARMII KRAJOWEJ
ARMII KRAJOWEJ
ARMII KRAJOWEJ
ARMII KRAJOWEJ
ARMII KRAJOWEJ
ARMII KRAJOWEJ
ARMII KRAJOWEJ
Strona 2
ARMII KRAJOWEJ
ARMII KRAJOWEJ
ARMII KRAJOWEJ
ARMII KRAJOWEJ
ARMII KRAJOWEJ
71
82
84/86
88A
7
7
67/93
15
15
24
24A
26
33
34/PAWILON 1
37
38
40
42
43
44
52
56
58
60
63
86
90
-/32
22
22
22
27/KEBAB
32
32
32
32
32
32
32
32
32
32
32
32
32
x
x
x
x
x
x
x
x
x
x
x
x
x
x
x
x
x
x
x
x
x
x
x
x
x
x
x
x
x
x
x
x
x
x
x
x
x
x
x
x
x
x
x
x
x
x
x
x
x
x
x
x
x
x
x
x
x
x
x
x
x
x
x
x
x
x
x
x
x
x
x
x
x
x
x
x
x
x
x
x
x
x
x
x
x
x
x
x
x
x
x
x
x
x
x
x
x
x
NOWICKI
P.P.H.U. CYBULSKI 95-002 SMARDZEW
P.P.H.U. KAWIKS SP.J. KAROL CHACHULSKI
PHA KOMINEK - IWONA FIRKOWSKA
PHU AGAT AGNIESZKA TURANT
komumnalne i surowce
POCZTA POLSKA S.A.
SERVIS AUDIO-VIDEO MAREK JARECKI
STOWARZYSZENIE KUPCÓW OSIEDLA RETKINIAWIESŁAWA BANASIAK
SROCZYŃSKA
HENRYKA MAJCHRZAK
WIESŁAW CHRZANOWSKI
BEATA KAPŁAN
STANISŁAWA DOBRAŃSKA
WITKOWSKA
MENDELEWSKA
PH "FEMME" ALEKSANDRA SŁUBIK
PHU "ROWERY"
PHU ROWERY
ROPELSKI
WIESŁAWA ADAMKIEWICZ
PRZEDSIĘBIORSTWO USŁUGOWOBEATA BERNAT
REBZDA
PPHU PROTECTIVE SOCK
OLEJNIK
MAŁGORZATA WODNICKA
ANETA STOLAREK
BETI SALON URODY
MAŁGORZATA DYK
PREMYSŁAW KALINOWSKI
USŁUGI I HANDEL PRZEMYSŁAW KALINOWSKI
KOMENDA WOJEWÓDZKA POLICJI W ŁODZI, UL.
BANK SPÓŁDZIELCZY W ALEKSANDROWIE
GRANDYS-SZCZERBA
PHU ANDRZEJ KMIEĆ
LIDL POLSKA SKLEPY SPOŻYWCZE SP. Z O.O.
ALDI SP. Z.O.O.
LESZEK CZARNOTA
OLAM POLSKA SP.Z O.O
KRY-WO- PRZEDSIĘBIORSTWO PRODUKCYJNO
PRZEDSIĘBIORSTWO WIELOBRANŻOWE DROBIX
MICHAŁ BALCERZAK
DARIUSZ MISZKIEWICZ
SZKOŁA PODSTAWOWA NR 19
ARMII KRAJOWEJ
ARMII KRAJOWEJ
ARMII KRAJOWEJ
ARMII KRAJOWEJ
ARMII KRAJOWEJ
komumnalne i surowce
ARMII KRAJOWEJ
ARMII KRAJOWEJ
ARMII KRAJOWEJ
ARMII KRAJOWEJ
ARMII KRAJOWEJ
ARMII KRAJOWEJ
ARMII KRAJOWEJ
ARMII KRAJOWEJ
ARMII KRAJOWEJ
ARMII KRAJOWEJ
ARMII KRAJOWEJ
ARMII KRAJOWEJ
ARMII KRAJOWEJ
ARMII KRAJOWEJ
ARMII KRAJOWEJ
ARMII KRAJOWEJ
ARMII KRAJOWEJ
ARMII KRAJOWEJ
ARMII KRAJOWEJ
ARMII KRAJOWEJ
ARMII KRAJOWEJ
ARMII KRAJOWEJ
ARMII KRAJOWEJ
ARMII KRAJOWEJ
ARMII KRAJOWEJ
ARMII KRAJOWEJ
ARMII KRAJOWEJ
ARMII KRAJOWEJ
ARMII KRAJOWEJ
ARMII KRAJOWEJ
ARMII KRAJOWEJ
ARMII KRAJOWEJ
ARMII KRAJOWEJ
ARMII KRAJOWEJ
ARTYLERYJSKA
Strona 3
AZALIOWA
AZALIOWA
AZALIOWA
BALONOWA
BALONOWA
32
32
32
32
32
32
32
32
32
32 B
32/101
32/101
32/102
32/102
32/11
32/12
32/5
32/8
32/8
32/KIOSK
32/PAW 1
32/PAW.
32/PAW.1
32/paw.102
32/PAWIL
326/PAWIL
32A
32A/102
32B
32B/4
32B/7
32B/7
33
35
35
40A
41
47
69/KIOSK
6
12
28
7
/109
1
x
x
x
x
x
x
x
x
x
x
x
x
x
x
x
x
x
x
x
x
x
x
x
x
x
x
x
x
x
x
x
x
x
x
x
x
x
x
x
x
x
x
x
x
x
x
x
x
x
x
x
x
x
x
x
x
x
x
x
x
x
x
x
x
x
x
x
x
x
x
x
x
x
x
x
x
x
x
x
x
x
x
x
x
x
x
x
x
x
x
x
x
x
x
x
x
x
x
x
x
x
x
x
x
x
x
x
x
x
PRUS
DOROŻYŃSKI
"VESTI " PPHU JAN PIELARZ
SĘTKOWSKA
SKLEP MIĘSNO-WĘDLINIARSKI
komumnalne i surowce
"PROMEDION" MONIKA NIEWINOWSKA
SPÓŁDZIELNIA MIESZKANIOWA "SYMPATYCZNA"
PRZEDSZKOLE MIEJSKIE NR 214
ANNA CIEŚLAK
ZARZĄD UŻYTKOWNIKÓW PARKINGU
SPÓŁDZIELNIA MIESZKANIOWA "SYMPATYCZNA"
SPÓŁDZIELNIA MIESZKANIOWA "SYMPATYCZNA"
SPÓŁDZIELNIA MIESZKANIOWA "SYMPATYCZNA"
POLSKI ZWIĄZEK DZIAŁKOWCÓW RODZINNY
DARIUSZ MSZYCA
USŁUGI KRAWIECKIE
GALERIE ALKOHOLI SP.Z.O.O
LEDER
ŚWIERŻEWSKI
JERZY LIPIŃSKI SKLEP SPOŻYWCZY
MICHAŁ KRZYSZTOF MITOM RONDIO PHU MITOM
ROBERT PODLASIAK
SPÓŁDZIELNIA MIESZKANIOWA
JAN KARBOWNIK
FIRMA "PAMIR" JERZY MIROSZEWSKI
FARMAX P.GRABKA SP.J.
PRZED. HANDL. PAPIER-ZABAWKI S.C. ALICJA
DERBICH
SPÓŁDZIELNIA MIESZKANIOWA
TELEKOMUNIKACJA POLSKA SA
FIRMA KSIĘGARSKA SERWIS SP. Z O. O.
MIRWAL MIROSŁAW PRYC, WALDEMAR PRYC SP.
NEMESIS II ARTUR RYCHLIŃSKI 94-032 ŁÓDŹ, UL.
SPRZEDAŻ DETALICZNA OWOCÓW I WARZYW
MAGICZNA SP. Z O.O. SP. KOMANDYTOWA
WASIAK SŁAWOMIR
PRZEDSIĘBIORSTWO ROBÓT MOSTOWYCH
ZAKŁAD DZIEWIARSKO-KONFEKCYJNY KAYA S C
SPÓŁDZIELNIA MIESZKANIOWA
TOMASZ SZYMAŃSKI
YOSHI PHU ANETA JACHIMOWSKA
JASTAN FIRMA HANDLOWA
JOANNA SOPIŃSKA
ŚNIEĆ
"SPOŁEM" ŁÓDZKA SPÓŁDZIELNIA SPOŻYWCÓW
BALONOWA
39
BALONOWA
390C
BALONOWA
39C
BALONOWA
39C
BALONOWA
39C
komumnalne i surowce
BARSKA
15A
BATALIONÓW CHŁOPSKICH
14
BATALIONÓW CHŁOPSKICH
21
BATALIONÓW CHŁOPSKICH
4
BATALIONÓW CHŁOPSKICH
4
BATALIONÓW CHŁOPSKICH
4, 2
BATALIONÓW CHŁOPSKICH
6/8
BATALIONÓW CHŁOPSKICH
7
BIEGUNOWA
1/3
BOBOWA
11
BOKSERSKA
4
BOLESŁAWA ŚMIAŁEGO KRÓLA
31
BOROWA
1A
BOROWA
1B
BRATYSŁAWSKA
10 A
BRATYSŁAWSKA
109
BRATYSŁAWSKA
10A
BRATYSŁAWSKA
10A
BRATYSŁAWSKA
10A/055
BRATYSŁAWSKA
10A/BAR
BRATYSŁAWSKA
12/61
BRATYSŁAWSKA
19 A/SKLKEP PAP
BRATYSŁAWSKA
2
BRATYSŁAWSKA
2/2A
BRATYSŁAWSKA
23
BRATYSŁAWSKA
2A
BRATYSŁAWSKA
2A
BRATYSŁAWSKA
2A
BRATYSŁAWSKA
3D
BRATYSŁAWSKA
5
BRATYSŁAWSKA
5
BRATYSŁAWSKA
52
BRATYSŁAWSKA
61
BRATYSŁAWSKA
6A I 8A
BRATYSŁAWSKA
8
Strona 4
BRATYSŁAWSKA
8
BRATYSŁAWSKA
8A
BRATYSŁAWSKA
8 A/2
BRATYSŁAWSKA
8 A/2
BRATYSŁAWSKA
8A
x
x
x
x
x
x
x
x
x
x
x
x
x
x
x
x
x
x
x
x
x
x
x
x
x
x
x
x
x
x
x
x
x
x
x
x
x
x
x
x
x
x
x
x
x
x
x
x
x
x
x
x
x
x
x
x
x
x
x
x
x
x
x
x
x
x
x
x
x
x
x
x
x
x
x
x
x
x
x
x
x
x
x
x
x
x
x
x
x
x
x
x
x
x
x
x
x
x
x
x
x
x
x
x
x
x
x
x
x
x
x
x
x
x
x
x
x
x
x
x
x
x
x
x
x
x
x
x
x
x
x
x
IRENA ZĄBEK
JADWIGA KOMAN
STANISŁAW PIETRZAK
ANDRZEJ JABŁOŃSKI
GRAŻYNA PACHOLSKA
komumnalne i surowce
WSPÓLNOTA MIESZKANIOWA CELNA 6
WSPÓLNOTA MIESZKANIOWA NIERUCHOMOŚCI
RADOSŁAW MORYŃ
ZESPÓŁ OPIEKI ZDROWOTNEJ
TELEWIZJA POLSKA S.A. Z SIEDZIBĄ W
MAŁGORZATA KAŁUŻA
KOMENDA WOJEWÓDZKA POLICJI W ŁODZI, UL.
KOMENDA MIEJSKA
DANUTA KOPKA
P.W. TELENERG-BIS
"INPO" P.P.U.
KATARZYNA CHABIN
KUBIMEX
B&P REAL ESTATE SP. Z O.O.
WSPÓLNOTA MIESZKANIOWA UL.PRÓCHNIKA 37
ZAKŁAD DOSKONALENIA ZAWODOWEGO W
MEDICAL CENTRE MED OF ŁÓDŹ SP. Z O.O.
INTERLOKUM ZARZĄDZANIE I ADMINISTROWANIE
NAPIERALSKI
"RUCH" SPÓŁKA AKCYJNA
ADMINISTRACJA NIERUCHOMOŚCIAMI ŁÓDŹ CIESIELSKI
KRYSTYNA SICIŃSKA-LALMI
POLSKI ZWIĄZEK DZIAŁKOWCÓW RODZINNY
PGE DYSTRYBUCJA SA Z
DOM DZIECKA DLA MAŁYCH DZIECI
"ALLPOL" SP.Z.O.O.
CARS-TECH RADOSŁAW LEWANDOWSKI,
DALTEX FARBH. DALEWSKA G. CHWALEWSKI
KRYSTYNA GRYGLAS
AGRO-TRANS SP Z O.O
CWS-BOCO POLSKA SP.ZO.O
EGEO POLSKA MARLENA KOSTRZEWSKA
"MIKOMAX SPÓŁKA Z OGRANICZONĄ
RING & LEIBROCK POLSKA SP.Z.O.O.
ZAKŁADY URZĄDZEN ELEKTRYCZNYCH ZELTECH
WISZOWATY
VEBA PHU
ZAKŁAD BUDOWNICTWA OGÓLNEGO JAN I
T PROJECT SP ZOO
BRATYSŁAWSKA
BRATYSŁAWSKA
BRATYSŁAWSKA
BRONOWA
BRUSKA
komumnalne i surowce
CELNA
CMENTARNA
CMENTARNA
CMENTARNA
CMENTARNA
CYPRIANA KAMILA NORWIDA
CYPRIANA KAMILA NORWIDA
CZOŁGISTÓW
DOLINNA
DOLINNA
DOLINNA
DR ADAMA PRÓCHNIKA
DR ADAMA PRÓCHNIKA
DR ADAMA PRÓCHNIKA
DR ADAMA PRÓCHNIKA
DR ADAMA PRÓCHNIKA
DR ADAMA PRÓCHNIKA
DR ADAMA PRÓCHNIKA
DR ADAMA PRÓCHNIKA
DR NORBERTA BARLICKIEGO
DR NORBERTA BARLICKIEGO
DREWNOWSKA
DREWNOWSKA
DREWNOWSKA
DREWNOWSKA
DRUŻYNOWA
ELEKTRONOWA
ELEKTRONOWA
ELEKTRONOWA
ELEKTRONOWA
ELEKTRONOWA
ELEKTRONOWA
ELEKTRONOWA
ELEKTRONOWA
ELEKTRONOWA
Strona 5
ELEKTRONOWA
ELEKTRONOWA
ELEKTRONOWA
ELEKTRONOWA
ELEKTRONOWA
8A
8A
8A
2
40
6
1
10A
10A
9/11
15
18
66
21
27
31
20/1,2,3
20/1,2,3
28
37
42
43
46
50
5/PSD768051
9
102
102
191/193
81
3/5
1/3
1/3
1/3
1/3
10/12
16
18
4
5
6
7B
8
8
8/P-36
x
x
x
x
x
x
x
x
x
x
x
x
x
x
x
x
x
x
x
x
x
x
x
x
x
x
x
x
x
x
x
x
x
x
x
x
x
x
x
x
x
x
x
x
x
x
x
x
x
x
x
x
x
x
x
x
x
x
x
x
x
x
x
x
x
x
x
x
x
x
x
x
x
x
x
x
x
x
x
x
x
x
x
x
x
x
x
x
x
x
x
x
"EKOTRRANSIT" SPÓŁKA Z OGRANICZONĄ
AGA AGNIESZKA DOROŻYŃSKA
"ADAN" S.C. KONRAD ZIELENIEWICZ
"SPOŁEM" ŁÓDZKA SPÓŁDZIELNIA SPOŻYWCÓW
APTEKA ARNIKA MAREK KRAJEWSKI
komumnalne i surowce
BARTOSZ WOCH
P.P.H.U. "MARIA" WOCH MARIA
SPÓŁDZIELNIA MIESZKANIOWA
WIŚNIOWSKI
ZAKŁAD USŁUGOWO HANDLOWY NORBERCIAK
DARIUSZ ADYNOWSKI KIOSK WARZYWNY
XVIII LICEUM OGÓLNOKSZTAŁCĄCEIM. JĘDRZEJA
ADMINISTRACJA NIERUCHOMOŚCIAMI
STRĄKOWSKA
"SPOŁEM" ŁÓDZKA SPÓŁDZIELNIA SPOŻYWCÓW
ZARZĄD WSPÓLNOTY MIESZKANIOWEJ UL.
SPÓŁDZIELNA SOCJALNA PIĄTY KOLOR
JERONIMO MARTINS POLSKA SPÓŁKA AKCYJNA
SZKOŁA PODSTAWOWA NR 137 IM.ALEKSANDRA
OPAKISM S.C. B. SIEKIERZYNSKI M.
BOGUSŁAW PIOTROWSKI
J.B. CONSULTING BOGDAN JACHOWICZ
KATARZYNA KOSERSKA-HORDEN
POGOTOWIE OPIEKUŃCZE NR 1
WOJEWÓDZKA BIBLOTEKA PUBLICZNA
ADMINISTRACJA NIERUCHOMOŚCIAMI ŁÓDŹ UNIWERSYTET ŁÓDZKI
ADMINISTRACJA NIERUCHOMOŚCIAMI ŁÓDŹ BIPROLAS BIURO STUDIÓW I PROJEKTÓW
INSTYTUT WŁÓKNIENNICTWA
INTERKOBO PROPERTY SP ZOO SP.K. SPÓŁKA
BORO-MAX ENTERPRISE S.C. ANDRZEJ MIAZEK,
WALDEMAR RYBAK
MUZEUM TRADYCJI NIEPODLEGŁOŚCIOWYCH W
ACTIVE BODY ŁUKASZ DANIECKI
WOJSKOWA DRUKARNIA W ŁODZI SP.Z.O.O.
