zal 03_Kosztorys ofertowy_4

Transkrypt

zal 03_Kosztorys ofertowy_4
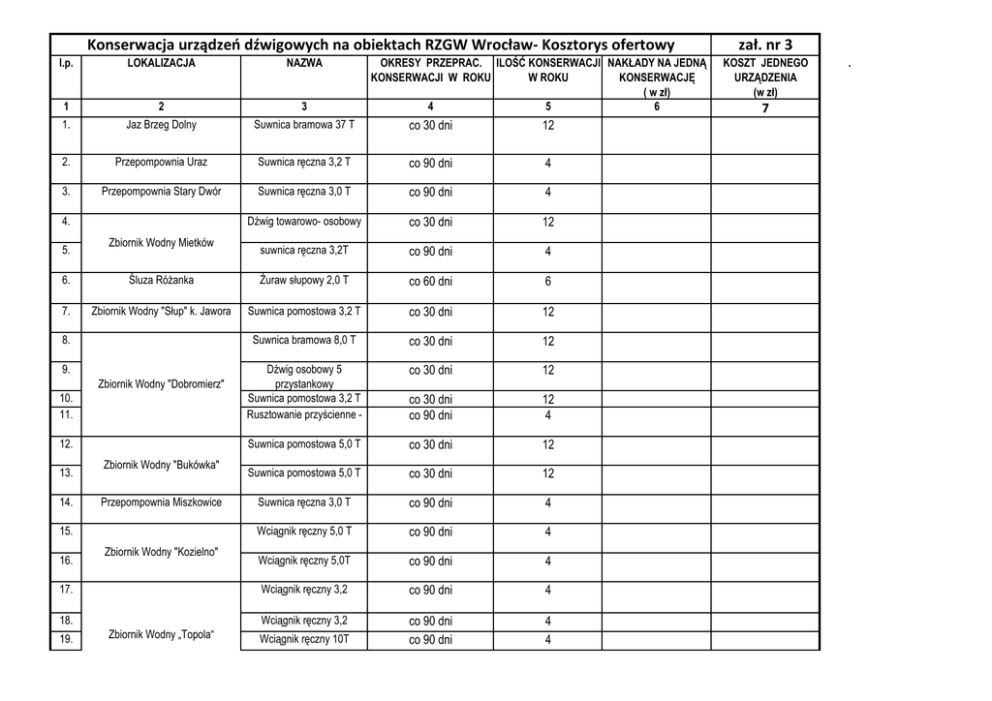
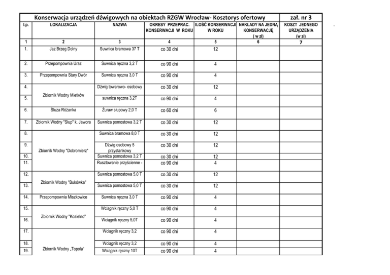
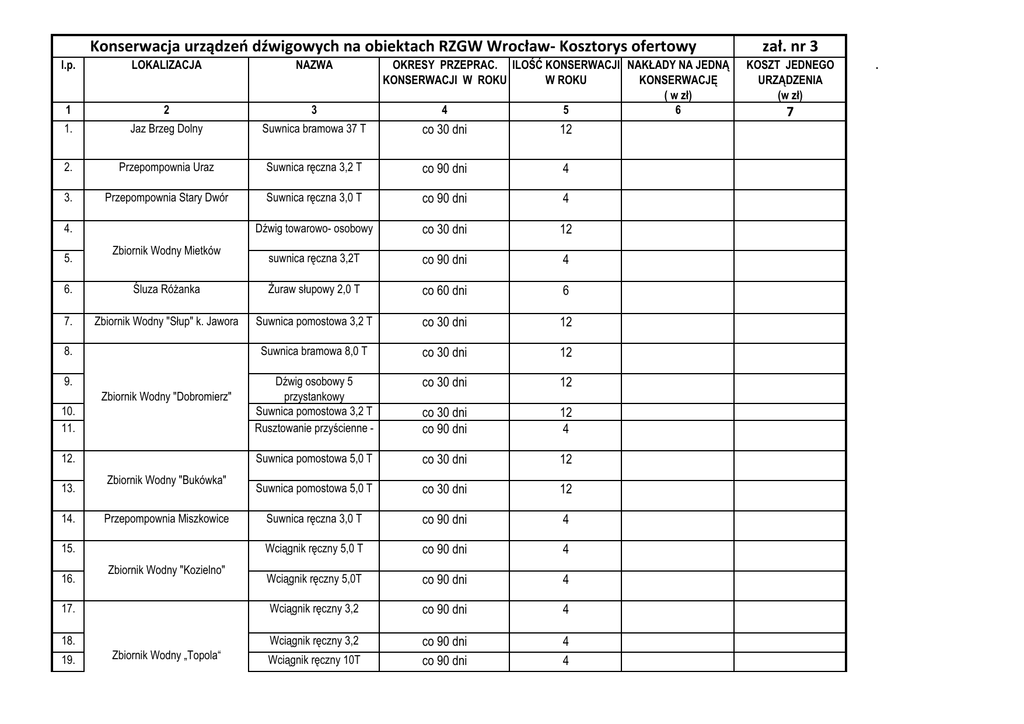
Konserwacja urządzeń dźwigowych na obiektach RZGW Wrocław- Kosztorys ofertowy
OKRESY PRZEPRAC. ILOŚĆ KONSERWACJI NAKŁADY NA JEDNĄ
KONSERWACJI W ROKU
W ROKU
KONSERWACJĘ
( w zł)
4
5
6
l.p.
