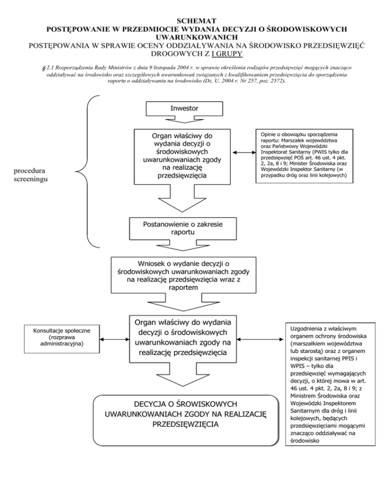
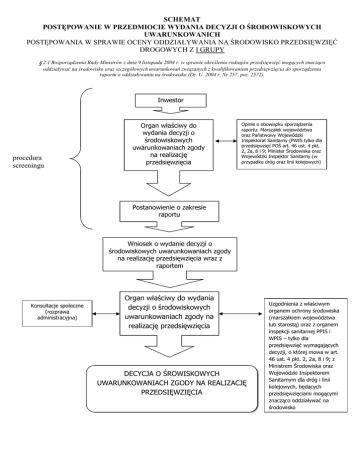
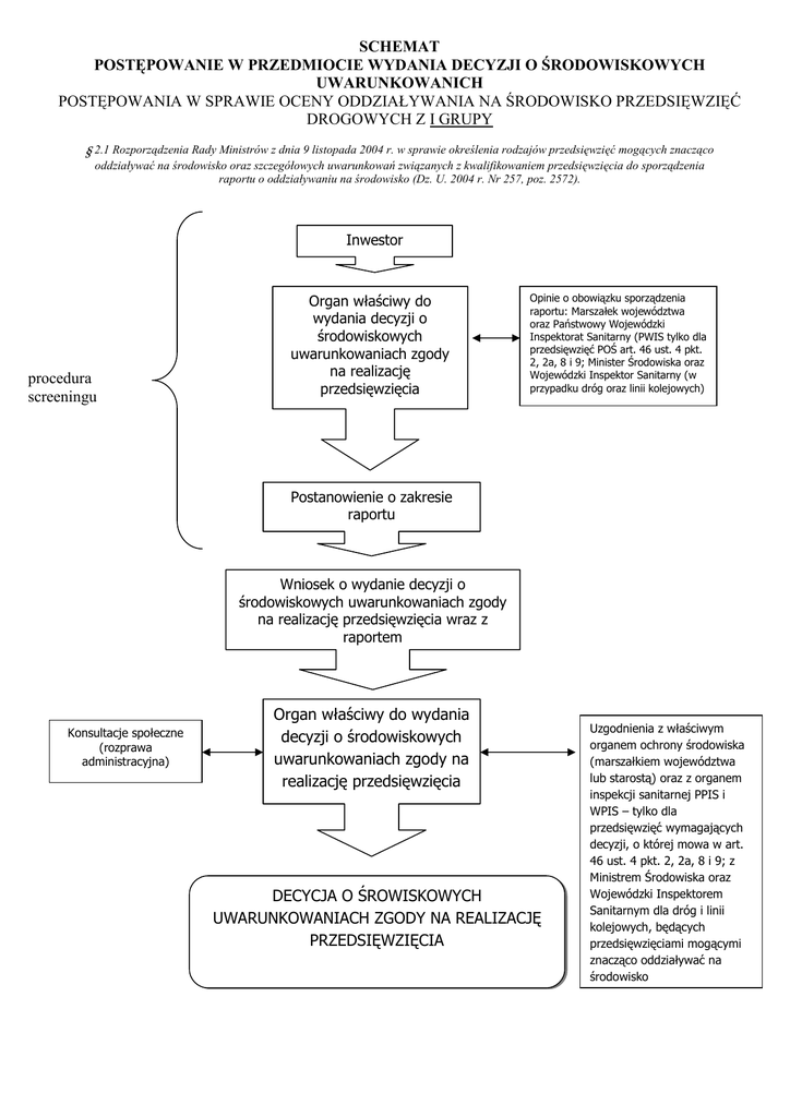
schemat i grupa

Transkrypt

schemat i grupa
SCHEMAT
POSTĘPOWANIE W PRZEDMIOCIE WYDANIA DECYZJI O ŚRODOWISKOWYCH
UWARUNKOWANICH
POSTĘPOWANIA W SPRAWIE OCENY ODDZIAŁYWANIA NA ŚRODOWISKO PRZEDSIĘWZIĘĆ
DROGOWYCH Z I GRUPY
§ 2.1 Rozporządzenia Rady Ministrów z dnia 9 listopada 2004 r. w sprawie określenia rodzajów przedsięwzięć mogących znacząco
oddziaływać na środowisko oraz szczegółowych uwarunkowań związanych z kwalifikowaniem przedsięwzięcia do sporządzenia
raportu o oddziaływaniu na środowisko (Dz. U. 2004 r. Nr 257, poz. 2572).
Inwestor
procedura
screeningu
Organ właściwy do
wydania decyzji o
środowiskowych
uwarunkowaniach zgody
na realizację
przedsięwzięcia
Opinie o obowiązku sporządzenia
raportu: Marszałek województwa
oraz Państwowy Wojewódzki
Inspektorat Sanitarny (PWIS tylko dla
przedsięwzięć POŚ art. 46 ust. 4 pkt.
2, 2a, 8 i 9; Minister Środowiska oraz
Wojewódzki Inspektor Sanitarny (w
przypadku dróg oraz linii kolejowych)
Postanowienie o zakresie
raportu
Wniosek o wydanie decyzji o
środowiskowych uwarunkowaniach zgody
na realizację przedsięwzięcia wraz z
raportem
Konsultacje społeczne
(rozprawa
administracyjna)
Organ właściwy do wydania
decyzji o środowiskowych
uwarunkowaniach zgody na
realizację przedsięwzięcia
DECYCJA O ŚROWISKOWYCH
UWARUNKOWANIACH ZGODY NA REALIZACJĘ
PRZEDSIĘWZIĘCIA
Uzgodnienia z właściwym
organem ochrony środowiska
(marszałkiem województwa
lub starostą) oraz z organem
inspekcji sanitarnej PPIS i
WPIS – tylko dla
przedsięwzięć wymagających
decyzji, o której mowa w art.
46 ust. 4 pkt. 2, 2a, 8 i 9; z
Ministrem Środowiska oraz
Wojewódzki Inspektorem
Sanitarnym dla dróg i linii
kolejowych, będących
przedsięwzięciami mogącymi
znacząco oddziaływać na
środowisko