GRZYBOWSKI
UNIQA TOWARZYSTWO UBEZPIECZEŃ SPÓŁKA
"AGA" ANNA I JERZY GABRYSIAK SP. JAWNA
WSPÓLNOTA MIESZKANIOWA
ADMINISTRACJA NIERUCHOMOŚCIAMI ŁÓDŹ LIDER SERWIS ZBIGNIEW RASZKA
ADMINISTRACJA NIERUCHOMOŚCIAMI ŁÓDŹ KSEROSERWIS-POLIGRAFIA MICHALSKA ANNA
KUCHARSKI
ELEKTRONOWA
EUGENIUSZA LOKAJSKIEGO
FALISTA
FALISTA
FALISTA
komumnalne i surowce
FALISTA
FALISTA
FALISTA
FALISTA
FALISTA
FELIKSA PERLA
FELIKSA PERLA
FELIKSA PERLA
FELIKSA PERLA
FELIKSA PERLA
FELIKSA PERLA
FIZYLIERÓW
FLORECISTÓW
FLORECISTÓW
FLORIAŃSKA
GARNIZONOWA
GARNIZONOWA
GARNIZONOWA
GAZOWA
GDAŃSKA
GDAŃSKA
GDAŃSKA
GDAŃSKA
GDAŃSKA
GDAŃSKA
GDAŃSKA
GDAŃSKA
GDAŃSKA
GDAŃSKA
GDAŃSKA
GDAŃSKA
GDAŃSKA
GDAŃSKA
GDAŃSKA
GDAŃSKA
Strona 6
GDAŃSKA
GDAŃSKA
GDAŃSKA
GDAŃSKA
GDAŃSKA
8A
2
162
162
162
162
162
162
162
172
0/3/5
11
2
2
3
5
3
1
3B
19
32
34/36
8
8
100/102
101
107
108
112
118
127
129
129
13
130
130
131/133
132
136
143
144
145
148
149
149
x
x
x
x
x
x
x
x
x
x
x
x
x
x
x
x
x
x
x
x
x
x
x
x
x
x
x
x
x
x
x
x
x
x
x
x
x
x
x
x
x
x
x
x
x
x
x
x
x
x
x
x
x
x
x
x
x
x
x
x
x
x
x
x
x
x
x
x
x
x
x
x
x
x
x
x
x
x
x
x
x
x
x
x
x
x
x
x
x
x
x
x
x
x
x
x
x
x
x
x
x
x
x
x
x
x
x
x
x
x
x
x
x
x
x
x
x
x
x
x
x
x
x
x
x
x
ADMINISTRACJA NIERUCHOMOSCIAMI ŁÓDŹZARZĄDCA SĄDOWY MAREK JERMAK
WSPÓLNOTA MIESZKANIOWA GDAŃSKA 150
ADMINISTRACJA NIERUCHOMOŚCIAMI ŁÓDŹ SZKOLNE CENTRUM PROFILAKTYCZNO
komumnalne i surowce
WSPOLNOTA MIESZKANIOWA UL. GDAŃSKA 15
PRZEDSZKOLE MIEJSKIE NR 41
SEBASTIAN WRÓBEL
WSPÓLNOTA MIESZKANIOWA UL. GDAŃSKA 23
OLKIEWICZ
ADMINISTRACJA NIERUCHOMOSCIAMI ŁÓDŹRYSZARD SZKUDLAREK
ADMINISTRACJA NIERUCHOMOSCIAMI ŁÓDŹAKADEMIA MUZYCZNA IM. GRAŻYNY I KIEJSTUTA
WOJEWÓDZKI INSPEKTORAT
ADMINISTRACJA NIERUCHOMOSCIAMI ŁÓDŹABATUS SPÓŁKA Z OGRANICZONĄ
ANITA CHRZANOWSKA
ADMINISTRACJA NIERUCHOMOŚCIAMI ŁÓDŹ RENATA FRĄCZKIEWICZ
E-RES SP.Z O.O.
ADMINISTRACJA NIERUCHOMOŚCIAMI ŁÓDŹ ZBIGNIEW KRUSZYŃSKI
ADMINISTRACJA NIERUCHOMOŚCIAMI ŁÓDŹ "PATRONUS" SPÓŁKA CYWILNA
MIROSŁAW FOCHTMAN
JUSTYNA CIECIERSKA
ŁÓDZKIE ZRZESZENIE WŁAŚCICIELI I
ADMINISTRACJA NIERUCHOMOŚCIAMI ŁÓDŹ ŁÓDZKI URZĄD WOJEWÓDZKI W ŁODZI
ADMINISTRACJA NIERUCHOMOŚCIAMI ŁÓDŹ WSPÓLNOTA MIESZKANIOWA UL GDAŃSKA 77A
CZERNIAK
STANISŁAW KORZENIOWSKI
FRASZYŃSKI
E-RES SP.Z O.O.
TESCO POLSKA SP. Z O.O.
POL-PARK ELŻBIETA ŻABICKA
ZESPÓŁ OPIEKI ZDROWOTNEJ
PRZEDSZKOLE MIEJSKIE NR.208
ADMINISTRACJA NIERUCHOMOŚCIAMI ŁÓDŹ ADMINISTRACJA NIERUCHOMOŚCIAMI ŁÓDŹ P.P.H.U BETINEX BEATA TOMASZEWSKA 90-613
"PATRONUS" S.C. JANUSZ SIEDLECKI, JACEK
MILECKI
GDAŃSKA
GDAŃSKA
GDAŃSKA
GDAŃSKA
GDAŃSKA
komumnalne i surowce
GDAŃSKA
GDAŃSKA
GDAŃSKA
GDAŃSKA
GDAŃSKA
GDAŃSKA
GDAŃSKA
GDAŃSKA
GDAŃSKA
GDAŃSKA
GDAŃSKA
GDAŃSKA
GDAŃSKA
GDAŃSKA
GDAŃSKA
GDAŃSKA
GDAŃSKA
GDAŃSKA
GDAŃSKA
GDAŃSKA
GDAŃSKA
GDAŃSKA
GDAŃSKA
GDAŃSKA
GDAŃSKA
GDAŃSKA
GDAŃSKA
GDAŃSKA
GDAŃSKA
GDAŃSKA
GDAŃSKA
GDAŃSKA
GDAŃSKA
GDAŃSKA
GDAŃSKA
Strona 7
GDAŃSKA
GDAŃSKA
GDAŃSKA
GDAŃSKA
GEN. IGNACEGO PRĄDZYŃSKIEGO
15
15/35
150
154
156
15FRONT
17/19
23
23
23/3/4
25
27
29
32
38
3A
40
40/2U
46/1U
47/49
54
57
57 A
62
64
65
65A
67
7
73
77
77A
79
79
80
81
81
83
83
84
85
87
91/93
95
105
x
x
x
x
x
x
x
x
x
x
x
x
x
x
x
x
x
x
x
x
x
x
x
x
x
x
x
x
x
x
x
x
x
x
x
x
x
x
x
x
x
x
x
x
x
x
x
x
x
x
x
x
x
x
x
x
x
x
x
x
x
x
x
x
x
x
x
x
x
x
x
x
x
x
x
x
x
x
x
x
x
x
x
x
x
x
x
x
x
x
x
x
x
x
x
x
x
x
x
x
x
x
x
x
x
x
x
x
x
x
x
x
x
x
x
x
x
x
x
x
x
x
x
x
x
x
x
x
BEAIHAWAJE
PPHU "MARKOCH' MARZENA KOCHAN
ABAK JAKUB PRZYBYLSKI CIECIE LAMÓWKI
BURAN SP. Z.O.O.
"SPOŁEM" ŁÓDZKA SPÓŁDZIELNIA SPOŻYWCÓW
komumnalne i surowce
UNIWERSYTET MEDYCZNY W ŁODZI
AGNIESZKA FIJALKOWSKA
WSPÓLNOTA MIESZKANIOWA NIERUCHOMOŚCI
WSPÓLNOTA MIESZKANIOWA NIERUCHOMOŚCI
SPÓŁDZIELNIA HANDLOWO-USŁUGOWA
TRADE-STOMIL SPÓŁKA Z O.O.
TRAX SP. Z.O.O.
PPHU ADLER
ADMINISTRACJA NIERUCHOMOŚCIAMI ŁÓDŹ UNIWERSYTET MEDYCZNY W ŁODZI
POLSKA AGENCJA ŻEGLUGI POWIETRZNEJ
PORT LOTNICZY ŁÓDŹ
AEROKLUB ŁÓDZKI
SAMODZIELNY PUBLICZNY ZAKŁAD OPIEKI
"DANPOL" CENTRUM SPRZEDAŻY AUTOMATYKI
MORDAL
MADO S.C. K.JAGNIĄTKOWSKI, P.STEFANIAK
DELIKATESY FRAJDA S.C.
INVESTOR ZASPA ŁABĘDZKI SPÓŁKA
TUBES INTERNATIONAL SP.ZOO
ADMINISTRACJA NIERUCHOMOŚCIAMI ŁÓDŹANNA KOPER
KIOSK HANDLOWY
SKLEP SPOŻYWCZY
PRZEDSZKOLE MIEJSKIE NR 12
"ARDEKS" SPÓŁKA JAWNA W. FORTECKI I S-KA
SPÓŁDZIELNIA MIESZKANIOWA ZAGRODNIKI
MIEJSKI ZESPÓŁ ŻŁOBKÓW
PRZEDSIĘBIORSTWO PRODUKCYJNO
SZADEK DARIUSZ SZADKOWSKI
SPÓŁDZIELNIA MIESZKANIOWA "SYMPATYCZNA"
SPÓŁDZIELNIA MIESZKANIOWA "SYMPATYCZNA"
SPÓŁDZIELNIA MIESZKANIOWA "SYMPATYCZNA"
PRZEDSIĘBIORSTWO PRODUKCYJNO
JADWIGA KWAPIŚ
KOZŁOWSKA
PRZEDSZKOLE MIEJSKIE NR 165
SZKOŁA PODSTAWOWA NR 11 IM. MARII
EKODENT - X OGIŃSKI S.J.
BIOMOL-MED SP. Z O.O.94-412 ŁÓDŹ,HUTA
GEN. IGNACEGO PRĄDZYŃSKIEGO
GEN. JÓZEFA CHŁOPICKIEGO
GEN. JÓZEFA CHŁOPICKIEGO
GEN. JÓZEFA CHŁOPICKIEGO
GEN. JÓZEFA CHŁOPICKIEGO
komumnalne i surowce
GEN. JÓZEFA HALLERA
GEN. JÓZEFA SUŁKOWSKIEGO
GEN. LUCJANA ŻELIGOWSKIEGO
GEN. LUCJANA ŻELIGOWSKIEGO
GEN. LUCJANA ŻELIGOWSKIEGO
GEN. LUCJANA ŻELIGOWSKIEGO
GEN. LUCJANA ŻELIGOWSKIEGO
GEN. LUCJANA ŻELIGOWSKIEGO
GEN. LUCJANA ŻELIGOWSKIEGO
GEN. LUCJANA ŻELIGOWSKIEGO
GENERAŁA STANISŁAWA MACZKA
GENERAŁA STANISŁAWA MACZKA
GENERAŁA STANISŁAWA MACZKA
GENERAŁA STANISŁAWA MACZKA
GIMNASTYCZNA
GIMNASTYCZNA
GIMNASTYCZNA
GIMNASTYCZNA
GIMNASTYCZNA
GIMNASTYCZNA
GÓRNA
GROCHOWA
GRZYBOWA
GRZYBOWA
GUSTAWA DANIŁOWSKIEGO
HELENY MARUSARZÓWNY
HELENY MARUSARZÓWNY
HELENY MARUSARZÓWNY
HETMANA KAROLA CHODKIEWICZA
HETMANA KAROLA CHODKIEWICZA
HUBALA
HUBALA
HUBALA
HUBALA
HUFCOWA
Strona 8
HUFCOWA
HUFCOWA
HUFCOWA
HUTA JAGODNICA
HUTA JAGODNICA
7
28
40/2
49
50
1
36A
20
22/24
32/34
35/37
36
46
58
7/9
35
35
36
36 C
1
1
126
126A
131
3
2
19A/1
2
2
2
2
2
9
17
21
1/3
2, 4, 6
5/7
6A
1
12
14
20A
20
41
x
x
x
x
x
x
x
x
x
x
x
x
x
x
x
x
x
x
x
x
x
x
x
x
x
x
x
x
x
x
x
x
x
x
x
x
x
x
x
x
x
x
x
x
x
x
x
x
x
x
x
x
x
x
x
x
x
x
x
x
x
x
x
x
x
x
x
x
x
x
x
x
x
x
x
x
x
x
x
x
x
x
x
x
x
x
x
x
x
x
x
x
x
x
x
x
x
x
x
x
x
x
x
ZOFIA LENTAS
DARIUSZ KOSIERKIEWICZ
WIECZOREK AUTO - POMOC 24 H
ROBERT LACHOWSKI
KONRAD GRODZIŃSKI
komumnalne i surowce
GHOUSE ŁUGOWSKA WSPÓLNICY SP.J.
TOWARZYSTWO OŚWIATOWE "EDUKACJA"
HENRYK KOZŁOWSKI
WŁODZIMIERZ JEZIOREK
MORETTI
PKP SA ODDZIAŁ GOSPODAROWANIA
"HABENDA" S.C. MONIKA MACIAK,PIOTR MACIAK
APSYS MANAGEMENT SP.Z O.O. O/ŁÓDŹ
DECATHLON SP. Z.O.O
PKP SA ODDZIAŁ GOSPODAROWANIA
FORMUŁA MAŁGORZATA POTOCKA
BP SERVICE CENTER BARBARA KOBRYŃ,
POLSKI KONCERN NAFTOWY "ORLEN" SA
POLSKI ZWIĄZEK DZIAŁKOWCÓW RODZINNY
WŁODZIMIERZ KORKOSIŃSKI
JANINA KRAWCZYK
KATARZYNA PAWLIKOWSKA
ADMINISTRACJA NIERUCHOMOŚCIAMI
POLSKI ZWIĄZEK DZIAŁKOWCÓW ZARZĄD
SZKOŁA PODSTAWOWA NR. 6
SZKOŁA PODSTAWOWA NR.44
SZKOŁA PODSTAWOWA NR. 6
XXXIII LICEUM OGÓLNOKSZTAŁCĄCE IM. ARMII
BIENIAS
PRZEDSZKOLE MIEJSKIE NR 174
SPÓŁDZIELNIA MIESZKANIOWA RETKINIAMAJER S.C.ANDRZEJ SZER,EUGENIUSZ
POLSKI KONCERN NAFTOWY "ORLEN" SA
JOANNA JUST
SPÓŁDZIELNIA MIESZKANIOWA ,,PIASKI"
SZAFOR ROBERT STĘPIEŃ
P.P.H.U. D& D SPÓŁKA JAWNA
PPHU JANUSZ SPORYSIAK, 94-004 ŁÓDŹ, UL.
POLSKI ZWIĄZEK DZIAŁKOWCÓW
ARTMED SPÓŁKA CYWILNA IZABELA DUBIAK,
ESKULAP SPÓŁKA CYWILNA EDYTA PANKOWSKAPHU SERSO S.C.SZLACHETKO W.KUBIK J.
