Weksel

Transkrypt

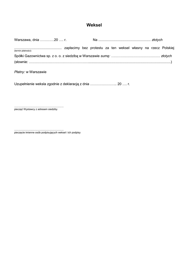
Weksel
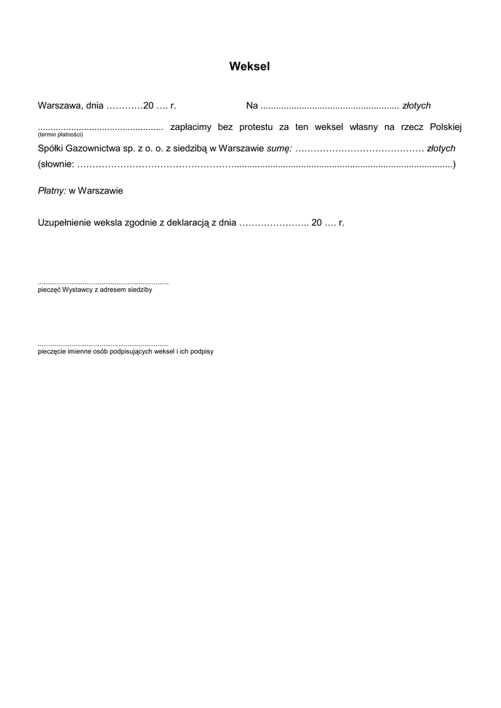
Weksel
Warszawa, dnia …………20 …. r.
Na ...................................................... złotych
................................................. zapłacimy bez protestu za ten weksel własny na rzecz Polskiej
(termin płatności)
Spółki Gazownictwa sp. z o. o. z siedzibą w Warszawie sumę: …………………………………… złotych
(słownie: …………………………………………….....................................................................................)
Płatny: w Warszawie
Uzupełnienie weksla zgodnie z deklaracją z dnia ………………….. 20 …. r.
......................................................................
pieczęć Wystawcy z adresem siedziby
......................................................................
pieczęcie imienne osób podpisujących weksel i ich podpisy