Układ chłodzenia UCH®-30-4020-PCPP-WT

Transkrypt

Układ chłodzenia UCH®-30-4020-PCPP-WT
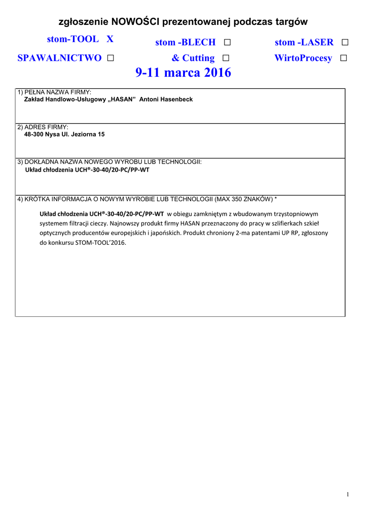
zgłoszenie NOWOŚCI prezentowanej podczas targów
stom-TOOL X
SPAWALNICTWO
□
□
& Cutting □
9-11 marca 2016
stom -BLECH
stom -LASER
WirtoProcesy
□
□
1) PEŁNA NAZWA FIRMY:
Zakład Handlowo-Usługowy „HASAN” Antoni Hasenbeck
2) ADRES FIRMY:
48-300 Nysa Ul. Jeziorna 15
3) DOKŁADNA NAZWA NOWEGO WYROBU LUB TECHNOLOGII:
Układ chłodzenia UCH®-30-40/20-PC/PP-WT
4) KRÓTKA INFORMACJA O NOWYM WYROBIE LUB TECHNOLOGII (MAX 350 ZNAKÓW) *
Układ chłodzenia UCH®-30-40/20-PC/PP-WT w obiegu zamkniętym z wbudowanym trzystopniowym
systemem filtracji cieczy. Najnowszy produkt firmy HASAN przeznaczony do pracy w szlifierkach szkieł
optycznych producentów europejskich i japońskich. Produkt chroniony 2-ma patentami UP RP, zgłoszony
do konkursu STOM-TOOL’2016.
1