MONIKA RUTKOWSKA
PUB "PODLASIE" ANNA GŁOSKOWSKA
ZARZECZNY
HUTA JAGODNICA
IM. ANDRZEJA STRUGA
INOWROCŁAWSKA
INŻYNIERSKA
INŻYNIERSKA
komumnalne i surowce
INŻYNIERSKA
INŻYNIERSKA
JAGODNICA
JAGODNICA
JAGODNICA
JANA PAWŁA II
JANA PAWŁA II
JANA PAWŁA II
JANA PAWŁA II
JANA PAWŁA II
JANA PAWŁA II
JANA PAWŁA II
JANA PAWŁA II
JANA PAWŁA II
JANA PIETRUSIŃSKIEGO
JANA PIETRUSIŃSKIEGO
JANA PIETRUSIŃSKIEGO
JANA PIETRUSIŃSKIEGO
JANUSZA KUSOCIŃSKIEGO
JANUSZA KUSOCIŃSKIEGO
JANUSZA KUSOCIŃSKIEGO
JANUSZA KUSOCIŃSKIEGO
JANUSZA KUSOCIŃSKIEGO
JANUSZA KUSOCIŃSKIEGO
JANUSZA KUSOCIŃSKIEGO
JANUSZA KUSOCIŃSKIEGO
JANUSZA KUSOCIŃSKIEGO
JANUSZA KUSOCIŃSKIEGO
JANUSZA KUSOCIŃSKIEGO
JANUSZA KUSOCIŃSKIEGO
JANUSZA KUSOCIŃSKIEGO
JANUSZA KUSOCIŃSKIEGO
JANUSZA KUSOCIŃSKIEGO
JANUSZA KUSOCIŃSKIEGO
JANUSZA KUSOCIŃSKIEGO
Strona 9
JANUSZA KUSOCIŃSKIEGO
JANUSZA KUSOCIŃSKIEGO
JANUSZA KUSOCIŃSKIEGO
JANUSZA KUSOCIŃSKIEGO
JANUSZA KUSOCIŃSKIEGO
72
34/PAWILON 2
72
1/3
11
15
2/4
19
20
46
15
19
30
30
33/35
35A/1
36
76
91
15
43
47/49
52
1
100
100
116
116
120
122A
134
141
141
29/2A
3
40
5
59
61
61
61
65
65/PAW.5
67/9
x
x
x
x
x
x
x
x
x
x
x
x
x
x
x
x
x
x
x
x
x
x
x
x
x
x
x
x
x
x
x
x
x
x
x
x
x
x
x
x
x
x
x
x
x
x
x
x
x
x
x
x
x
x
x
x
x
x
x
x
x
x
x
x
x
x
x
x
x
x
x
x
x
x
x
x
x
x
x
x
x
x
x
x
x
x
x
x
x
x
x
x
x
x
x
x
x
x
x
x
x
x
x
x
x
x
ANNA OLAK "DWIE DŁONIE"
BARBARA CYNIAK
BARBARA RUBIŃSKA-SZEJDA
SABINA DUDKA
MASTER EWA PIASECKA, ANNA ZALEWSKA
komumnalne i surowce
ZAKŁAD MECHANIKI POJAZDOWEJ TOMASZ
USŁUGI MOTORYZACYJNE EURO-CAR KRYSTYNA
KONRAD BIELSKI
EWA STOLARCZYK
ADMINISTRACJA NIERUCHOMOŚCIAMI ŁÓDŹ HERA MODA STUDIO WIDLIŃSCY SPÓŁKA JAWNA
WŁADYSŁAW WIDLIŃSKI
ŁÓDZKIE STOWARZYSZENIE OŚWIATOWE W
CECH RZEMIOSŁ METALOWYCH OPTYCZNYCH I
ADMINISTRACJA NIERUCHOMOŚCIAMI ŁÓDŹ ADMINISTRACJA NIERUCHOMOŚCIAMI ŁÓDŹ ZESPÓŁ SZKÓŁ SPECJALNYCH NR 2 W ŁODZI
KANCELARIA ADWOKACKA
PKP POLSKIE LINIE KOLEJOWE S,A, ZAKLAD LINII
PKP SA ODDZIAŁ GOSPODAROWANIA
SŁAWOMIR DOBOSZ
AQUA MARCIN MAŁECKI
MIEJSKI ZESPÓŁ ŻŁOBKÓW
BHS CORRUGATED POLAND SP Z O.O. ŁÓDŹ UL.
TROJAK
POLSKI ZWIĄZEK DZIAŁKOWCÓW ZARZĄD
'MOTO-TOM' SP.Z.O.O.
WIESŁAWA KRYSIAK-WOCH
BARBARA NOWAK
ADMINISTRACJA NIERUCHOMOSCIAMI ŁÓDŹEUGENE
BELLUSSI GROUP SPÓŁKA Z O.O.
PERFEKT- HAFT PPHU
PRZEDSIĘBIORSTWO "JANUS"S.A
PRZEDSIĘBIORSTWO HANDLOWO-USŁUGOWE
ADMINISTRACJA NIERUCHOMOSCIAMI ŁÓDŹWACŁAW GAWIN
1. PIOTR DĄBSKI
ZARZĄD ZIELENI MIEJSKIEJ
PKP POLSKIE LINIE KOLEJOWE S,A, ZAKLAD LINII
BARBARA NOWAK
BARBARA MEJER
RAFAŁ PIETRZKO
NOWAK
PUBLICZNE GIMNAZJUM NR 25 W ŁODZI
JANUSZA KUSOCIŃSKIEGO
JANUSZA KUSOCIŃSKIEGO
JANUSZA KUSOCIŃSKIEGO
JANUSZA KUSOCIŃSKIEGO
JARZYNOWA
komumnalne i surowce
JARZYNOWA
JARZYNOWA
JERZEGO MICHAŁOWICZA
JERZEGO MICHAŁOWICZA
JOANNY ŻUBROWEJ
JOANNY ŻUBROWEJ
JOANNY ŻUBROWEJ
JÓZEFA BABICKIEGO
KAROLEWSKA
KAROLEWSKA
KAROLEWSKA
KAROLEWSKA
KAROLEWSKA
KAROLEWSKA
KAROLEWSKA
KAROLEWSKA
KAROLEWSKA
KAROLEWSKA
KOLARSKA
KOMANDORSKA
KONSTANTYNOWSKA
KONSTANTYNOWSKA
KONSTANTYNOWSKA
KONSTANTYNOWSKA
KONSTANTYNOWSKA
KONSTANTYNOWSKA
KONSTANTYNOWSKA
KONSTANTYNOWSKA
KONSTANTYNOWSKA
KONSTANTYNOWSKA
KONSTANTYNOWSKA
KONSTANTYNOWSKA
KONSTANTYNOWSKA
KONSTANTYNOWSKA
KONSTANTYNOWSKA
Strona 10
KONSTYTUCYJNA
KOSTKI-NAPIERSKIEGO
KOSTKI-NAPIERSKIEGO
KOSTKI-NAPIERSKIEGO
KPT PILOTA FRANCISZKA ŻWIRKI
70A
76
76/B
76C
50
50A
52
15
46
19
20
20
15
1
11
25
30/34
5
55
55
55
55 A
70/76
11
5
100
121
137
24/26
3/5
3/5
34
34
34
34
35
41
44A
8/10
24/26
1
1
2
11/13
x
x
x
x
x
x
x
x
x
x
x
x
x
x
x
x
x
x
x
x
x
x
x
x
x
x
x
x
x
x
x
x
x
x
x
x
x
x
x
x
x
x
x
x
x
x
x
x
x
x
x
x
x
x
x
x
x
x
x
x
x
x
x
x
x
x
x
x
x
x
x
x
x
x
x
x
x
x
x
x
x
x
x
x
x
x
x
x
x
x
x
x
x
x
x
SZKOŁA PODSTAWOWA NR 46 IM. J.
BUDO-PRIMA MACIEJ KAPŁONIAK
ADMINISTRACJA NIERUCHOMOŚCIAMI ŁÓDŹ WSPÓLNOTA MIESZKANIOWA ŻWIRKI 24
ADMINISTRACJA NIERUCHOMOŚCIAMI ŁÓDŹ komumnalne i surowce
ADMINISTRACJA NIERUCHOMOŚCIAMI ŁÓDŹ OKRĘGOWE PRZEDSIĘBIORSTWO GEODEZYJNOADMINISTRACJA NIERUCHOMOŚCIAMI ŁÓDŹ ADMINISTRACJA NIERUCHOMOŚCIAMI ŁÓDŹ SZKOŁA PODSTAWOWA NR 26 IM. ARMII "ŁÓDŹ"
JOLANTA GRZEJSZCZAK
"EL-PROBUD"
ANITA CHRZANOWSKA
ADMINISTRACJA NIERUCHOMOŚCIAMI ŁÓDŹ PUBLICZNE GIMNAZJUM NR 27 W ŁODZI
ANITA CHRZANOWSKA
VITAGEN-BIS P.H.U.HAFT
SABA PIELĘGNACJA I STRZYŻENIE PSÓW
"ZABŁOCKI-MOTOZBYT" SP. Z O.O. SALON
ZAKŁAD USŁUG CIEPŁOWNICZYCH TERMOKON
ZBIGNIEW OLCZYK PIOTR KLEPACZAREK
TOP-NAR NARZĘDZIA PROFESJONALNE L. ŁĘCKAEXCOR SP. Z.O.O.
PRZEDSIĘBIORSTWO WIELOBRANŻOWE POPLUCKY STAR POLSKA SP Z O.O
ADMINISTRACJA NIERUCHOMOŚCIAMI ŁÓDŹ ADMINISTRACJA NIERUCHOMOŚCIAMI ŁÓDŹ PRZEDSZKOLE MIEJSKIE 56
ANDRZEJ RADEK
ELESTER-PKP SPÓŁKA Z OGRANICZONĄ
ADMINISTRACJA NIERUCHOMOŚCIAMI ŁÓDŹ ZBÓR KOŚCIOŁA CHRZEŚCIJAN BAPTYSTÓW UL.
POLSKI ZWIĄZEK DZIAŁKOWCÓW ROD IM
ARCH-TECH SPÓŁKA Z OGRANICZONĄ
ZBAR PHU MARIUSZ POPENDA
MILCZARZEWICZ
TAMARA SADOWSKA
PAWEŁ WACHOWIAK
S.H.U IMPAX M.STĘPNIAK, G.BORUCKI, D.
JOLANTA WIECOREK
WIECZOREK
F.H JĘDREK
MAGDALENA PAWŁOWSKA
JACEK OCHOCIŃSKI
POLSKI ZWIĄZEK DZIAŁKOWCÓW
KPT PILOTA FRANCISZKA ŻWIRKI
KPT PILOTA FRANCISZKA ŻWIRKI
KPT PILOTA FRANCISZKA ŻWIRKI
KPT PILOTA FRANCISZKA ŻWIRKI
KPT PILOTA FRANCISZKA ŻWIRKI
komumnalne i surowce
KPT PILOTA FRANCISZKA ŻWIRKI
KPT. STEFANA POGONOWSKIEGO
KPT. STEFANA POGONOWSKIEGO
KPT. STEFANA POGONOWSKIEGO
KPT. STEFANA POGONOWSKIEGO
KPT. STEFANA POGONOWSKIEGO
KPT. STEFANA POGONOWSKIEGO
KPT. STEFANA POGONOWSKIEGO
KPT. STEFANA POGONOWSKIEGO
KPT. STEFANA POGONOWSKIEGO
KPT. STEFANA POGONOWSKIEGO
KPT. STEFANA POGONOWSKIEGO
KPT. STEFANA POGONOWSKIEGO
KPT. STEFANA POGONOWSKIEGO
KPT. STEFANA POGONOWSKIEGO
KPT. STEFANA POGONOWSKIEGO
KPT. STEFANA POGONOWSKIEGO
KPT. STEFANA POGONOWSKIEGO
KPT. STEFANA POGONOWSKIEGO
KPT. STEFANA POGONOWSKIEGO
KPT. STEFANA POGONOWSKIEGO
KPT. STEFANA POGONOWSKIEGO
KPT. STEFANA POGONOWSKIEGO
KPT. STEFANA POGONOWSKIEGO
KPT. STEFANA POGONOWSKIEGO
KPT. STEFANA POGONOWSKIEGO
KPT. STEFANA POGONOWSKIEGO
KRAKOWSKA
KRAKOWSKA
KRAKOWSKA
KRAKOWSKA
KRAKOWSKA
KRAKOWSKA
KRAKOWSKA
KRAKOWSKA
Strona 11
KRAKOWSKA
KRAŃCOWA
KRAŃCOWA
KRAŃCOWA
KRAŃCOWA
11/13
17
22
24
7
7A
18/20
19/1U
19/2U
27/29
3
30
32
32/1U
34
36/1U
39
47
5/7
5/7
5/7
51
53
53
56/58
68
69
71
73
81
83
90
100
110
60
64
82
88
88
90A
90a
51
51A
55
6
x
x
x
x
x
x
x
x
x
x
x
x
x
x
x
x
x
x
x
x
x
x
x
x
x
x
x
x
x
x
x
x
x
x
x
x
x
x
x
x
x
x
x
x
x
x
x
x
x
x
x
x
x
x
x
x
x
x
x
x
x
x
x
x
x
x
x
x
x
x
x
x
x
x
x
x
x
x
x
x
x
x
x
x
x
x
x
x
x
x
x
x
x
ZAKŁAD ELEKTRONIKI KWAZAR HENRYK
PRZEDSZKOLE MIEJSKIE NR 133
"FEMINA" STEFAN DERĘDOWSKI SP. J., 94-030
ALREC-IN STORE SP ZOO
NOWINOWSKI
komumnalne i surowce
SZKOŁA PODSTAWOWA NR 192 IM. HELENY
POLESKI OŚRODEK SZTUKI
URZĄD MIASTA ŁODZI
ZARZĄD ZIELENI MIEJSKIEJ
FUNDACJA NA RZECZ ROZWOJU SPOŁECZNEGO
JEZIORSKI
WSPÓLNOTA MIESZKANIOWA NIERUCHOMOŚCI
ADMINISTRACJA NIERUCHOMOŚCIAMI
ROBOTNICZA SPÓŁDZIELNIA MIESZKANIOWA
PIOTR KRAWCZYK
WSPÓLNOTA MIESZKANIOWA
PRZEDSZKOLE MIEJSKIE NR.74
ROBOTNICZA SPÓŁDZIELNIA MIESZKANIOWA
QBA SPÓŁKA Z.O.O. SP.K.
GLOBAL SP. Z O.O
ADMINISTRACJA NIERUCHOMOŚCIAMI
BOŻENA MICHALSKA
PRZEDSZKOLE MIEJSKIE NR 170
MIEJSKI OŚRODEK SPORTU I REKREACJI
POLSKI ZWIĄZEK DZIAŁKOWCÓW
"BART - GLASS"
ANDRZEJ ŻAK
KRZYSZTOF RAFALCZYK
ROM-CARS
ŻAK
APTEKA "POD WAGĄ " MGR FARM. EWA FREDA 9
POLSKI ZWIĄZEK DZIAŁKOWCÓW RODZINNY
RZYMSKOKATOLICKA PARAFIA NAJŚWIĘTSZEJ
MIEJSKI ZESPÓŁ ŻŁOBKÓW
EWA KAZIMIERSKA
TESCO POLSKA SP. Z O.O.
BEE-FEE SP. Z O.O.
TOMASZ OLEŚNY
PRZEDSZKOLE MIEJSKIE NR 55
LICEUM OGÓLNOKSZTAŁCĄCE LISOWSKA-MISIAK
MONIKA PALENICA
"DUET" SKLEP-PIZZERIA BOŻENA TRZCŃSKA,
MAGDALENA KOSIŃSKA
SPÓŁDZIELNIA MIESZKANIOWA POLESIE
SPÓŁDZIELNIA MIESZKANIOWA POLESIE
KRAŃCOWA
KRZEMIENIECKA
KRZEMIENIECKA
KRZEMIENIECKA
KRZEMIENIECKA
komumnalne i surowce
KRZEMIENIECKA
KRZEMIENIECKA
KRZEMIENIECKA
KRZEMIENIECKA
KRZYSZTOFA CEDRY
KS. JANA DŁUGOSZA
KS. JANA DŁUGOSZA
KS. JANA DŁUGOSZA
KS. JANA DŁUGOSZA
KS. JANA DŁUGOSZA
KS. JANA DŁUGOSZA
KS. JANA DŁUGOSZA
KS. JANA DŁUGOSZA
KS. JANA DŁUGOSZA
KS. JANA DŁUGOSZA
KS. JANA DŁUGOSZA
KS. JERZEGO POPIEŁUSZKI
KS. JERZEGO POPIEŁUSZKI
KS. JERZEGO POPIEŁUSZKI
KS. JERZEGO POPIEŁUSZKI
KS. JERZEGO POPIEŁUSZKI
KS. JERZEGO POPIEŁUSZKI
KS. JERZEGO POPIEŁUSZKI
KS. JERZEGO POPIEŁUSZKI
KS. JERZEGO POPIEŁUSZKI
KS. JERZEGO POPIEŁUSZKI
KS. JERZEGO POPIEŁUSZKI
KS. JERZEGO POPIEŁUSZKI
KS. KARDYNAŁA STEFANA
WYSZYŃSKIEGO
KS. KARDYNAŁA
STEFANA
WYSZYŃSKIEGO
KS. KARDYNAŁA
STEFANA
WYSZYŃSKIEGO
KS. KARDYNAŁA
STEFANA
WYSZYŃSKIEGO
KS. KARDYNAŁA STEFANA
WYSZYŃSKIEGO
KS. KARDYNAŁA
STEFANA
WYSZYŃSKIEGO
KS. KARDYNAŁA
STEFANA
WYSZYŃSKIEGO
KS. KARDYNAŁA STEFANA
Strona 12
WYSZYŃSKIEGO
KS. KARDYNAŁA
STEFANA
WYSZYŃSKIEGO
KS. KARDYNAŁA
STEFANA
WYSZYŃSKIEGO
KS. KARDYNAŁA STEFANA
WYSZYŃSKIEGO
KS. KARDYNAŁA
STEFANA
97
22
2
2
2
24A
2A
2B
36/38
2
15
21/23/LOKAL
22
27
28
28
28 A
29/31
39
55
7/9
1
13A
13B
2
21A
21A
21A
21A
21A
25
38
9
102
106
107
25
38
41
44
48
49A
5/52
61
63
x
x
x
x
x
x
x
x
x
x
x
x
x
x
x
x
x
x
x
x
x
x
x
x
x
x
x
x
x
x
x
x
x
x
x
x
x
x
x
x
x
x
x
x
x
x
x
x
x
x
x
x
x
x
x
x
x
x
x
x
x
x
x
x
x
x
x
x
x
x
x
x
x
x
x
x
x
x
x
x
x
x
x
x
x
x
x
x
x
x
x
x
x
x
x
x
x
x
x
x
x
x
x
x
x
x
x
x
x
x
x
x
x
x
x
x
x
x
x
x
x
x
x
x
x
x
x
x
x
x
x
x
x
x
x
x
x
x
x
x
x
SPÓŁDZIELNIA MIESZKANIOWA RETKINIAPAŁAC MŁODZIEŻY IM. JULIANA TUWIMA
BIURO UBEZPIECZEŃ "RONDO" PIOTR GAWIN
MŁODZIEŻOWY OŚRODEK SOCJOTERAPII NR 3
SZKOŁA PODSTAWOWA NR 40 IM. BOHATERÓW
komumnalne i surowce
OKRĘGOWA KOMISJA EGZAMINACYJNA W ŁODZI
MIEJSKA ARENA KULTURY I SPORTU
SPÓŁDZIELNIA MIESZKANIOWA "PIENISTA"
HSV-POLSKA SP.Z O.O.
