Protokół XIII posiedzenia prezydium Rady Głównej Szkolnictwa

Transkrypt

Protokół XIII posiedzenia prezydium Rady Głównej Szkolnictwa
Ministerstwo Nauki i Szkolnictwa Wyższego
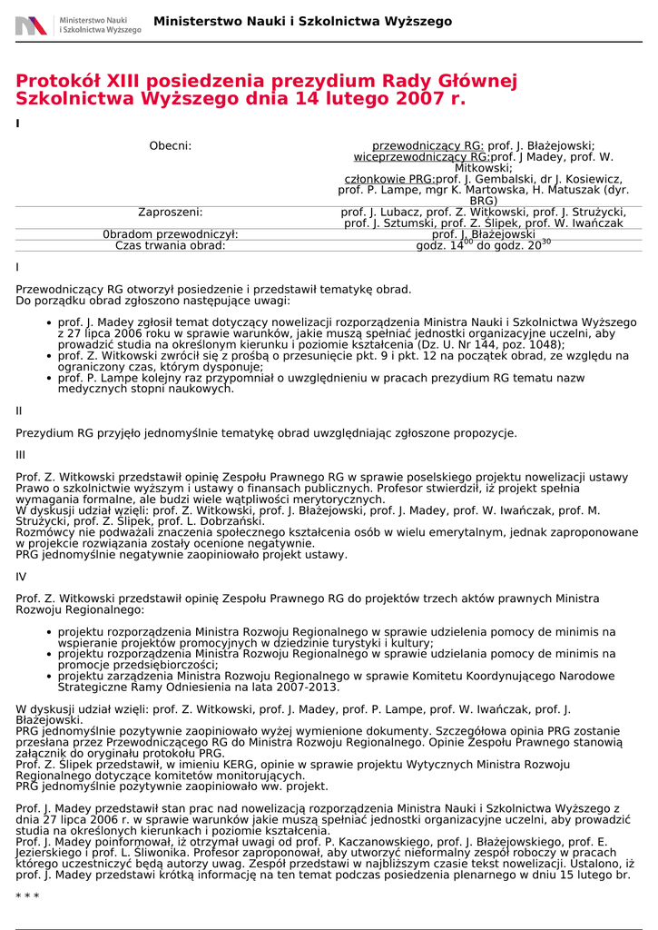
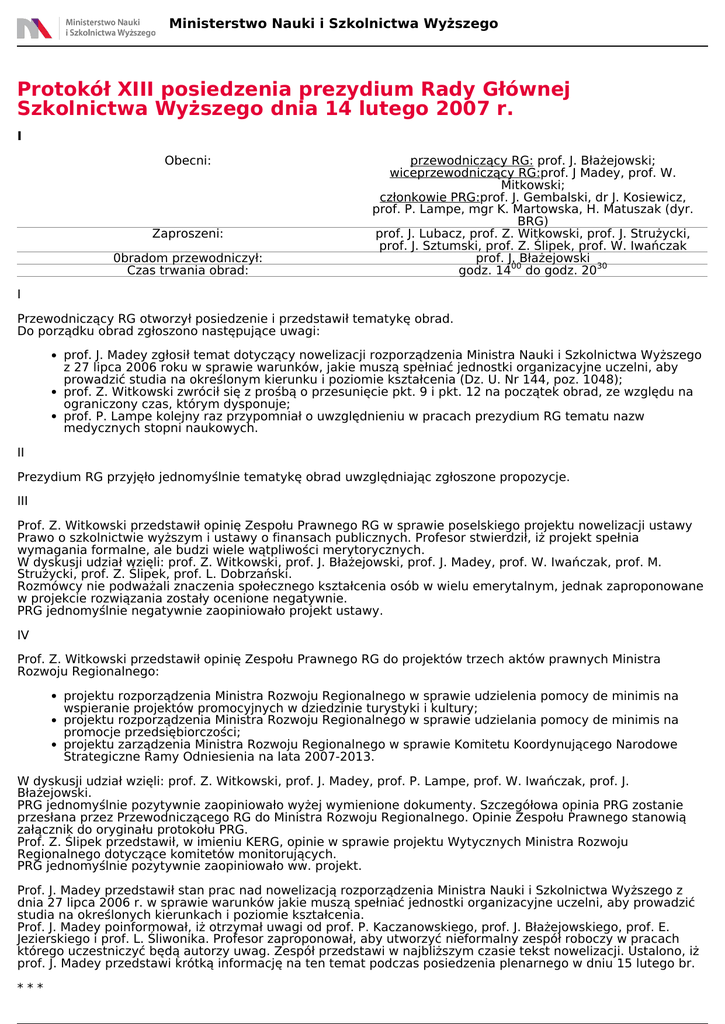
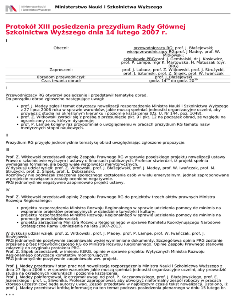
Protokół XIII posiedzenia prezydium Rady Głównej
Szkolnictwa Wyższego dnia 14 lutego 2007 r.