LOKALIZACJA
NAZWA
1
2
3
1.
Jaz Brzeg Dolny
Suwnica bramowa 37 T
co 30 dni
12
2.
Przepompownia Uraz
Suwnica ręczna 3,2 T
co 90 dni
4
3.
Przepompownia Stary Dwór
Suwnica ręczna 3,0 T
co 90 dni
4
Dźwig towarowo- osobowy
co 30 dni
12
suwnica ręczna 3,2T
co 90 dni
4
4.
5.
Zbiornik Wodny Mietków
6.
Śluza Różanka
Żuraw słupowy 2,0 T
co 60 dni
6
7.
Zbiornik Wodny "Słup" k. Jawora
Suwnica pomostowa 3,2 T
co 30 dni
12
Suwnica bramowa 8,0 T
co 30 dni
12
co 30 dni
12
10.
11.
Dźwig osobowy 5
przystankowy
Suwnica pomostowa 3,2 T
Rusztowanie przyścienne -
co 30 dni
co 90 dni
12
4
12.
Suwnica pomostowa 5,0 T
co 30 dni
12
Suwnica pomostowa 5,0 T
co 30 dni
12
Suwnica ręczna 3,0 T
co 90 dni
4
Wciągnik ręczny 5,0 T
co 90 dni
4
Wciągnik ręczny 5,0T
co 90 dni
4
Wciągnik ręczny 3,2
co 90 dni
4
Wciągnik ręczny 3,2
co 90 dni
co 90 dni
4
4
8.
9.
Zbiornik Wodny "Dobromierz"
13.
14.
Zbiornik Wodny "Bukówka"
Przepompownia Miszkowice
15.
16.
Zbiornik Wodny "Kozielno"
17.
18.
19.
Zbiornik Wodny „Topola“
Wciągnik ręczny 10T
zał. nr 3
KOSZT JEDNEGO
URZĄDZENIA
(w zł)
7
.
20
Wciągnik ręczny 10 T
21
Wciągnik ręczny 1,5 T
22
23
24
Zbiornik Nysa Przepompownia
Siestrzechowice
Zbiornik Wodny „Sosnówka”
Wydział KonserwacyjnoRemontowy (Wrocław)
Suwnica ręczna 3,2 T
co 90 dni
co 90 dni
co 90 dni
4
4
4
Suwnica pomostowa 5,0 T
co 30 dni
12
Podnośnik Koszowy
co 30 dni
12
25
Żurawik załadunkowy HIAB
175 (samochód Jelcz)
Dział Konserwacyjno Remontowy Wrocław
co 30 dni
12
26
Dział Konserwacyjno- Remontowy Żuraw samojezdny RDK-200
(Wrocław)
Dział Konserwacyjno- Remontowy Żuraw samojezdny RDK-200
(Wrocław)
Dział Konserwacyjno- Remontowy Żuraw Samochodowy R(Opole)
061
Dział Konserwacyjno- Remontowy
Dźwignik samochodowy
(Opole)
SDO- 8
Dział Konserwacyjno- Remontowy
Wciągnik Elektryczny
(Rogów)
Łańcuchowy B-103 M
co 30 dni
12
co 30 dni
12
co 30 dni
12
co 90 dni
4
co 30 dni
12
31
Dział Konserwacyjno- Remontowy
(Rogów)
Wciągnik Elektryczny
Łańcuchowy M-305 H6
co 30 dni
12
32
Dział Konserwacyjno- Remontowy
(Rogów)
Wciągnik Elektryczny
Łańcuchowy M-305 H7 M
co 30 dni
12
33
Dział Konserwacyjno- Remontowy Żuraw samojezdny RDK-160
(Opole)
co 30 dni
12
34
Dział Konserwacyjno- Remontowy Żuraw samojezdny RDK-160
(Opole)
co 30 dni
12
35
Dział Konserwacyjno- Remontowy
(Opole)
Żuraw samojezdny LECH
co 30 dni
12
36
Dział Konserwacyjno- Remontowy
(Topola)
Wciągnik Elektryczny 11T EW Topola
co 30 dni
12
37
Dział Konserwacyjno- Remontowy
Wciągnik Elektryczny 10T -
co 30 dni
12
27
28
29
30
-
(Kozielno)
38
39
40
41
42
43
44
co 30 dni
12
co 30 dni
12
co 30 dni
12
co 90 dni
4
co 90 dni
4
co 90 dni
4
co 90 dni
4
co 90 dni
co 90 dni
co 90 dni
co 90 dni
4
4
4
4
Dźwignik łańc.