P.P.H.BOGUSZ S.C. BOGUMIŁA I WIESŁAW
UNIPOL - PLUS
HANS BŁASCZYK
"RUCH" SPÓŁKA AKCYJNA
PRZEDSIĘBIORSTWO PRODUKCYJNOADMINISTRACJA NIERUCHOMOŚCIAMI ŁÓDŹ ARSEN SPÓŁKA Z OGRANICZONĄ
US AUTO S.C. STANISŁAW KUBICKI RAFAŁ
"ELECTRONICS BOX"
GMINNA SPÓŁDZIELNIA "SAMOPOMOC
BAU-POL J.NIEMCZYK J.NOWAK SP.J.
DORYŃ
MAREK PIASZCZYŃSKI
ZAKŁAD USŁUGOWO PRODUKCYJNY LASÓW
ZIMNY AUTO SPÓŁKA Z OGRANICZONĄ
9FASHION
AMEX SP Z O.O
GRZEGORZ WITKOWSKI
PKP SA ODDZIAŁ GOSPODAROWANIA
PRZEDSZKOLE MIEJSKIE NR98
RAFAŁ GROCHULSKI
TEATR POWSZECHNY W ŁODZI
WSPÓLNOTA MIESZKANIOWA LEGIONÓW 41
ZARZĄDZANIE I ADMINISTROWANIE PPUH MARSS
ADMINISTRACJA NIERUCHOMOSCIAMI ŁÓDŹADMINISTRACJA NIERUCHOMOŚCIAMI ŁÓDŹB&P REAL ESTATE SP. Z O.O.
ARTKOR GRAŻYNA SZUSTOWSKA
KLEJN
ADMINISTRACJA NIERUCHOMOSCIAMI ŁÓDŹSTANISŁAW SZLETYŃSKI
MARCINKOWSKI
ADMINISTRACJA NIERUCHOMOSCIAMI ŁÓDŹADMINISTRACJA NIERUCHOMOSCIAMI ŁÓDŹADMINISTRACJA NIERUCHOMOSCIAMI ŁÓDŹ-
KS. KARDYNAŁA STEFANA
WYSZYŃSKIEGO
KS. KARDYNAŁA
STEFANA
WYSZYŃSKIEGO
KS. KARDYNAŁA
STEFANA
WYSZYŃSKIEGO
KSAWEREGO PRAUSSA
KSAWEREGO PRAUSSA
komumnalne i surowce
KSAWEREGO PRAUSSA
KSIĘDZA BISKUPA WŁADYSŁAWA
BANDURSKIEGO
KUBUSIA PUCHATKA
LASKOWICKA
LASKOWICKA
LASKOWICKA
LATAWCOWA
LEGIONÓW
LEGIONÓW
LEGIONÓW
LEGIONÓW
LEGIONÓW
LEGIONÓW
LEGIONÓW
LEGIONÓW
LEGIONÓW
LEGIONÓW
LEGIONÓW
LEGIONÓW
LEGIONÓW
LEGIONÓW
LEGIONÓW
LEGIONÓW
LEGIONÓW
LEGIONÓW
LEGIONÓW
LEGIONÓW
LEGIONÓW
LEGIONÓW
LEGIONÓW
LEGIONÓW
LEGIONÓW
LEGIONÓW
LEGIONÓW
Strona 13
LEGIONÓW
LEGIONÓW
LEGIONÓW
LEGIONÓW
LEGIONÓW
67
86
9a
2
2
4
x
x
x
x
x
x
x
x
x
x
x
x
x
x
x
7
x
x
9
12/20
28/36
9
13
150
102
104/2U
107
108
109
111
112
112
112
113
113 A /1
119
119
125
125
126
146
21
41
42
44
45
47
49
49
50
51
52
56
57
58
x
x
x
x
x
x
x
x
x
x
x
x
x
x
x
x
x
x
x
x
x
x
x
x
x
x
x
x
x
x
x
x
x
x
x
x
x
x
x
x
x
x
x
x
x
x
x
x
x
x
x
x
x
x
x
x
x
x
x
x
x
x
x
x
x
x
x
x
x
x
x
x
x
x
x
x
x
x
x
x
x
x
"AB 7" SPÓŁKA Z OGRANICZONĄ
WSPÓLNOTA MIESZKANIOWA ŁÓDŹ UL
ADMINISTRACJA NIERUCHOMOSCIAMI ŁÓDŹADMINISTRACJA NIERUCHOMOSCIAMI ŁÓDŹKULPIŃSKA-MICHALAK
komumnalne i surowce
MACIEJ JEZIERSKI
CENTOVINI POLSKA SP.Z O.O
GRUPA HOTELI WAM SPÓŁKA Z.O.O.
PURM PRZEKŁADNIE KIEROWNICZE
P.H.U. "EUROKOM" WIESŁAW POPEK
INVEST GRZEGORZ DĄBROWSKI
SENATOR-ŁÓDŹ JAROSŁAW BALCEREK
GMINNA SPÓŁDZIELNIA "SAMOPOMOC
ANNA KRAKOWSKA
OŚRODEK AKTYWIZACJI ZAWODOWEJ I
PPHU GOLTZMAN
WOJEWÓDZKI INSPEKTORAT OCHRONY
VENTRA SPÓŁKA Z OGRANICZONĄ
WSPÓLNOTA MIESZKANIOWA NIERUCHOMOŚCI
ZARZĄDZANIE I ADMINISTROWANIE PPUH MARSS
ADMINISTRACJA NIERUCHOMOŚCIAMI ŁÓDŹ WSPÓLNOTA MIESZKANIOWA LIPOWA 48
ADMINISTRACJA NIERUCHOMOŚCIAMI ŁÓDŹ JAROSŁAW DYMEK
"FUMINO" JAROSŁAW DYMEK, CZESŁAW DYMEK,
UNIWERSYTET ŁÓDZKI
AKADEMICKA SPÓŁDZIELNIA PRACY PUCHATEK
PRZEDSIĘBIORSTWO WIELOBRANŻOWE
TERESA BOROWSKA
RED BIRD ARKADIUSZ MAJEWSKI
PPHU 'JANIS"
ZARZĄD ZIELENI MIEJSKIEJ
ANDRZEJ POTULSKI
SZKOLNE SCHRONISKO MŁODZIEŻOWE
POWSZECHNY ZAKŁAD UBEZPIECZEŃ NA ŻYCIE
WSPÓLNOTA MIESZKANIOWA ZAMENHOFA 17
ADMINISTRACJA NIERUCHOMOŚCIAMI ŁÓDŹ ADMINISTRACJA NIERUCHOMOŚCIAMI ŁÓDŹ ADMINISTRACJA NIERUCHOMOŚCIAMI ŁÓDŹ WSPÓLNOTA MIESZKANIOWA ZAMENHOFA 36
IGNACY RASSALSKI
PKP SA ODDZIAŁ GOSPODAROWANIA
PORT PUH
MIEJSKI ZESPÓŁ ŻŁOBKÓW
TOWER BUILDING SP. Z O.O.
LEGIONÓW
LEGIONÓW
LEGIONÓW
LEGIONÓW
LEGIONÓW
komumnalne i surowce
LEGIONÓW
LEGIONÓW
LEGIONÓW
LEGIONÓW
LEGIONÓW
LEGIONÓW
LEGIONÓW
LEGIONÓW
LEGNICKA
LEGNICKA
LEMIESZOWA
LIPOWA
LIPOWA
LIPOWA
LIPOWA
LIPOWA
LIPOWA
LIPOWA
LIPOWA
LIPOWA
LIPOWA
LIPOWA
LONTOWA
LUBLINEK
LUBLINEK
LUBLINEK
LUBLINEK
LUDWIKA ZAMENHOFA
LUDWIKA ZAMENHOFA
LUDWIKA ZAMENHOFA
LUDWIKA ZAMENHOFA
LUDWIKA ZAMENHOFA
LUDWIKA ZAMENHOFA
LUDWIKA ZAMENHOFA
LUDWIKA ZAMENHOFA
Strona 14
LUDWIKA ZAMENHOFA
ŁASKA
ŁĄKOWA
ŁĄKOWA
ŁĄKOWA
60-66
69
71/73
72
74
76
81
81
82
86
93/95
96
97
12
19
22A
16/18
2
27
31
39
48
55
75
77
81
85
14
43
49
7
RUDA
12A
13
16
17
26
30
32
36
38
35
41762
1
11
x
x
x
x
x
x
x
x
x
x
x
x
x
x
x
x
x
x
x
x
x
x
x
x
x
x
x
x
x
x
x
x
x
x
x
x
x
x
x
x
x
x
x
x
x
x
x
x
x
x
x
x
x
x
x
x
x
x
x
x
x
x
x
x
x
x
x
x
x
x
x
x
x
x
x
x
x
x
x
x
x
x
x
x
x
x
x
x
x
x
x
x
x
x
x
x
x
PRZEDSZKOLE MIEJSKIE NR 199
F.H. "BATERMIX" MONIKA CHMIEL
SKLEP-ABC
USŁUGI FRYZIERSKIE KOSMETYCZNE URSZULA
FOCUS HOTEL SP ZOO
komumnalne i surowce
KRAL SP.ZO.O.
LUKOIL POLSKA SP Z O.O.
"OPUS FILM" SPÓŁKA ZO.O.
FILM HOTEL SP. Z O.O.
FILMOTEKA NARODOWA
ŁÓDZKIE CENTRUM FILMOWE SP.ZO.O
"BOP"SP. Z O.O.
BAUTEC-POL SPÓŁKA Z OGRANICZONĄ
BRAND Ł.BRONIARCZYK SPOŁKA JAWNA
DRUKARNIA TĘCZA BOGUMIŁA KUJAWA , MARTA
FIRMA KSIĘGARSKA SERWIS SP. Z O. O.
INWEMER SYSTEM SP ZOO
PPHU HURT-POL HENRYK PIETRUSIEWICZ 90-562
ROMUALD BIAŁCZAK
SEISAN SP.JAWNA RAFAL KOSYL MARIUSZ
ZYGMUNTOWSKA
LABO-MIX SPÓŁKA JAWNA
KOMPANIA MARKETINGOWA 2 GOODS
ZAKŁAD DOSKONALENIA ZAWODOWEGO W
FOR RENT NIERUCHOMOŚCI BOŻENA
GRZEGORZ MARCINIAK
PPHU "SYGUŁA" STANISŁAW SYGUŁA 94-213
JAN PIETRUCHA
MAJMASZ SP. J.
DALKIA ŁÓDŹ SPÓŁKA AKCYJNA
JEDNOSTKA BUDŻETOWA HALE TARGOWE W
ADMINISTRACJA NIERUCHOMOŚCIAMI ŁÓDŹ "PATRONUS" S.C. JANUSZ SIEDLECKI, JACEK
LOK LIGA OBRONY KRAJU STOWARZYSZENIE
AKCES CO IWONA PAJOR PAWEŁ PAJOR SPÓŁKA
ROC 1 SP.Z.O.O.
MAGICZNA SP. Z O.O. SP. KOMANDYTOWA
NETTO SP.Z.O.O.
FLY PARK S.C. MONIKA KALISZESKA JACEK
CENTRUM USŁUG MOTORYZACYJNYCH SC
MONTEBELLO DENIM POLSKA
SYLWESTER WOŁOSZ
KURCZEWSKA
POLSKI ZWIĄZEK DZIAŁKOWCÓW
"ARIES" EDWARD SKAŁ FIRMA PRODUKCYJNO-
ŁĄKOWA
ŁĄKOWA
ŁĄKOWA
ŁĄKOWA
ŁĄKOWA
komumnalne i surowce
ŁĄKOWA
ŁĄKOWA
ŁĄKOWA
ŁĄKOWA
ŁĄKOWA
ŁĄKOWA
ŁĄKOWA
ŁĄKOWA
ŁĄKOWA
ŁĄKOWA
ŁĄKOWA
ŁĄKOWA
ŁĄKOWA
ŁĄKOWA
ŁĄKOWA
ŁĄKOWA
ŁĄKOWA
ŁĄKOWA
ŁĄKOWA
ŁĄKOWA
ŁUBINOWA
ŁUBINOWA
ŁUBINOWA
ŁUBINOWA
ŁYŻWIARSKA
MAŁA
MAŁA
MAŁA
MARATOŃSKA
MARATOŃSKA
MARATOŃSKA
MARATOŃSKA
MARATOŃSKA
MARATOŃSKA
MARATOŃSKA
Strona 15
MARATOŃSKA
MARATOŃSKA
MARATOŃSKA
MARATOŃSKA
MARATOŃSKA
13
19
19
19
23/25
23/25
23/25
29
29
29
29
3/5
3/5
3/5
3/5
3/5
3/5
3/5
3/5
3/5
3/5
3/5/1
3/5/14
4/P
7A
10
12
15
54
05-07-2014
2
5
7
102A
106A
109 I 10
109A
109A
110
111
111
111
121
149
162
x
x
x
x
x
x
x
x
x
x
x
x
x
x
x
x
x
x
x
x
x
x
x
x
x
x
x
x
x
x
x
x
x
x
x
x
x
x
x
x
x
x
x
x
x
x
x
x
x
x
x
x
x
x
x
x
x
x
x
x
x
x
x
x
x
x
x
x
x
x
x
x
x
x
x
x
x
x
x
x
x
x
x
x
x
x
x
x
x
x
x
x
x
x
x
x
x
x
x
x
x
x
x
x
x
x
x
x
x
x
x
x
x
x
x
x
x
x
x
x
"ROMARO"S.C. 94-007 ŁÓDŹ, UL. MARATOŃSKA
EWA WROBEL-NADEL
STOWARZYSZENIE NA RZECZ TARGOWISKA NA
USŁUGI PARKINGOWE JACEK KOPKA
ADAM SZYMANIAK
komumnalne i surowce
BARGIEL
SKLEP SPOZYWCZY "MILENKA" MILENA
NAZAREK
"SPOŁEM" ŁÓDZKA SPÓŁDZIELNIA SPOŻYWCÓW
P.H.KUBANKA
SKLEP SPOŻYWCZY TERESA KĘSICKA
ZESPÓŁ SZKÓŁ INTEGRACYJNYCH NR.1
GRAŻYNA SCHWARZ
SPÓŁDZIELNIA MIESZKANIOWA POLESIE
ANDRZEJ BUKAŁA
IRENA ŚMIGIELSKA
MEDEOR SP ZOO
ZESPÓŁ OPIEKI ZDROWOTNEJ
MAJDZIŃSKI
STOWARZYSZENIE UŻYTKOWNIKÓW WIAT
STOWARZYSZENIE UŻYTKOWNIKÓW WIAT
"PROLMAT"
SKLEP SPOŻYWCZY "ALF" B. SAWOŚCIAN
"SOCHOR"
KARPIŃSKI
JAKUBOWSKI
BEATA ASENDRYCH
DOROTA BALCERZAK
SEDONA AUTO MARCIN POKORSKI
"SPOŁEM" ŁÓDZKA SPÓŁDZIELNIA SPOŻYWCÓW
POKORSKI PAWEŁ POKORSKA JOLANTA
POLSKI ZWIĄZEK DZIAŁKOWCÓW RODZINNY
WÓJTOWICZ
GRAŻYNA JAWORSKA
JADWIGA WASZKIEWICZ
MACIEJ BARWICKI
JULIUSZ ADAMSKI
PKP SA ODDZIAŁ GOSPODAROWANIA
PKP SA ODDZIAŁ GOSPODAROWANIA
JOANNA MIKOŁAJCZYK
WSPÓLNOTA MIESZKANIOWA UL KASPRZAKA
WSPÓLNOTA MIESZKANIOWA
ZESPÓŁ OPIEKI ZDROWOTNEJ
WSPÓLNOTA MIESZKANIOWA
ARDELUX SP. Z O.O.
