Uporz¹dkuj wymienione poni¿ej akty prawne wed³ug hierarchii

Transkrypt

Uporz¹dkuj wymienione poni¿ej akty prawne wed³ug hierarchii
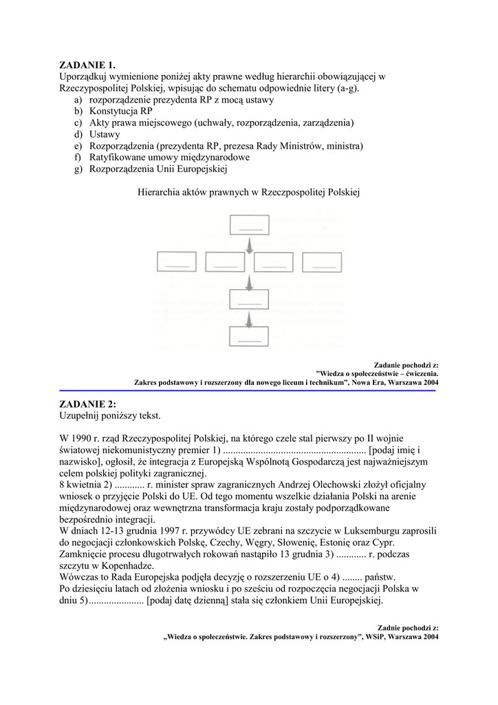
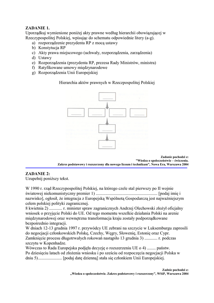
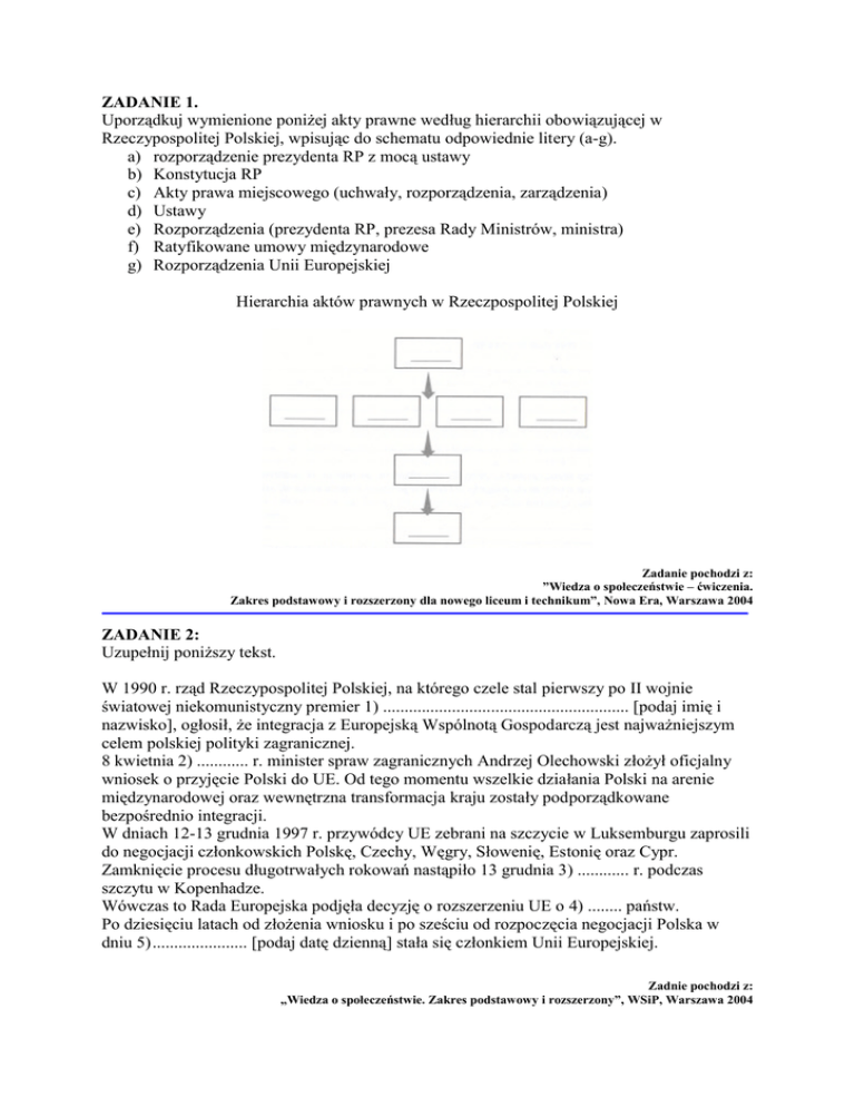
ZADANIE 1.
Uporządkuj wymienione poniżej akty prawne według hierarchii obowiązującej w
Rzeczypospolitej Polskiej, wpisując do schematu odpowiednie litery (a-g).
a) rozporządzenie prezydenta RP z mocą ustawy
b) Konstytucja RP
c) Akty prawa miejscowego (uchwały, rozporządzenia, zarządzenia)
d) Ustawy
e) Rozporządzenia (prezydenta RP, prezesa Rady Ministrów, ministra)
f) Ratyfikowane umowy międzynarodowe
g) Rozporządzenia Unii Europejskiej
Hierarchia aktów prawnych w Rzeczpospolitej Polskiej
Zadanie pochodzi z:
”Wiedza o społeczeństwie – ćwiczenia.
Zakres podstawowy i rozszerzony dla nowego liceum i technikum”, Nowa Era, Warszawa 2004
ZADANIE 2:
Uzupełnij poniższy tekst.
W 1990 r. rząd Rzeczypospolitej Polskiej, na którego czele stal pierwszy po II wojnie
światowej niekomunistyczny premier 1) ......................................................... [podaj imię i
nazwisko], ogłosił, że integracja z Europejską Wspólnotą Gospodarczą jest najważniejszym
celem polskiej polityki zagranicznej.
8 kwietnia 2) ............ r. minister spraw zagranicznych Andrzej Olechowski złożył oficjalny
wniosek o przyjęcie Polski do UE. Od tego momentu wszelkie działania Polski na arenie
międzynarodowej oraz wewnętrzna transformacja kraju zostały podporządkowane
bezpośrednio integracji.
W dniach 12-13 grudnia 1997 r. przywódcy UE zebrani na szczycie w Luksemburgu zaprosili
do negocjacji członkowskich Polskę, Czechy, Węgry, Słowenię, Estonię oraz Cypr.
Zamknięcie procesu długotrwałych rokowań nastąpiło 13 grudnia 3) ............ r. podczas
szczytu w Kopenhadze.
Wówczas to Rada Europejska podjęła decyzję o rozszerzeniu UE o 4) ........ państw.
Po dziesięciu latach od złożenia wniosku i po sześciu od rozpoczęcia negocjacji Polska w
dniu 5) ...................... [podaj datę dzienną] stała się członkiem Unii Europejskiej.
Zadnie pochodzi z:
„Wiedza o społeczeństwie. Zakres podstawowy i rozszerzony”, WSiP, Warszawa 2004