I
Obecni:
Zaproszeni:
0bradom przewodniczył:
Czas trwania obrad:
przewodniczący RG: prof. J. Błażejowski;
wiceprzewodniczący RG:prof. J Madey, prof. W.
Mitkowski;
członkowie PRG:prof. J. Gembalski, dr J. Kosiewicz,
prof. P. Lampe, mgr K. Martowska, H. Matuszak (dyr.
BRG)
prof. J. Lubacz, prof. Z. Witkowski, prof. J. Strużycki,
prof. J. Sztumski, prof. Z. Ślipek, prof. W. Iwańczak
prof. J. Błażejowski
godz. 1400 do godz. 2030
I
Przewodniczący RG otworzył posiedzenie i przedstawił tematykę obrad.
Do porządku obrad zgłoszono następujące uwagi:
prof. J. Madey zgłosił temat dotyczący nowelizacji rozporządzenia Ministra Nauki i Szkolnictwa Wyższego
z 27 lipca 2006 roku w sprawie warunków, jakie muszą spełniać jednostki organizacyjne uczelni, aby
prowadzić studia na określonym kierunku i poziomie kształcenia (Dz. U. Nr 144, poz. 1048);
prof. Z. Witkowski zwrócił się z prośbą o przesunięcie pkt. 9 i pkt. 12 na początek obrad, ze względu na
ograniczony czas, którym dysponuje;
prof. P. Lampe kolejny raz przypomniał o uwzględnieniu w pracach prezydium RG tematu nazw
medycznych stopni naukowych.
II
Prezydium RG przyjęło jednomyślnie tematykę obrad uwzględniając zgłoszone propozycje.
III
Prof. Z. Witkowski przedstawił opinię Zespołu Prawnego RG w sprawie poselskiego projektu nowelizacji ustawy
Prawo o szkolnictwie wyższym i ustawy o finansach publicznych. Profesor stwierdził, iż projekt spełnia
wymagania formalne, ale budzi wiele wątpliwości merytorycznych.
W dyskusji udział wzięli: prof. Z. Witkowski, prof. J. Błażejowski, prof. J. Madey, prof. W. Iwańczak, prof. M.
Strużycki, prof. Z. Ślipek, prof. L. Dobrzański.
Rozmówcy nie podważali znaczenia społecznego kształcenia osób w wielu emerytalnym, jednak zaproponowane
w projekcie rozwiązania zostały ocenione negatywnie.
PRG jednomyślnie negatywnie zaopiniowało projekt ustawy.
IV
Prof. Z. Witkowski przedstawił opinię Zespołu Prawnego RG do projektów trzech aktów prawnych Ministra
Rozwoju Regionalnego:
projektu rozporządzenia Ministra Rozwoju Regionalnego w sprawie udzielenia pomocy de minimis na
wspieranie projektów promocyjnych w dziedzinie turystyki i kultury;
projektu rozporządzenia Ministra Rozwoju Regionalnego w sprawie udzielania pomocy de minimis na
promocje przedsiębiorczości;
projektu zarządzenia Ministra Rozwoju Regionalnego w sprawie Komitetu Koordynującego Narodowe
Strategiczne Ramy Odniesienia na lata 2007-2013.