MARATOŃSKA
MARATOŃSKA
MARATOŃSKA
MARATOŃSKA
MARATOŃSKA
komumnalne i surowce
MARATOŃSKA
MARATOŃSKA
MARATOŃSKA
MARATOŃSKA
MARATOŃSKA
MARATOŃSKA
MARATOŃSKA
MARATOŃSKA
MARATOŃSKA
MARATOŃSKA
MARATOŃSKA
MARATOŃSKA
MARATOŃSKA
MARATOŃSKA
MARATOŃSKA
MARATOŃSKA
MARATOŃSKA
MARATOŃSKA
MARATOŃSKA
MARATOŃSKA
MARATOŃSKA
MARATOŃSKA
MARATOŃSKA
MARATOŃSKA
MARATOŃSKA
MARATOŃSKA
MARATOŃSKA
MARATOŃSKA
MARATOŃSKA
MARATOŃSKA
MARATOŃSKA
MARATOŃSKA
MARATOŃSKA
MARATOŃSKA
MARCINA KASPRZAKA
Strona 16
MARCINA KASPRZAKA
MARCINA KASPRZAKA
MARCINA KASPRZAKA
MARCINA KASPRZAKA
MARCINA KASPRZAKA
177
2
23/32/HALA
24/32
25
25
25A/6
25B
27
35
35
47 B
57A
61A
67/68
67/69
67/69/3
71
73
77
77B
78
81
82
87
90
91
91A
92
93
94
94A
95/5
95A
95A
95A
96C
96D
96E
12
19/21
20
27
29
3
x
x
x
x
x
x
x
x
x
x
x
x
x
x
x
x
x
x
x
x
x
x
x
x
x
x
x
x
x
x
x
x
x
x
x
x
x
x
x
x
x
x
x
x
x
x
x
x
x
x
x
x
x
x
x
x
x
x
x
x
x
x
x
x
x
x
x
x
x
x
x
x
x
x
x
x
x
x
x
x
x
x
x
x
x
x
x
x
x
x
x
x
x
x
x
x
x
x
x
x
x
x
x
x
x
x
ART-DOM M.M. ZIELIŃSCY SP.J.
PPHU "MAXTEL" WITOLD SPICZAK
SZKOŁA PODSTAWOWA NR 91 IM. LEONIDA
JLT INVESTMENT SPÓŁKA Z OGRANICZONĄ
"SPOŁEM" ŁÓDZKA SPÓŁDZIELNIA SPOŻYWCÓW
komumnalne i surowce
ADMINISTRACJA NIERUCHOMOŚCIAMI
ART-DOM M.M. ZIELIŃSCY SP.J.
JAŚ
JJM "FOODS" SPÓŁKA Z O. O.
WIESŁAW KUSIAK
MAKRO CASH AND CARRY POLSKA S.A.
STANISŁAW NASTAROWICZ
LARGO STANISŁAW WOŁOWIEC
ŁÓDZKIE TOWARZYSTWO NAUKOWE
JAN WOŹNIAK
ZESPÓŁ OPIEKI ZDROWOTNEJ
ŁÓDZKI ZARZĄD WOJEWÓDZKI ZKRP I BWP UL.
INSTYTUT BIOPOLIMERÓW I WŁÓKIEN
URZĄD OCHRONY KONKURENCJI I
CECH PIEKARZY I PRZEDSIĘBIORCÓW
KOŚCIÓŁ REKTORALNY ŚRODOWISK
INSTYTUT TECHNOLOGII BEZPIECZEŃSTWA
STOLARSKI
STOLARSKI
WSPÓLNOTA MIESZKANIOWA OSSOWSKIEGO 2
STANISŁAW KOWALCZYK
DARIUSZ WIELEMBOREK
KRUPSKA
WSPÓLNOTA MIESZKANIOWA NIERUCHOMOŚCI
CHŁOSTA
WSPÓLNOTA MIESZKANIOWA KOPERNIKA 10
INSTYTUT BIOTECHNOLOGII
TEATR PINOKIO W ŁODZI
XXI LICEUM OGÓLNOKSZTAŁCĄCE IM. B. PRUSA
ADMINISTRACJA NIERUCHOMOŚCIAMI ŁÓDŹ RIBBON - STANISŁAW WŁODARCZYK
ADMINISTRACJA NIERUCHOMOŚCIAMI ŁÓDŹ KOMENDA WOJEWÓDZKA POLICJI W ŁODZI, UL.
ADMINISTRACJA NIERUCHOMOŚCIAMI ŁÓDŹ ADMINISTRACJA NIERUCHOMOŚCIAMI ŁÓDŹ ADMINISTRACJA NIERUCHOMOŚCIAMI ŁÓDŹ "PATRONUS" S.C. JANUSZ SIEDLECKI, JACEK
"SOL*POL" P.H.U. ANDRZEJ SOLECKI
ZESPÓŁ EKONOMICZNO-ADMINISTRACJNY
WSPÓLNOTA MIESZKANIOWA KOPERNIKA 37
MARCINA KASPRZAKA
MARCINA KASPRZAKA
MARCINA KASPRZAKA
MARCINA KASPRZAKA
MARCINA KASPRZAKA
komumnalne i surowce
MARCINA KASPRZAKA
MARCINA KASPRZAKA
MARCINA KASPRZAKA
MARCINA KASPRZAKA
MARCINA KASPRZAKA
MARCINA KASPRZAKA
MARCINA KASPRZAKA
MARCINA KASPRZAKA
MARII SKŁODOWSKIEJ-CURIE
MARII SKŁODOWSKIEJ-CURIE
MARII SKŁODOWSKIEJ-CURIE
MARII SKŁODOWSKIEJ-CURIE
MARII SKŁODOWSKIEJ-CURIE
MARII SKŁODOWSKIEJ-CURIE
MARII SKŁODOWSKIEJ-CURIE
MARII SKŁODOWSKIEJ-CURIE
MARII SKŁODOWSKIEJ-CURIE
MARII SKŁODOWSKIEJ-CURIE
MARII SKŁODOWSKIEJ-CURIE
MICHAŁA OSSOWSKIEGO
MICHAŁA OSSOWSKIEGO
MICHAŁA OSSOWSKIEGO
MICHAŁA OSSOWSKIEGO
MICHAŁA OSSOWSKIEGO
MIECZNIKÓW
MIKOŁAJA KOPERNIKA
MIKOŁAJA KOPERNIKA
MIKOŁAJA KOPERNIKA
MIKOŁAJA KOPERNIKA
MIKOŁAJA KOPERNIKA
MIKOŁAJA KOPERNIKA
MIKOŁAJA KOPERNIKA
MIKOŁAJA KOPERNIKA
MIKOŁAJA KOPERNIKA
MIKOŁAJA KOPERNIKA
Strona 17
MIKOŁAJA KOPERNIKA
MIKOŁAJA KOPERNIKA
MIKOŁAJA KOPERNIKA
MIKOŁAJA KOPERNIKA
MIKOŁAJA KOPERNIKA
3
3
45
6
64B
64B
7/9
7/9
7/9
7/9
8
9/B
9A
11
12/14
15/17
18
19/27
19/27
1A
22
3
4A/2
4A/2
2
2/4
21
4
4
1
10
15/17
16
2
20
24
26
29/31
30
32
33
34
36
36
37
x
x
x
x
x
x
x
x
x
x
x
x
x
x
x
x
x
x
x
x
x
x
x
x
x
x
x
x
x
x
x
x
x
x
x
x
x
x
x
x
x
x
x
x
x
x
x
x
x
x
x
x
x
x
x
x
x
x
x
x
x
x
x
x
x
x
x
x
x
x
x
x
x
x
x
x
x
x
x
x
x
x
x
x
x
x
x
x
x
x
x
x
x
x
x
x
x
x
x
x
x
x
x
x
x
x
x
x
x
x
x
x
x
x
x
x
x
x
x
x
x
x
ENDOTERAPIA SP ZOO
MEDICAL MAGNUS SP. Z O.O.
WSPÓLNOTA MIESZKANIOWA KOPERNIKA 4
WSPÓLNOTA MIESZKANIOWA KOPERNIKA 40
ADMINISTRATOR ALICJA ŁUGOWSKA-GAJDA
komumnalne i surowce
CECH RZEŹNIKÓW I WĘDLINIARZY ZIEMI
ADMINISTRACJA NIERUCHOMOŚCIAMI ŁÓDŹ FIRMA "W. LEWANDOWSKI"
"RUCH" SPÓŁKA AKCYJNA
"FIORE" GERNAUD, BIERNACKI I TOMAS SPÓŁKA
TEGOLA POLONIA LTD SP. Z.O.O
VMC
JOLANTA ULATOWSKA
WSPÓLNOTA MIESZKANIOWA KOPERNIKA 61
WSPÓLNOTA MIESZKANIOWA UL. KOPERNIKA 62
ARCHE SP.Z O.O UL.PUŁAWSKA 361 02-801
WSPÓLNOTA MIESZKANIOWA
WSPÓLNOTA MIESZKANIOWAUL. KOPERNIKA
P.P.H.U. D& D SPÓŁKA JAWNA
ADMINISTRACJA NIERUCHOMOSCIAMI ŁÓDŹZESPÓŁ SZKÓŁ OGÓLNOKSZTAŁCĄCYCH NR 7
POTRONICS SP. Z O.O.
DORIAN GRZELKA
WŁODZIMIERZ BORSIAK
TPO SP.Z O.O.
TOMASZ HADRYSIAK
ANDRZEJ ZIARKO
ANDRZEJ ZIARKO
POLSKI KONCERN NAFTOWY "ORLEN" SA
JERZY RYMARZ
"ZŁOMET-TRANS"
SZKOŁA PODSTAWOWA NR169 IM. MARII
PRZEDSZKOLE MIEJSKIE NR 151
LIDL POLSKA SKLEPY SPOŻYWCZE SP. Z O.O.
ZAKŁAD APARATURY ELEKTRYCZNEJ "ERGOM"
SCHENKER SPÓŁKA Z OGRANICZONĄ
TOWARZYSTWO POMOCY IM. ŚW. BRATA
EWA TOMCZAK
ŁÓDZKI ZAKŁAD USŁUG KOMUNALNYCH
WALICKI
LES BOULETS MENAGE SP. Z O.O. 94-102 ŁÓDŹ,
ŁÓDZKI ZAKŁAD USŁUG KOMUNALNYCH
TOWARZYSTWO HANDLU ZAGRANICZNEGO
POLSKI ZWIĄZEK DZIAŁKOWCÓW ZARZĄD
ANDAR RADOSIEWICZ WIERCIŃSKI SP.J.
MIKOŁAJA KOPERNIKA
MIKOŁAJA KOPERNIKA
MIKOŁAJA KOPERNIKA
MIKOŁAJA KOPERNIKA
MIKOŁAJA KOPERNIKA
komumnalne i surowce
MIKOŁAJA KOPERNIKA
MIKOŁAJA KOPERNIKA
MIKOŁAJA KOPERNIKA
MIKOŁAJA KOPERNIKA
MIKOŁAJA KOPERNIKA
MIKOŁAJA KOPERNIKA
MIKOŁAJA KOPERNIKA
MIKOŁAJA KOPERNIKA
MIKOŁAJA KOPERNIKA
MIKOŁAJA KOPERNIKA
MIKOŁAJA KOPERNIKA
MIKOŁAJA KOPERNIKA
MIKOŁAJA KOPERNIKA
MIKOŁAJA KOPERNIKA
MIKOŁAJA ZYNDRAMA
MINERSKA
MINERSKA
MINERSKA
MINERSKA
MIŃSKA
MUSZKIETERÓW
MUSZKIETERÓW
MUSZKIETERÓW
NAFTOWA
NAMIOTOWA
NAPOLEOŃSKA
NAPOLEOŃSKA
NARCIARSKA
NOWE SADY
NOWE SADY
NOWE SADY
NOWE SADY
NOWE SADY
NOWE SADY
NOWE SADY
Strona 18
NOWE SADY
NOWE SADY
NOWE SADY
NOWE SADY
NOWE SADY
38
38
4
40
45
46
47
5
53
53A
56/60
58
59
61
62
64
64B
67/69
71/73
9/11
1/3
19
30A
6
2
3
7
7/7
7/9
35C/1
4A
7/17/1
20/22
1
10
11/13/17
19
19
23/25/1
27A
27B
37
38
47
x
x
x
x
x
x
x
x
x
x
x
x
x
x
x
x
x
x
x
x
x
x
x
x
x
x
x
x
x
x
x
x
x
x
x
x
x
x
x
x
x
x
x
x
x
x
x
x
x
x
x
x
x
x
x
x
x
x
x
x
x
x
x
x
x
x
x
x
x
x
x
x
x
x
x
x
x
x
x
x
x
x
x
x
x
x
x
x
x
x
x
x
x
x
x
x
AMEET SP ZOO
P.H.U. GREMI M.GAŁKA, G.KURCZEWSKI, 94-102
PPHU "SAMAR"
POLSKI ZWIĄZEK DZIAŁKOWCÓW ZARZĄD
WALIGÓRSKI
komumnalne i surowce
BARRY CALLEBAUT MANUFACTURING POLSKA
DANUTA PIECH
AMCOR FLEXIBLES REFLEX SP. Z.O.O. (ZAKŁAD
WARBUD S.A.
PKP SA ODDZIAŁ GOSPODAROWANIA
AC KLIMAT STAWSKI , STEFANIAK , NOWAK
SEBASTIAN POLAK
AGNIESZKA KASPERCZAK
MARGOT ENTERPRISE SP.Z.O.O.
ZBIGNIEW BEDNAREK ANDRZEJ LISOWSKI
P.P.H.U. STOL MS M.MAŁYS, I.SZYMAŃSKI
POCZTA POLSKA S.A.
PPHU OKTAN
JADWIGA IGIELSKA
KME SP.Z O.O.
VEG POL SPÓŁKA JAWNA PRZEMYSŁAW
GEBRIEL-CHEMIE POLSKA SP. Z.O.O.
PRZEDSIĘBIORSTWO PRODUKCYJNO
PRZEDSIĘBIORSTWO PRODUKCYJNOZAJDEL
ZAKŁAD AUTOMATYKI I URZADZEŃ
EURO DOM SP.Z O.O.SP.K.
JERONIMO MARTINS POLSKA SPÓŁKA AKCYJNA
LIBERTY MOTORS SP.Z.O.O.
RHENUS LOGISTICS S.A.
Z.P.DZ. "OLIMPIA" S.A.
PPHU TKM S.C
POLSKI KONCERN NAFTOWY "ORLEN" SA
COMITOR SPÓŁKA Z OGRANICZONĄ
WYTWORNIA ZĘBÓW SZTUCZNYCH "WIEDENT"
MK CENTRUM K. DULIBA,M.MYCZKA SP.JAWNA
AGENCJA OCHRONY ESKORT SP.Z O.O.
ACP PHARMA SPÓŁKA AKCYJNA
ELMA-RK E.RASIŃSKA SP.J.
AUTO SERVICE MIROSŁAW PYRCZAK 91-008
SAPRO ENGINEERING R.DEREDAS, T.STĘPIEŃ
ADMINISTRACJA NIERUCHOMOSCIAMI ŁÓDŹADMINISTRACJA NIERUCHOMOSCIAMI ŁÓDŹMEGAMED SP. Z O.O.
MEGAMED SP ZOO
NOWE SADY
NOWE SADY
NOWE SADY
NOWE SADY
NOWY JÓZEFÓW
komumnalne i surowce
NOWY JÓZEFÓW
NOWY JÓZEFÓW
NOWY JÓZEFÓW
NOWY JÓZEFÓW
OBJAZDOWA
OBYWATELSKA
OBYWATELSKA
OBYWATELSKA
OBYWATELSKA
OBYWATELSKA
OBYWATELSKA
OBYWATELSKA
OBYWATELSKA
OBYWATELSKA
OBYWATELSKA
OBYWATELSKA
OBYWATELSKA
OBYWATELSKA
OBYWATELSKA
OBYWATELSKA
OBYWATELSKA
OBYWATELSKA
OBYWATELSKA
OBYWATELSKA
OBYWATELSKA
OBYWATELSKA
OBYWATELSKA
OBYWATELSKA
OBYWATELSKA
OBYWATELSKA
OBYWATELSKA
OBYWATELSKA
OBYWATELSKA
OBYWATELSKA
ODOLANOWSKA
Strona 19
ODOLANOWSKA
OGRODOWA
OGRODOWA
OGRODOWA
OGRODOWA
6
73
77
9
27
36
46
64D/0
70
17
100
100
102/104
102/104
117
121/129
121/129
121/STACJ
126
128
128
128/152
128/152
129/131
133
135
137
137
137
137
137
181/183
181B
183
185/187/
191
201
92ABC
98
14
4
26
28
28
28B
x
x
x
x
x
x
x
x
x
x
x
x
x
x
x
x
x
x
x
x
x
x
x
x
x
x
x
x
x
x
x
x
x
x
x
x
x
x
x
x
x
x
x
x
x
x
x
x
x
x
x
x
x
x
x
x
x
x
x
x
x
x
x
x
x
x
x
x
x
x
x
x
x
x
x
x
x
x
x
x
x
STOWARZYSZENIE ŚPIEWACZE IM. ST.
PARAFIA EWANGELICKO-AUGSBURSKA
PRZEDSIĘBIORSTWO PRODUKCYJNE
BARBARA KUBIAK
ALINA JASIŃSKA
komumnalne i surowce
ELEKTROMONTER PAWEŁ LECH
MONTE SPÓŁKA Z OGRANICZONĄ
MIROSŁAW MIELCZAREK, BOŻENA GAJDA,
ZAKŁAD PRZETWÓRSTWA MIĘSNEGO"GROT"
KRYSTYNA WINKIEL
PRZEDSIĘBIORSTWO PRODUKCYJNO
SPÓŁDZIELNIA MIESZKANIOWA ZAGRODNIKI
PRZEDSZKOLE MIEJSKIE NR 144
ZESPÓŁ OPIEKI ZDROWOTNEJ
PUBLICZNE GIMNAZJUM NR 20
JOGO
TRAX SP. Z.O.O.