co 90 dni
co 60 dni
4
6
Sprężarka pow.
co 90 dni
4
agregat gaśniczy
co 90 dni
4
wciągnik ręczny
typ WR-5
5T
wciągnik ręczny
typ WR-5
5T
wciągnik stały
typ WZ-5
5T
wciągnik stały
typ WS-3A
3T
co 90 dni
4
co 90 dni
4
co 90 dni
4
co 90 dni
4
wózek z wciągiem
typ WZ-2
2T
co 90 dni
4
EW Kozielno
Dział Konserwacyjno - Remontowy Żuraw chwytakowy KESLA
(Wrocław)
Dział Konserwacyjno-Remontowy
Żuraw HYVA CRANE
Opole
Dział Konserwacyjno-Remontowy
sprężarka pow.
Opole
Dział Konserwacyjno-Remontowy
sprężarka pow.
Opole
Zbiornik Zbiornik Turawa - przelew Dźwig bramowy 2000 kg
północny
Zbiornik Zbiornik Turawa - przelew Dźwig bramowy 2000 kg
południowy
Jaz w Jedlicach
Suwnica ręczna 5000 kg
45
Przepompownia Jedlicach
Suwnica ręczna 7500 kg
46
Przepompownia w Szczdrzyku
Suwnica ręczna 5000 kg
47
Młynówka w Opolu
Suwnica bramowa 2500 kg
48
Dział Kons. Wrocław
Sprężarka udarowa
49
50
51
Dział Kons.Wrocław
Nadzór Wodny Wroc.Koch.
Elektrownia Kozielno-Topola
zbiornik wodny Sosnówka
52
zbiornik wodny Sosnówka
53
zbiornik wodny Bukówka
54
zbiornik wodny Bukówka
55
zbiornik wodny Bukówka
56
Zbiornik Wodny Otmuchów
57
Pompownia Zwierzyniec
58
Jaz Brzeg Dolny
59
wózek z wciągiem WZ-2
2,0 T
suwnica pomostowa
natorowa,jednodźwigarowa,
elektryczna TYP NJH
udźwig znamionowy 5,0 T
co 90 dni
4
co 90 dni
4
co 30 dni
12
co 90 dni
4
co 30 dni
12
co 30 dni
12
żurawik na suwnicy
Zbiornik Wodny Topola
60
Wciągnik ręczny 1,5 T
zbiornik Wodny Nysa
61
zbiornik Wodny Nysa
62
cięgnik TYP TYP shz 10001 udxwig 1,0 T
cięgnik TYP TYP shz 10001 udxwig 1,0 T
zbiornik Wodny Nysa
63
co
dźwig GBL-MRL 630
zbiornik Wodny Nysa
64
cięgnik TYP TYP 3,2 MT
316 H14 udxwig 3,2 T
Zbiornik Wodny Bukówka
65
30 dni od grudnia 2017 r do
lutego 2018+ gotowość w
przypadku awarii
3
co 30 dni
12
co 30 dni
12
co 90 dni
4
co 30 dni
12
co 30 dni
12
wciągarka do łodzi
Zbiornik Wodny Bukówka
66
67
Dział Konserwacyjno Remontowy Wrocław
68
Dział Konserwacyjno Remontowy Wrocław
wciągnik ręczny WS-5
udźwig 5 T
wózek widłowy DOSSAN
G15 S-5 1,5 T
wózek widłowy DOSSAN
G15 S-5 1,5 T
69
Dział Konserwacyjno Remontowy żuraw załadunkowy FASSI
Wrocław
F85 1,0 T na sam.VOLVO
co 30 dni
12
RAZEM KOSZTY ( NETTO)
PODATEK VAT (23%)
OGÓŁEM KOSZTY (BRUTTO))
Uwaga: w cenie konserwacji urządzeń należy uwzglednić koszty dojazdu