W dyskusji udział wzięli: prof. Z. Witkowski, prof. J. Madey, prof. P. Lampe, prof. W. Iwańczak, prof. J.
Błażejowski.
PRG jednomyślnie pozytywnie zaopiniowało wyżej wymienione dokumenty. Szczegółowa opinia PRG zostanie
przesłana przez Przewodniczącego RG do Ministra Rozwoju Regionalnego. Opinie Zespołu Prawnego stanowią
załącznik do oryginału protokołu PRG.
Prof. Z. Ślipek przedstawił, w imieniu KERG, opinie w sprawie projektu Wytycznych Ministra Rozwoju
Regionalnego dotyczące komitetów monitorujących.
PRG jednomyślnie pozytywnie zaopiniowało ww. projekt.
Prof. J. Madey przedstawił stan prac nad nowelizacją rozporządzenia Ministra Nauki i Szkolnictwa Wyższego z
dnia 27 lipca 2006 r. w sprawie warunków jakie muszą spełniać jednostki organizacyjne uczelni, aby prowadzić
studia na określonych kierunkach i poziomie kształcenia.
Prof. J. Madey poinformował, iż otrzymał uwagi od prof. P. Kaczanowskiego, prof. J. Błażejowskiego, prof. E.
Jezierskiego i prof. L. Śliwonika. Profesor zaproponował, aby utworzyć nieformalny zespół roboczy w pracach
którego uczestniczyć będą autorzy uwag. Zespół przedstawi w najbliższym czasie tekst nowelizacji. Ustalono, iż
prof. J. Madey przedstawi krótką informację na ten temat podczas posiedzenia plenarnego w dniu 15 lutego br.
***
Ministerstwo Nauki i Szkolnictwa Wyższego
Prof. J. Lubacz przedstawił stan prac nad standardami kształcenia przygotowującego do wykonywania zawodu
nauczyciela. Przypomniał o serii spotkań w tej sprawie. Zakomunikował, iż na spotkaniu w dniu 9 lutego br.
(uczestniczyło w nim ponad 100 osób) osiągnięto zgodę. Profesor zaproponował, w imieniu Komisji Edukacji RG,
aby przyjąć uchwałę RG w tej sprawie na posiedzeniu plenarnym w dniu 15 lutego.
W dyskusji udział wzięli: prof. J. Błażejowski, prof. J. Lubacz, prof. L. Dobrzański, prof. J. Gembalski, prof. W.
Mitkowski, prof. J. Madey. Prof. J. Błażejowski podkreślił, iż problem ustalenia liczby godzin w standardach nie był
przedmiotem dyskusji podczas spotkania w dniu 9 lutego. Ustalono, iż rozstrzygającą w tej sprawie decyzję
podejmie Minister Nauki i Szkolnictwa Wyższego.
Prof. J. Lubacz stwierdził, iż obecny kształt projektu standardów jest sukcesem i przekonani zostali do niego
początkowi oponenci.
Prof. L. Dobrzański wyraził pogląd, iż zaproponowane standardy w dalszym ciągu budzą szereg wątpliwości,
zwłaszcza pkt V.7. Dodał, iż projekt nie był wystarczająco szeroko konsultowany a zaproponowane regulacje
będą trudne do wdrożenia w wielu uczelniach.
Prof. J. Gembalski również zgłosił zastrzeżenia do pkt. V.7 standardów.
Prof. W. Mitkowski stwierdził, iż dokument nie był szeroko konsultowany ze środowiskiem.
Po dyskusji przewodniczący poddał projekt pod głosowanie. PRG pozytywnie zaopiniowało wyżej wymieniony
dokument większością głosów - przy 2 osobach wstrzymujących się od głosu i 1 przeciwnej.