HORNET SP. Z O. O.
LASOTA
TERESA PATRZYCZNA
KOPREK
CIEŚLAK
SERWIS PRINT P.W.
BT SPÓŁKA Z OGRANICZONĄ
PW MAR-MIT J. MERC K. MERC S.C.
ZAKŁAD MECHANIKI POJAZDOWEJ JANUSZ
MONIKA PHU
'SOPAK' PUPH SZCZEPAN PACAK
KALWINEK
WOJCIECH WALKOWIAK
KUJAWKA
MOKWIŃSKA
SPÓŁDZIELNIA MIESZKANIOWA ,,PIASKI"
ŚMIELAK
IZABELA PRAWDZIK
SPÓŁDZIELNIA MIESZKANIOWA ,,PIASKI"
F.H.U. LASOGRÓD
KOMENDA WOJEWÓDZKA POLICJI W ŁODZI, UL.
SPÓŁDZIELNIA MIESZKANIOWA POLESIE
JACEK PATER
STAMATIOS CHATZIPANAGIOTIS
HOFBAUER
CENTRUM POMOCY PSYCHIATRYCZNEJ I
GRZEGORZ ANDYSKOWSKI
WSPÓLNOTA LOKALOWA BARDOWSKIEGO 16/20
OGRODOWA
OGRODOWA
OGRODOWA
OGRODOWA
OGRODOWA
komumnalne i surowce
OGRODOWA
OGRODOWA
OGRODOWA
OLIMPIJSKA
OLIMPIJSKA
OLIMPIJSKA
OLIMPIJSKA
OLIMPIJSKA
OLIMPIJSKA
OLIMPIJSKA
OMŁOTOWA
OMŁOTOWA
OMŁOTOWA
OMŁOTOWA
OSZCZEPOWA
OSZCZEPOWA
OSZCZEPOWA
PANCERNIAKÓW
PARKOWA
PARKOWA
PERŁOWA
PERŁOWA
PERŁOWA
PERŁOWA
PERŁOWA
PIASKI
PIASKI
PIASKI
PIASKI
PIASKI
PIASKI
PIENISTA
PIENISTA
PIENISTA
PIŁKARSKA
Strona 20
PIŁKARSKA
PIŁKARSKA
PIOTRA BARDOWSKIEGO
PIOTRA BARDOWSKIEGO
PIOTRA BARDOWSKIEGO
34
43
62
64
70
72/74
72/74
76
16
26
28
5
6
7A
9
12
14
25
4
14
43/1
57
13
-/8
6/8
2/2
21
25
26
27/2
3
4
4
4
4A
5
29
71
75
37
49
9Z
1
10
16/20
x
x
x
x
x
x
x
x
x
x
x
x
x
x
x
x
x
x
x
x
x
x
x
x
x
x
x
x
x
x
x
x
x
x
x
x
x
x
x
x
x
x
x
x
x
x
x
x
x
x
x
x
x
x
x
x
x
x
x
x
x
x
x
x
x
x
x
x
x
x
x
x
x
x
x
x
x
STANDARD POLISH ENTERPRISE SPE IMEX SP.
HENRYK MATYSZKIEWICZ
DARIUSZ GRACZYK
SZKOŁA PODSTAWOWA NR 36
MUZEUM SZTUKI W ŁODZI
komumnalne i surowce
I LICEUM OGÓLNOKSZTAŁCĄCE IM. M.
BRODNIEWICZ
KUBIMEX
WSPÓLNOTA MIESZKANIOWA "WIĘCKOWSKIEGO
ANDRZEJ KUBARSKI
KUBIMEX
EWA MARCINKIEWICZ-KOWALCZYK
KUBIAK
PRYWATNY GABINET LEKARSKI
BRACIA LEDZION GRZEGORZ LEDZION
ŁATKOWSKI
PAWEŁ ŻMUDZKI
PPHU BART-DOM BARTOSZ SCIBOR
CLEANER SYSTEM S.C
CENTRUM
ZAKŁAD BUDOWLANY LESZEK KLIMCZAK 94-304
PLASTIC SERVICE S.C. R. FRĄCKIEWICZ K.
TAWERNA "SESJA" BEATA WIŚNIEWSKA
INTERSERVIS SP Z O.O
KAROL CHACHULSKI
WOJEWÓDZKI INSPEKTORAT WETEREYNARII W
PLAST SP. Z.O.O.
ADMINISTRACJA NIERUCHOMOŚCIAMI ŁÓDŹ DATA GROUP SPÓŁKA Z OGRANICZONĄ
PIK ZAKŁAD DZIEWIARSKI
INVEST-TOR
PRZEDSZKOLE MIEJSKIE NR 154 W ŁODZI
DARY OD NATURY AGNIESZKA CEDROWSKA
KODA PUBLIC RELATIONS
SPÓŁDZIELNIA MIESZKANIOWA ZAGRODNIKI
FIRMA HANLOWO-USŁUGOWA PROXIMA
WROŃSKA
WOJCIECH SZRAM
ADMINISTRACJA NIERUCHOMOŚCIAMI ŁÓDŹ ADMINISTRACJA NIERUCHOMOŚCIAMI ŁÓDŹ ADMINISTRACJA NIERUCHOMOŚCIAMI ŁÓDŹ WSPÓLNOTA MIESZKANIOWA RADWAŃSKA 45
ADMINISTRACJA NIERUCHOMOŚCIAMI ŁÓDŹ ADMINISTRATOR ALICJA ŁUGOWSKA-GAJDA
ADMINISTRACJA NIERUCHOMOŚCIAMI ŁÓDŹ -
PIOTRA BARDOWSKIEGO
PŁATOWCOWA
PŁATOWCOWA
PŁK DR STANISŁAWA WIĘCKOWSKIEGO
PŁK DR STANISŁAWA WIĘCKOWSKIEGO
komumnalne i surowce
PŁK DR STANISŁAWA WIĘCKOWSKIEGO
PŁK DR STANISŁAWA WIĘCKOWSKIEGO
PŁK DR STANISŁAWA WIĘCKOWSKIEGO
PŁK DR STANISŁAWA WIĘCKOWSKIEGO
PŁK DR STANISŁAWA WIĘCKOWSKIEGO
PŁK DR STANISŁAWA WIĘCKOWSKIEGO
PŁK DR STANISŁAWA WIĘCKOWSKIEGO
PŁK DR STANISŁAWA WIĘCKOWSKIEGO
PŁYWACKA
PODCHORĄŻYCH
PODCHORĄŻYCH
PODJAZDOWA
POLARNA
POLITECHNIKI
POLITECHNIKI
PREZYDENTA THOMASA WILSONA
PROCHOWA
PROF. BOHDANA STEFANOWSKIEGO
PROF. BOHDANA STEFANOWSKIEGO
PROLETARIACKA
PROLETARIACKA
PROLETARIACKA
PROLETARIACKA
PROLETARIACKA
PROLETARIACKA
PROLETARIACKA
PRZEŁAJOWA
PRZEŁAJOWA
PRZEŁAJOWA
PRZEŁAJOWA
PTASIA
PTASIA
RADWAŃSKA
RADWAŃSKA
RADWAŃSKA
Strona 21
RADWAŃSKA
RADWAŃSKA
RADWAŃSKA
RADWAŃSKA
RADWAŃSKA
50
27
8
35
36
41
43/45
58
58
68/LU 1
68/LU 1
82
87
52
1/A
35
26
19
2
4
30
12
17
24
19
2/6
24A
3
31
32
40
21
22B/5
5
6/8
3
8
28
31
39
43
45
46
48
52
x
x
x
x
x
x
x
x
x
x
x
x
x
x
x
x
x
x
x
x
x
x
x
x
x
x
x
x
x
x
x
x
x
x
x
x
x
x
x
x
x
x
x
x
x
x
x
x
x
x
x
x
x
x
x
x
x
x
x
x
x
x
x
x
x
x
x
x
x
x
x
x
x
x
x
x
x
x
x
x
x
x
x
x
x
x
x
x
x
x
x
x
x
x
x
x
x
x
x
x
x
x
x
x
x
x
x
x
x
ADMINISTRACJA NIERUCHOMOŚCIAMI ŁÓDŹ BEK
ADMINISTRACJA NIERUCHOMOŚCIAMI ŁÓDŹ P.P.H.U. AGLOPRIM ANDRZEJ GLONEK UL.
WSPÓLNOTA MIESZKANIOWA RADWAŃSKA 63
komumnalne i surowce
WSPÓLNOTA MIESZKANIOWA ŁÓDŹ UL.
ŁÓDZKIE ZRZESZENIE WŁAŚCICIELI I
ADMINISTRACJA NIERUCHOMOŚCIAMI ŁÓDŹ SALON FRYZJERSKI ELŻBIETA REKŚĆ
MARCPOL S.A.
TOWARZYSTWO OŚWIATOWE LYKEION
SZKOŁA PODSTAWOWA NR 41 IM. KRÓLA W.
SPÓŁDZIELNIA MIESZKANIOWA ,,PIASKI"
DANKOWSKI
TRAFIKA JOANNA ŚWIATŁOWSKA
BOWI-STYL PW WIESŁAWA SITARZ
SKALTEX-KACZMAREK,BŁASZCZYK SP. JAWNA
JAN MAŃKA
MICHAŁ BAKURA
SELL-BUD PAWEŁ KAZIMIERCZAK
FOXFOTO MICHAŁ WŁODARCZYK JACEK
MACIEJ MALINOWSKI
BAR "BARTEK"
SCANDIA SPÓŁKA Z OGRANICZONĄ
RADOSŁAW RACHUBIŃSKI
JOLANTA ŁUCKA
RESTAURACJA "ZŁOTA KACZKA" S.C. J. I. S.
GALUS
FISIAK
ARTUR FLAKIEWICZ PIEROGARNIA CO LUDZIE
DARIUSZ KRASOŃ, 94-004 ŁÓDŹ, UL.RETKIŃSKA
STĘPNIAK
TESCO POLSKA SP. Z O.O.
ELŻBIETA BARAŃSKA
ANNA STĘPNIK
P.B.TO YOU PAWEŁ & PIOTR BASSENDOWSKI
RZYMSKOKATOLICKA PARAFIA NAJŚWIĘTSZEGO
KOMENDA MIEJSKA
ANDRZEJ KOWALSKI
ELZBIETA NAWROCKA
FORMAT P.P.H.U. PAWEŁ TADAJCZYK
GALERIE ALKOHOLI SP.Z.O.O
EDUKA S.C. AGNIESZKA NOWAKOWSKA-PAŁASZ
JAWORSKA
VIP STUDIO UL RETKIŃSKA 64
RADWAŃSKA
RADWAŃSKA
RADWAŃSKA
RADWAŃSKA
RADWAŃSKA
komumnalne i surowce
RADWAŃSKA
RADWAŃSKA
RADWAŃSKA
RAJDOWA
RAJDOWA
RAJDOWA
RAJDOWA
RAJDOWA
RAJDOWA
RAJDOWA
RAJMUNDA REMBIELIŃSKIEGO
RAJMUNDA REMBIELIŃSKIEGO
RAJMUNDA REMBIELIŃSKIEGO
RĄBIEŃSKA
RĄBIEŃSKA
RĄBIEŃSKA
RĄBIEŃSKA
RĄBIEŃSKA
RĄBIEŃSKA
RĄBIEŃSKA
RĄBIEŃSKA
RĄBIEŃSKA
RĄBIEŃSKA
RĄBIEŃSKA
RĄBIEŃSKA
RETKIŃSKA
RETKIŃSKA
RETKIŃSKA
RETKIŃSKA
RETKIŃSKA
RETKIŃSKA
RETKIŃSKA
RETKIŃSKA
RETKIŃSKA
RETKIŃSKA
Strona 22
RETKIŃSKA
RETKIŃSKA
RETKIŃSKA
RETKIŃSKA
RETKIŃSKA
54
59
60
61
63
65
69
70
10
12
13
18
2
20
20A
14
14
25
131
132/134
18
3
32
36
40
42A
53/1
76
8
9/13
103
104
106
113/117
119
123
127
129
131/1
141
29
29
37
64
64
x
x
x
x
x
x
x
x
x
x
x
x
x
x
x
x
x
x
x
x
x
x
x
x
x
x
x
x
x
x
x
x
x
x
x
x
x
x
x
x
x
x
x
x
x
x
x
x
x
x
x
x
x
x
x
x
x
x
x
x
x
x
x
x
x
x
x
x
x
x
x
x
x
x
x
x
x
x
x
x
x
x
x
x
x
x
x
x
x
x
x
x
x
KRZYSZTOF MROCZKOWSKI
PPHU "MIGOJA"
PRZEDSZKOLE MIEJSKIE NR 152 W ŁODZI
SPÓŁDZIELNIA MIESZKANIOWA POLESIE
TAMARA SADOWSKA
komumnalne i surowce
ANDRZEJ BUJNOWICZ
BEATA BACZYŃSKA
BOGUSŁAW ŚWIERCZYNSKI
MAREK MŁYNARCZYK
ACTIVE WEAR PAWEŁ KOWALEWSKI -WOJCIECH
ADMINISTRACJA NIERUCHOMOSCIAMI ŁÓDŹADMINISTRACJA NIERUCHOMOSCIAMI ŁÓDŹADMINISTRACJA NIERUCHOMOSCIAMI ŁÓDŹPRZEDSIĘBIORSRWO HANDLOWE AWIM PAWEŁ
ANDRZEJ KĘDZIERSKI
ŁÓDZKI ZAKŁAD USŁUG KOMUNALNYCH
GRUPOWA OCZYSZCZALNIA ŚCIEKÓW W ŁÓDZI
PKP POLSKIE LINIE KOLEJOWE S,A, ZAKLAD LINII
GĘSICKI
WOJEWÓDZKI INSPEKTORAT OCHRONY ROŚLIN I
ADS SUPPORT SP. ZOO
ARETO SP. Z O.O.
DINAK SA
FIRMA HANDLOWA OCHO PAWEŁ OCHOCKI
IWONA POLITAŃSKA
SKAN- DRUK P.P.H.U. STANISŁAW KANIEWSKI
STINGER PPH
ZOOLEK ANDRZEJ MIKUŁA
TOWARZYSTWO ELEKTROTECHNOLOGICZNE
KAMIENIARSTWO BARTCZAK JOANNA I MARCIN
PRODIMEX 94-250 UL. SIEWNA 9
PUH "KA-AR" WALAS I SYN
BOGAN GAJZLEROWICZ
KOT-ZANIEWSKI
ANDRZEJ BAJON
SPECJALISTYCZNY ZAKŁAD TAPICERSTWA
TOMASZ SALSKI
TOMMARK ADAMCZYK,LANGER,ROGOZIŃSKA SP
PKP POLSKIE LINIE KOLEJOWE S,A, ZAKLAD LINII
MIEJSKI ZESPÓŁ ŻŁOBKÓW
POTRONICS SP. Z O.O.
FIRMA PRODUKCYJNO-HANDLOWO-USŁUGOWA
KOMTEX P.W. BOŻENA KOMZA UL. KASPRZAKA
KOMTEX P.W. BOŻENA KOMZA UL. KASPRZAKA
JOKER PRZEMYSŁAW MICHALAK
RETKIŃSKA
69
RETKIŃSKA
74
RETKIŃSKA
78
RETKIŃSKA
8
RETKIŃSKA
80
komumnalne i surowce
RETKIŃSKA
82
RETKIŃSKA
82
RETKIŃSKA
85A
REZEDOWA
9
ROMUALDA MIELCZARSKIEGO
11
ROMUALDA MIELCZARSKIEGO
15
ROMUALDA MIELCZARSKIEGO
19
ROMUALDA MIELCZARSKIEGO
4A
ROWEROWA
23
RZESZOWSKA
16
SANITARIUSZEK
68/72
SANITARIUSZEK
70/72
SANITARIUSZEK
NASTAWNI/DYSPO
SAPERÓW
3
SIEWNA
13A
SIEWNA
15
SIEWNA
15
SIEWNA
15
SIEWNA
15
SIEWNA
15
SIEWNA
15
SIEWNA
15
SIEWNA
15
SIEWNA
21
SIEWNA
6A
SIEWNA
9
SOLEC
2/B
SOLEC
24/26
SOLEC
24/26
SOLEC
3/5
SOLEC
3/5
SOLEC
3/5
SOLEC
3/5
SPARTAŃSKA
LUBLINEK/WYKON
SPRINTERÓW
11
Strona 23
SREBRZYŃSKA
14
SREBRZYŃSKA
1
SREBRZYŃSKA
14/1
SREBRZYŃSKA
14/2
SREBRZYŃSKA
2/4
x
x
x
x
x
x
x
x
x
x
x
x
x
x
x
x
x
x
x
x
x
x
x
x
x
x
x
x
x
x
x
x
x
x
x
x
x
x
x
x
x
x
x
x
x
x
x
x
x
x
x
x
x
x
x
x
x
x
x
x
x
x
x
x
x
x
x
x
x
x
x
x
x
x
x
x
x
x
x
x
x
x
x
x
x
x
x
x
x
x
x
K-EX SP. Z O.O.
SOLAN
PKP SA ODDZIAŁ GOSPODAROWANIA
ZOFIA WŁADYKA - ŁUCZAK
ARIMEX DAMIS SP.Z.O.O.
komumnalne i surowce
FIRMA H. SKRZYDLEWSKA WŁ. WITOLD
ROBOTNICZA SPÓŁDZIELNIA MIESZKANIOWA
INVEST-TOR
ELŻBIETA BUCHWALD
POLSKI ZWIĄZEK DZIAŁKOWCÓW RODZINNY
RODZINNY OGRÓD DZIAŁKOWY IM. MONT-WIŁA
MIEJSKI OŚRODEK SPORTU I REKREACJI
MAREK ŻYGADŁO
MARIUSZ HAJDA
OCHOTNICZA STRAŻ POŻARNA ŁÓDŹ-STARE
ADMINISTRACJA NIERUCHOMOŚCIAMI
ADMINISTRACJA NIERUCHOMOŚCIAMI
ADMINISTRACJA NIERUCHOMOŚCIAMI
PROSIŃSKA
ROBOTNICZA SPÓŁDZIELNIA MIESZKANIOWA
URBACH S.C
ADMINISTRACJA NIERUCHOMOSCIAMI ŁÓDŹADMINISTRACJA NIERUCHOMOŚCIAMI ŁÓDŹ PRZEDSZKOLE MIEJSKIE NR23 W ŁODZI
UNIWERSYTECKI SZPITAL KLINICZNY IM.WAM
CENTRUM SZKOLENIOWE SŁUŻBY OCHRONY
ZESPÓŁ SZKÓŁ PONADGIMNAZJALNYCH NR 19
POLITECHNIKA ŁÓDZKA 90-924 ŁÓDŹ UL.
MIEJSKI KLUB TENISOWY
ADMINISTRACJA NIERUCHOMOŚCIAMI ŁÓDŹ SALON FRYZJERSKI "KASIA"
PUBLICZNE GIMNAZJUM NR 24
XXXIV LICEUM OGÓLNOKSZTAŁCĄCE IM.
ANITA CHRZANOWSKA
EKO-PAP-MET EWA WÓJCIK
ANITA CHRZANOWSKA
JERONIMO MARTINS POLSKA SPÓŁKA AKCYJNA
ADMINISTRACJA NIERUCHOMOŚCIAMI ŁÓDŹ ADMINISTRACJA NIERUCHOMOŚCIAMI ŁÓDŹ ADMINISTRACJA NIERUCHOMOŚCIAMI ŁÓDŹ ADMINISTRACJA NIERUCHOMOŚCIAMI ŁÓDŹ ADMINISTRACJA NIERUCHOMOŚCIAMI ŁÓDŹ ADMINISTRACJA NIERUCHOMOŚCIAMI ŁÓDŹ ADMINISTRACJA NIERUCHOMOŚCIAMI ŁÓDŹ ADMINISTRACJA NIERUCHOMOŚCIAMI ŁÓDŹ -
SREBRZYŃSKA
SREBRZYŃSKA
SREBRZYŃSKA
SREBRZYŃSKA
SREBRZYŃSKA
komumnalne i surowce
SREBRZYŃSKA
SREBRZYŃSKA
SREBRZYŃSKA
SREBRZYŃSKA
SREBRZYŃSKA
SREBRZYŃSKA
SREBRZYŃSKA
SREBRZYŃSKA
STANISŁAWA WYSPIAŃSKIEGO
STARE ZŁOTNO
STEFANA OKRZEI
STEFANA OKRZEI
STEFANA OKRZEI
STEFANA OKRZEI
STEFANA OKRZEI
STEFANA ŻEROMSKIEGO
STEFANA ŻEROMSKIEGO
STEFANA ŻEROMSKIEGO
STEFANA ŻEROMSKIEGO
STEFANA ŻEROMSKIEGO
STEFANA ŻEROMSKIEGO
STEFANA ŻEROMSKIEGO
STEFANA ŻEROMSKIEGO
STEFANA ŻEROMSKIEGO
STEFANA ŻEROMSKIEGO
STEFANA ŻEROMSKIEGO
STEFANA ŻEROMSKIEGO
STEFANA ŻEROMSKIEGO
STEFANA ŻEROMSKIEGO
STEFANA ŻEROMSKIEGO
STEFANA ŻEROMSKIEGO
STEFANA ŻEROMSKIEGO
STEFANA ŻEROMSKIEGO
STEFANA ŻEROMSKIEGO
STEFANA ŻEROMSKIEGO
Strona 24
STEFANA ŻEROMSKIEGO
STEFANA ŻEROMSKIEGO
STEFANA ŻEROMSKIEGO
STEFANA ŻEROMSKIEGO
STEFANA ŻEROMSKIEGO
2/4
28/D
28D
37
4
44
45
63
65
73
73 A
95
99A
30
13
18
20
38
38
40
1
1A
103
105
113,92
115
115
116
117
13/1U
25
26
26
27/1U
30
31/1U
32
33/1U
33/6U
33/7U
34/10U
34/1U
34/2U
34/5U
34/7U
x
x
x
x
x
x
x
x
x
x
x
x
x
x
x
x
x
x
x
x
x
x
x
x
x
x
x
x
x
x
x
x
x
x
x
x
x
x
x
x
x
x
x
x
x
x
x
x
x
x
x
x
x
x
x
x
x
x
x
x
x
x
x
x
x
x
x
x
x
x
x
x
x
x
x
x
x
x
x
x
x
x
x
x
x
x
x
x
x
x
x
x
x
x
x
x
x
x
x
x
x
x
x
x
x
x
x
x
x
x
x
x
x
x
x
x
ADMINISTRACJA NIERUCHOMOŚCIAMI ŁÓDŹ ADMINISTRACJA NIERUCHOMOŚCIAMI ŁÓDŹ ADMINISTRACJA NIERUCHOMOŚCIAMI ŁÓDŹ "PATRONUS" S.C.
ADMINISTRACJA NIERUCHOMOŚCIAMI ŁÓDŹ komumnalne i surowce
"PATRONUS" SPÓŁKA CYWILNA
ADMINISTRACJA NIERUCHOMOŚCIAMI ŁÓDŹ "UNI-LEX" CONSULTING SP. Z O.O. W LIKWIDACJI
ADMINISTRACJA NIERUCHOMOŚCIAMI ŁÓDŹ PHUONG DONG BAR CHAU ROSA UL.
WSPOLNOT5A MIESZKANIOWA UL.
WSPÓLNOTA MIESZKANIOWA UL. ZEROMSKIEGO
ADMINISTRACJA NIERUCHOMOSCIAMI ŁÓDŹZAPĘDOWSKI
ADMINISTRACJA NIERUCHOMOŚCIAMI ŁÓDŹ ADMINISTRACJA NIERUCHOMOŚCIAMI ŁÓDŹ ZARZĄD NIERUCHOMOŚCIĄ
PPHU ZIBBART BARTŁOMIEJ DRELICH
SPÓŁDZIELNIA MIESZKANIOWA
ZARZĄD NIERUCHOMOŚCI WOJEWÓDZTWA
GOLD SPORT P.W.H.P.U. SPÓŁÓKA JAWNA
WITOLD MAZUROWSKI
ŁÓDZKI URZĄD WOJEWÓDZKI W ŁODZI
KOMENDA WOJEWÓDZKA POLICJI W ŁODZI, UL.
ADMINISTRACJA NIERUCHOMOŚCIAMI ŁÓDŹ "AGRAF" SPÓŁKA Z OGRANICZONĄ
VARITEX
ADMINISTRACJA NIERUCHOMOŚCIAMI ŁÓDŹ "STRAŻNICA"
FIRMA "BO MAG" BOŻENA PIEKARSKA
STOWARZYSZENIE PRZYJACIÓŁ OSÓB
VIKING S.C. MAŁGORZATA PAWLAK MONIKA
"STRAŻNICA"
SUPON-ŁÓDŹ SP. Z O.O. 91-072 ŁÓDŹ, UL. ŚW.
KATARZYNA STĘPLOWSKA
ADMINISTRACJA NIERUCHOMOSCIAMI ŁÓDŹBARBARA KOŁCZYŃSKA
BP EUROPA SE SPÓŁKA EUROPEJSKA ODDZIAŁ E
PHU PROFI SERWIS OPON P. DENKOWICZ I D.
MISZCZAK
MIKOSIŃSKA
VIOLETTA MATYSIAK
PKP SA ODDZIAŁ GOSPODAROWANIA
POLSKI ZWIĄZEK DZIAŁKOWCÓW
MIEJSKI OŚRODEK SPORTU I REKREACJI
STEFANA ŻEROMSKIEGO
34/8U
STEFANA ŻEROMSKIEGO
34/9U
STEFANA ŻEROMSKIEGO
36
STEFANA ŻEROMSKIEGO
39
STEFANA ŻEROMSKIEGO
41
komumnalne i surowce
STEFANA ŻEROMSKIEGO
42
STEFANA ŻEROMSKIEGO
44
STEFANA ŻEROMSKIEGO
46
STEFANA ŻEROMSKIEGO
47
STEFANA ŻEROMSKIEGO
47
STEFANA ŻEROMSKIEGO
47
STEFANA ŻEROMSKIEGO
49
STEFANA ŻEROMSKIEGO
5
STEFANA ŻEROMSKIEGO
53
STEFANA ŻEROMSKIEGO
54
STEFANA ŻEROMSKIEGO
57
STEFANA ŻEROMSKIEGO
68
STEFANA ŻEROMSKIEGO
71
STEFANA ŻEROMSKIEGO
74
STEFANA ŻEROMSKIEGO
74/76
STEFANA ŻEROMSKIEGO
76/78
STEFANA ŻEROMSKIEGO
77/79/1
STEFANA ŻEROMSKIEGO
87
STEFANA ŻEROMSKIEGO
88
STEFANA ŻEROMSKIEGO
93
STEFANA ŻEROMSKIEGO
94B, C
STEFANA ŻEROMSKIEGO
96
STEFANA ŻEROMSKIEGO
97
SUMOWA
7/11
SZEREGOWA
23
ŚW. JERZEGO
10\\12
ŚW. JERZEGO
14/16
ŚW. JERZEGO
22A
ŚW. JERZEGO
8
TARNOWSKA
3A
TARNOWSKA
8
TOBRUK
7
TOMASZA ZANA
3/11
TOWAROWA
5
TRAKTOROWA
128/BRAMA NR 8
Strona 25
TRAKTOROWA
13
TURNIEJOWA
1
UNII LUBELSKIEJ
1
UNII LUBELSKIEJ
1/7
UNII LUBELSKIEJ
2
x
x
x
x
x
x
x
x
x
x
x
x
x
x
x
x
x
x
x
x
x
x
x
x
x
x
x
x
x
x
x
x
x
x
x
x
x
x
x
x
x
x
x
x
x
x
x
x
x
x
x
x
x
x
x
x
x
x
x
x
x
x
x
x
x
x
x
x
x
x
x
x
x
x
x
x
x
x
x
x
x
x
x
x
x
x
x
x
x
x
x
x
x
x
x
x
x
x
x
x
x
x
x
x
x
x
x
x
x
x
x
x
DC SYSTEM "COMPANY" SP. Z O.O. SPÓŁKA
MADEJ
PKP SA ODDZIAŁ GOSPODAROWANIA
TK TELEKOM SP Z O.O.
PKP POLSKIE LINIE KOLEJOWE S,A, ZAKLAD LINII
komumnalne i surowce
AQUA PARK ŁÓDŹ SP. Z O.O.
TK TELEKOM SP Z O.O.
SKLEP ŻABKA
JANUSZ MAJ
WASILEWSKA
"FOCUS" HALINA KUPHAL
EDYTA KOZŁOWSKA
KRZYSZTOF BĄK
ANNA BOŻEK
DANIELA DROŻDŻ
SPÓŁDZIELNIA MIESZKANIOWA
GRAŻYNA PIÓREK MACIEJ PIÓREK
EWA SKIBA
SKLEP ZOOLOGICZNY JERZY DYLIK
MIROSŁAW WIŚNIEWSKI
KORNELIA KAROLAK
K.F.D "ARCHITEKT"
JADWIGA GLAPIŃSKA
REGEX POLSKA SP Z O.O
PPHU DARIA D.JANKOWICZ
PRZEDSIĘBIORSTWO PRODUKCYJNO
MERITUM SP.J TOMASZ CIEŚLAK, FILIP CIESLAK
ADMINISTRACJA NIERUCHOMOŚCIAMI ŁÓDŹ MRÓZ
KRYGOWSKI ROBERT CASTORAMA POLSKA SP Z
P.H.U. "AKROPOL" S.C.
ADMINISTRACJA NIERUCHOMOŚCIAMI ŁÓDŹ TURBOSERVICE SP. Z O.O.
BERNASIAK
FOR ANN TOM PAP.E.IGNOR&A.T.OSTROWSKI
PRINT EXTRA STUDIO GRAFICZNE DRUKARNIA
ZBIGNIEW PRAJS
M.P. AUTOSERVICE S.C. M.WAWRZYNIAK
SPOŁECZNY ZARZĄD UŻYTKOWNIKÓW
SZKOŁA PODSTAWOWA NR 164
KAUFLAND POLSKA MARKETY SP ZOO
SKLEP OGÓLNOSPOŻYWCZY JACEK KNUTTE
MULTIMATIC SP Z O.O.
BIOCOM SP. Z O.O
AUTO SERVICE "WASIAK" MIROSŁAW WASIAK 94-
UNII LUBELSKIEJ
3/5
UNII LUBELSKIEJ
3/5
UNII LUBELSKIEJ
3/5
UNII LUBELSKIEJ
3/5
UNII LUBELSKIEJ
3/5/NASTAWNIA
komumnalne i surowce
UNII LUBELSKIEJ
4
UNII LUBELSKIEJ
7
WALEREGO WRÓBLEWSKIEGO
128
WALEREGO WRÓBLEWSKIEGO
110
WALEREGO WRÓBLEWSKIEGO
118
WALEREGO WRÓBLEWSKIEGO
128
WALEREGO WRÓBLEWSKIEGO
128
WALEREGO WRÓBLEWSKIEGO
128/128
WALEREGO WRÓBLEWSKIEGO
130 A /23
WALEREGO WRÓBLEWSKIEGO
130 A/BOX15
WALEREGO WRÓBLEWSKIEGO
130A
WALEREGO WRÓBLEWSKIEGO
130A/13
WALEREGO WRÓBLEWSKIEGO
130A/16
WALEREGO WRÓBLEWSKIEGO
130A/27
WALEREGO WRÓBLEWSKIEGO
130A/29
WALEREGO WRÓBLEWSKIEGO
130A/KIOSK NR 5
WALEREGO WRÓBLEWSKIEGO
130A/PAW. 8
WALEREGO WRÓBLEWSKIEGO
134/1
WALEREGO WRÓBLEWSKIEGO
19
WALEREGO WRÓBLEWSKIEGO
19/23
WALEREGO WRÓBLEWSKIEGO
19A
WALEREGO WRÓBLEWSKIEGO
19B
WALEREGO WRÓBLEWSKIEGO
27
WALEREGO WRÓBLEWSKIEGO
3/5
WALEREGO WRÓBLEWSKIEGO
31
WALEREGO WRÓBLEWSKIEGO
33
WALEREGO WRÓBLEWSKIEGO
37
WALEREGO WRÓBLEWSKIEGO
38 A
WALEREGO WRÓBLEWSKIEGO
39/41
WALEREGO WRÓBLEWSKIEGO
39/41
WALEREGO WRÓBLEWSKIEGO
39/41
WALEREGO WRÓBLEWSKIEGO
39/41
WALEREGO WRÓBLEWSKIEGO
41
WALEREGO WRÓBLEWSKIEGO
49
WALEREGO WRÓBLEWSKIEGO
65
Strona 26
WALEREGO WRÓBLEWSKIEGO
68
WALEREGO WRÓBLEWSKIEGO
69
WALEREGO WRÓBLEWSKIEGO
86
WALEREGO WRÓBLEWSKIEGO
88
WALEREGO WRÓBLEWSKIEGO
90/-
x
x
x
x
x
x
x
x
x
x
x
x
x
x
x
x
x
x
x
x
x
x
x
x
x
x
x
x
x
x
x
x
x
x
x
x
x
x
x
x
x
x
x
x
x
x
x
x
x
x
x
x
x
x
x
x
x
x
x
x
x
x
x
x
x
x
x
x
x
x
x
x
x
x
x
x
x
x
x
x
x
x
x
x
x
x
x
x
x
x
x
x
x
x
x
x
x
x
x
x
x
x
x
x
x
x
x
x
x
x
x
x
x
x
x
x
DIESEL CZĘŚCI MAŁGORZATA WOŁODKO
KOŁACZYK
KUŚMIERCZAK
FIRMA USŁUGOWO HANDLOWA "SUN-GRAND"
PKP POLSKIE LINIE KOLEJOWE S,A, ZAKLAD LINII
komumnalne i surowce
PKP POLSKIE LINIE KOLEJOWE S,A, ZAKLAD LINII
PKP POLSKIE LINIE KOLEJOWE S,A, ZAKLAD LINII
ADMINISTRACJA NIERUCHOMOŚCIAMI
PUBLICZNE GIMNAZJUM NR 19
PRZEDSZKOLE NIEPUBLICZNE PAPIEROWY
MŁODZIEŻOWY OŚRODEK SOCJOTERAPII "SOS"
MIEJSKI ZESPÓŁ ŻŁOBKÓW
GOLA
ANDRZEJ JĘDRZEJCZAK
SWISSCOLOR J.J. ECKERSDORF SPÓŁKA JAWNA
IKO SPÓŁKA Z OGRANICZONĄ
PROSPER TOMASZ ZIELEWSKI UL. WILEŃSKA 10
SPÓŁDZIELNIA MIESZKANIOWA
T.T. ZŁOTNICKI
VIBROSON ŁÓDŹ DR INŻ. A. PODSĘDKOWSKI SP.
KOBIERSKA-PÓLKOWSKA
LASKOWSKI
PRZEDSZKOLE MIEJSKIE NR 112
"DAMARGO" SP. JAWNA 94-029 ŁÓDŹ, UL.
CUKIERNIA BASSENDOWSKI SC PAWEŁ
XXVI LICEUM OGÓLNOKSZTAŁCĄCE IM.
ZESPÓŁ OPIEKI ZDROWOTNEJ
WOJEWÓDZKI SPECJALISTYCZNY SZPITAL IM.
ESSEN-LAND SP.J.,KACPRZAK,H.JABŁOŃSKA
SPÓŁDZIELNIA MIESZKANIOWA
#ADR!
MAR-AD MEBLE MARIUSZ ZYCH
SPÓŁDZIELNIA MIESZKANIOWA POLESIE
SPÓŁDZIELNIA MIESZKANIOWA POLESIE
GRZEGORZ LAO
ZESPÓŁ EKONOMICZNO-ADMINISTRACJNY
"SPOŁEM" ŁÓDZKA SPÓŁDZIELNIA SPOŻYWCÓW
KUBALA
SPÓŁDZIELNIA MIESZKANIOWA POLESIE
ADMINISTRACJA NIERUCHOMOŚCIAMI ŁÓDŹ WIDLIŃSKI
ANDRZEJ ROGUZIŃSKI
EDMUND GŁOGOWSKI
LECZNICA WETERYNARYJNA "AS" S.C.
WALEREGO WRÓBLEWSKIEGO
90/92
WALEREGO WRÓBLEWSKIEGO
90/92
WALEREGO WRÓBLEWSKIEGO
90-92
WALEREGO WRÓBLEWSKIEGO
92
WALEREGO WRÓBLEWSKIEGO
nastawnia /dysponując
komumnalne i surowce
WALEREGO WRÓBLEWSKIEGO
SCHRONISKO/drogowe
WALEREGO WRÓBLEWSKIEGO STRAZNICA/PRZEJAZDOW
WAPIENNA
15
x
WAPIENNA
17
x
WAPIENNA
21 A
x
WAPIENNA
24A
x
WAPIENNA
29
x
WAPIENNA
35
WAPIENNA
55
WILEŃSKA
38
WILEŃSKA
10
WILEŃSKA
10
WILEŃSKA
10
WILEŃSKA
10
WILEŃSKA
10
WILEŃSKA
10/BUD A
WILEŃSKA
11
WILEŃSKA
20A
WILEŃSKA
22
WILEŃSKA
22
WILEŃSKA
22A
WILEŃSKA
25
WILEŃSKA
37
WILEŃSKA
38
x
WILEŃSKA
38
x
WILEŃSKA
38
x
WILEŃSKA
38
x
WILEŃSKA
4/8
WILEŃSKA
44A
x
WILEŃSKA
50
x
WILEŃSKA
53/55
WILEŃSKA
53/55
WILEŃSKA
59
x
WILEŃSKA
59
x
WILEŃSKA
59
x
Strona 27
WILEŃSKA
69
x
WILEŃSKA
9/11
WINCENTEGO TOMASZEWICZA
01/2-3
x
WINCENTEGO TOMASZEWICZA
1
x
WINCENTEGO TOMASZEWICZA
1
x
x
x
x
x
x
x
x
x
x
x
x
x
x
x
x
x
x
x
x
x
x
x
x
x
x
x
x
x
x
x
x
x
x
x
x
x
x
x
x
x
x
x
x
x
x
x
x
x
x
x
x
x
x
x
x
x
x
x
x
x
x
x
x
x
x
x
x
x
x
x
x
x
x
x
x
x
x
x
x
x
x
x
x
x
x
x
x
x
x
x
x
x
x
x
x
x
x
x
x
x
AGNIESZKA KULCZYŃSKA
GABINET STOMATOLOGICZNY MARCIN
PAULINA KŁOS
DANUTA WRÓBLEWSKA
MIEJSKI ZESPÓŁ ŻŁOBKÓW
komumnalne i surowce
SABINA PŁUCIENNIK - PLEWIŃSKA
SKLEP MIĘSNO - SPOŻYWCZY , BAR
SIERAKOWSKI TOMASZ
PKP POLSKIE LINIE KOLEJOWE S,A, ZAKLAD LINII
STATOIL FUEL&RETAIL POLSKA
CZARNOTA
PRZEDSIĘBIORSTWO KOMUNIKACJI
HENRYKA OLSZYCKA
THERMEX TECHNIKA GRZEWCZA
PKP SA ODDZIAŁ GOSPODAROWANIA
PKP SA ODDZIAŁ GOSPODAROWANIA
PKP SA ODDZIAŁ GOSPODAROWANIA
PKP SA ODDZIAŁ GOSPODAROWANIA
WIDORA PLUS, 90-317 ŁÓDŹ, UL.ORLA 23
ZAWSTAL SPÓŁKA Z OGRANICZONĄ
JOANNA KOŁODZIEJ
PKP SA ODDZIAŁ GOSPODAROWANIA
P.H.U. PARKTETUS JAROSŁAW MASTERNAK I SPKP SA ODDZIAŁ GOSPODAROWANIA
POCZTA POLSKA S.A.
ALUTEK AGNIESZKA PEDA
HALINA GRUSZCZYŃSKA
PPHU MAGDA
FUNDACJA NOWEJ FILOZOFII NATURY THC
SKLEPY KOMFORT S.A
WIKANA NIERUCHOMOŚCI SP Z O.O.
ADMINISTRACJA NIERUCHOMOŚCIAMI ŁÓDŹ ELKOMTECH S.A.
POWSZECHNY ZAKŁAD UBEZPIECZEŃ SPÓŁKA
ADMINISTRACJA NIERUCHOMOŚCIAMI ŁÓDŹ GAŁKIEWICZ-KŁOSIŃSKA
CENTRUM JĘZYKOWE JAGÓRA I STAŃCZYK S.J.
ANNA LESZCZYŃSKA
ADMINISTRACJA NIERUCHOMOŚCIAMI ŁÓDŹ JADOMEK ZN
RAMONNA FIRMA KONFEKCYJNA U.P.H. ŁODŹ UL.
KURZAWIŃSKI ZDZISŁAW KURZAWIŃSKI MICHAŁ
ADMINISTRACJA NIERUCHOMOŚCIAMI ŁÓDŹ LASKOWSKA
WSPÓLNOTA MIESZKANIOWA WÓLCZAŃSKA 149
WIOŚLARSKA
WIOŚLARSKA
WIOŚLARSKA
WIOŚLARSKA
WIOŚLARSKA
komumnalne i surowce
WIOŚLARSKA
WŁADYSŁAWA KRÓLA
WŁADYSŁAWA SYROKOMLI
WŁÓKNIARZY
WŁÓKNIARZY
WŁÓKNIARZY
WŁÓKNIARZY
WŁÓKNIARZY
WŁÓKNIARZY
WŁÓKNIARZY
WŁÓKNIARZY
WŁÓKNIARZY
WŁÓKNIARZY
WŁÓKNIARZY
WŁÓKNIARZY
WŁÓKNIARZY
WŁÓKNIARZY
WŁÓKNIARZY
WŁÓKNIARZY
WŁÓKNIARZY
WŁÓKNIARZY
WŁÓKNIARZY
WŁÓKNIARZY
WŁÓKNIARZY
WŁÓKNIARZY
WŁÓKNIARZY
WOŁOWA
WOŁOWA
WÓLCZAŃSKA
WÓLCZAŃSKA
WÓLCZAŃSKA
WÓLCZAŃSKA
WÓLCZAŃSKA
WÓLCZAŃSKA
WÓLCZAŃSKA
Strona 28
WÓLCZAŃSKA
WÓLCZAŃSKA
WÓLCZAŃSKA
WÓLCZAŃSKA
WÓLCZAŃSKA
/27A
19
21A
25/1
27
9A
31
4
201/0
202
203
203-205
204
205
207
209
211
211A
217
217
219
219
221
221/225
227
234
234
234
234/A
236
236
2A
2C
103
105/107
125
127
13
139
141
141
143
145
149
149
x
x
x
x
x
x
x
x
x
x
x
x
x
x
x
x
x
x
x
x
x
x
x
x
x
x
x
x
x
x
x
x
x
x
x
x
x
x
x
x
x
x
x
x
x
x
x
x
x
x
x
x
x
x
x
x
x
x
x
x
x
x
x
x
x
x
x
x
x
x
x
x
x
x
x
x
x
x
x
x
x
x
x
x
x
x
x
x
x
x
x
x
x
x
x
x
x
JOLANTA PIĄSTKA
WSPÓLNOTA MIESZKANIOWA WÓLCZAŃSKA 165
ADMINISTRACJA NIERUCHOMOŚCIAMI ŁÓDŹ PRZEDSIĘBIORSTWO SPEKTRUM
WOJEWÓDZKI SPECJALISTYCZNY SZPITAL IM.
komumnalne i surowce
MIEDZYNARODOWE TAGI ŁÓDZKIE SPÓŁKA
ADMINISTRACJA NIERUCHOMOŚCIAMI ŁÓDŹ FUNDACJA RÓWNE SZANSE
STOWARZYSZENIE MONAR OŚRODEK LECZENIA,
TERESA KOSMALA
"PATRONUS" SPÓŁKA CYWILNA
PRZEDSZKOLE MIEJSKIE NR 54
"PATRONUS" S.C.
WOJEWÓDZKI URZĄD PRACY W ŁODZI
POLSKIE TOWARZYSTWO EKONOMICZNE
FRASZYŃSKI
INSTYTUT O NAZWIE:CENTRALNY OŚRODEK
MARTA CZAPNIK
SELENE SP Z.O.O
"AGATKA" BEATA SZYMCZAK KILIŃSKIEGO
ADMINISTRACJA NIERUCHOMOŚCIAMI ŁÓDŹ "COSINUS" JAROSŁAW ŁUKOWICZ
ZOFIA SZUSTKIEWICZ-KURAC
ŁÓDZKA KORPORACJA OŚWIATOWA SP. Z O.O.
TAŃSKI
ADMINISTRACJA NIERUCHOMOŚCIAMI ŁÓDŹ DOM DZIECKA NR 5
PARTNER 2000
JERONIMO MARTINS POLSKA SPÓŁKA AKCYJNA
MARISS S.C. PIOTR STAWIŃSKI , KRZYSZTOF
MIEJSKIE PRZEDSIĘBIORSTWO OCZYSZCZANIA
ZARZĄD ZIELENI MIEJSKIEJ
VASCAR GRZEGORZ ZIEMECKI
KLASZTOR BŁ.PIOTRA JERZEGO FRASSATIEGO
ADMINISTRACJA NIERUCHOMOŚCIAMI ŁÓDŹ BŁAJA NEWS SPÓŁKA Z OGRANICZONĄ
WSPÓLNOTA MIESZKANIOWA UL. ZIELONA 16
EDMON EDYTA KOSMALSKA
WSPÓLNOTA MIESZKANIOWA 90-602 ŁÓDZ UL.
ADMINISTRACJA NIERUCHOMOŚCIAMI ŁÓDŹ ZBIGNIEW BINIKOWSKI
WSPÓLNOTA MIESZKANIOWA UL. ZIELONA 30
SPÓŁDZIELNIA MIESZKANIOWA POLESIE
KRZYSZTOF GARDJAS
WSPÓLNOTA MIESZKANIOWA 6-GO SIERPNIA 44A
WÓLCZAŃSKA
WÓLCZAŃSKA
WÓLCZAŃSKA
WÓLCZAŃSKA
WÓLCZAŃSKA
komumnalne i surowce
WÓLCZAŃSKA
WÓLCZAŃSKA
WÓLCZAŃSKA
WÓLCZAŃSKA
WÓLCZAŃSKA
WÓLCZAŃSKA
WÓLCZAŃSKA
WÓLCZAŃSKA
WÓLCZAŃSKA
WÓLCZAŃSKA
WÓLCZAŃSKA
WÓLCZAŃSKA
WÓLCZAŃSKA
WÓLCZAŃSKA
WÓLCZAŃSKA
WÓLCZAŃSKA
WÓLCZAŃSKA
WÓLCZAŃSKA
WÓLCZAŃSKA
WÓLCZAŃSKA
WYGODNA
WYGODNA
WYGODNA
ZAGRODNIKI
ZAKRĘT
ZAMIEJSKA
ZAMIEJSKA
ZBROJNA
ZIELONA
ZIELONA
ZIELONA
ZIELONA
ZIELONA
ZIELONA
ZIELONA
Strona 29
ZIELONA
ZIELONA
ZIELONA
ZIELONA
ZIELONA
161/0
165
167
19
191/195
199
225
225
225
25
27
33
37
49
51
53
55/59
67
73
77
79
81
9
93
97
1
20
23
8
14
1
14
13
14
15
16
17
25
26
29
30
31
32
34
x
x
x
x
x
x
x
x
x
x
x
x
x
x
x
x
x
x
x
x
x
x
x
x
x
x
x
x
x
x
x
x
x
x
x
x
x
x
x
x
x
x
x
x
x
x
x
x
x
x
x
x
x
x
x
x
x
x
x
x
x
x
x
x
x
x
x
x
x
x
x
x
x
x
x
x
x
x
x
x
x
x
x
x
x
x
x
x
x
x
x
x
x
x
x
x
x
x
x
x
x
x
x
x
"PATRONUS" SPÓŁKA CYWILNA
ADMINISTRACJA NIERUCHOMOŚCIAMI ŁÓDŹ ADMINISTRACJA NIERUCHOMOŚCIAMI ŁÓDŹ WSPÓLNOTA MIESZKANIOWA 6-GO SIERPNIA 44A
"STYKS" SPÓŁKA CYWILNA 90-604 ŁÓDŹ , UL.
komumnalne i surowce
ELEKTROLAND HURTOWNIA
TOMASZ DESPERAK T.DESPERAK
P.P.H.U. D& D SPÓŁKA JAWNA
PRZEDSIĘBIORSTWO HANDLOWO USŁUGOWOCETECO SPÓŁKA Z OGRANICZONĄ
ALREH MEDICAL SPÓŁKA Z OGRANICZONĄ
MARCIN GARNCAREK
SERWIS BLACHARSKO-LAKIERNICZY WIESŁAW
MARIAN KUREK
PIOTR WASIK
JAROSŁAW CYNKIER
POLSKI ZWIĄZEK DZIAŁKOWCÓW ROD IM
PRZYCHODNIA WETERYNARYJNA "NA ZŁOTNIE"
JÓZEF KOŁODZIEJ
PRZEDSIĘBIORSTWO
"SPOŁEM" ŁÓDZKA SPÓŁDZIELNIA SPOŻYWCÓW
MIROSŁAW PASTERNAK
SZYMANIAK
PPHU ELWIX KWIACIARNIA ŁÓDŹ UL. ZLOTNO 76
ALEKSANDRA JĘDRASZEK
HOTEL-RESTAURACJA YUCA SC.
HOTEL-RESTAURACJA YUCA SC.
WSPÓLNOTA MIESZKANIOWA
REDAN S.A.
RENT GRUP SP. Z O.O.
ALEKSANDRA GISKA
ZIELONA
ZIELONA
ZIELONA
ZIELONA
ZIELONA
komumnalne i
ZIELONA
ZIELONA
ZIELONA
ZŁOTNO
ZŁOTNO
ZŁOTNO
ZŁOTNO
ZŁOTNO
ZŁOTNO
ZŁOTNO
ZŁOTNO
ZŁOTNO
ZŁOTNO
ZŁOTNO
ZŁOTNO
ZŁOTNO
ZŁOTNO
ZŁOTNO
ZŁOTNO
ZŁOTNO
ZŁOTNO
ZŁOTNO
ZYGMUNTA LORENTZA
ŻNIWNA
ŻNIWNA
ŻNIWNA
surowce
Strona 30
40
41/1U
41/2U
44A
51
55
61
76
124A
125/127
135
173
205
23
25
34
4
41/1
45
47
60/62
67
70
76
79
83
96
1
10/14
4/8
8a
x
x
x
x
x
x
x
x
x
x
x
x
x
x
x
x
x
x
x
x
x
x
x
x
x
x
x
x
x
x
x
x
x
x
x
x
x
x
x
x
x
x
x
x
x
x
x
x
x
x
x
x
x
x
x