V
Prof. M. Strużycki, Przewodniczący Komisji Uprawnień Akademickich, przedstawił opinię Komisji w sprawie
czterech wniosków jednostek organizacyjnych szkół wyższych o przyznanie uprawnień do nadawania stopni
naukowych:
Wydziałowi Humanistycznemu Uniwersytetu Warmińsko-Mazurskiego w Olsztynie - dra nauk
humanistycznych w dyscyplinie "filozofia"; PRG negatywnie zaopiniowało wniosek - przy 1 osobie
wstrzymującej się. Uzasadnienie: zatrudnieni na Wydziale pracownicy naukowo-dydaktyczni legitymują
się skromnym dorobkiem naukowym. Na Wydziale nie są prowadzone badania z zakresu podstawowych
problemów filozofii. Wniosek został przygotowany niestarannie a dostarczona dokumentacja nie jest
usystematyzowana.
Wydziałowi Teologii Uniwersytetu Warmińsko-Mazurskiego w Olsztynie - dra hab. nauk teologicznych;
PRG jednomyślnie pozytywnie zaopiniowało wniosek.
Wydziałowi Nowych Technologii i Chemii Wojskowej Akademii Technicznej w Warszawie - dra nauk
chemicznych w dyscyplinie "chemia";
W dyskusji udział wzięli: prof. Z. Witkowski, prof. M. Strużycki, prof. J. Błażejowski.
PRG większością głosów pozytywnie zaopiniowało wniosek - przy 1 osobie przeciwnej i 1 wstrzymującej
się od głosu
Wydziałowi Filologiczno-Historycznemu Akademii im. Jana Długosza w Częstochowie - dra nauk
humanistycznych w dyscyplinie "literaturoznawstwo";
PRG większością głosów pozytywnie zaopiniowało wniosek - przy 2 głosach wstrzymujących się.
VI
Prof. Z. Ślipek, w imieniu KERG, przedstawił opinie w sprawie czterech wniosków dotyczących regulaminów
stypendialnych.
PRG pozytywnie zaopiniowało następujące regulaminy:
stypendiów programie "POLSKIE TALENTY" przez Fundację Grupy TP i Fundację Przedsiębiorczości;
stypendium naukowego z Funduszu Stypendialnego CAN-PACK S.A. utworzonego na Wydziale Prawa i
Administracji Uniwersytetu Jagiellońskiego w Krakowie;
stypendiów przyznawanych doktorantom w ramach projektu pt. "Pierwszy Program Stypendialny ZPORR
dla Doktorantów Politechniki Wrocławskiej" (realizowanego w ramach działania 2.6 ZPORR Regionalne
Strategie Innowacyjne i Transfer Wiedzy, Priorytet 2. Wzmocnienie rozwoju zasobów ludzkich w
regionach, Zintegrowanego Programu Operacyjnego Rozwoju Regionalnego);
stypendiów dla uczestników studiów doktoranckich Uniwersytetu Warmińsko-Mazurskiego w Olsztynie z
Europejskiego Funduszu Społecznego UE w ramach projektu "Transfer Wiedzy pomostem dla
innowacyjności konkurencyjności gospodarczej regionu - stypendia doktoranckie".
VII
Prof. W. Iwańczak, w imieniu KN RG, przedstawił opinie w sprawie wniosku Wyższej Szkoły Medycznej LDZ w
Legnicy o prowadzenie studiów podyplomowych w zakresie zarządzania i administrowania funduszami unijnymi.
W dyskusji udział wzięli: prof. W. Iwańczak, prof. P. Lampe, dr J. Kosiewicz.
PRG pozytywnie zaopiniowało przedłożony wniosek przy 2 osobach wstrzymujących się od głosu.
VIII
Prof. J. Lubacz przedstawił opinie KE RG w sprawie wniosków uczelni dotyczących nowych kierunków studiów:
Międzynarodowe Stosunki Gospodarcze - wniosek sześciu uczelni Uniwersytetu Łódzkiego, Szkoły
Głównej Handlowej, Akademii Ekonomicznej w Katowicach, Akademii Ekonomicznej w Krakowie,
Akademii Ekonomicznej we Wrocławiu i Akademii Ekonomicznej w Poznaniu.
W dyskusji udział wzięli: prof. J. Błażejowski, prof. J. Madey, prof. W. Iwańczak, prof. W. Mitkowski.
PRG postanowiło rekomendować Ministrowi Nauki i Szkolnictwa Wyższego wydanie zgody na kształcenie
na wyżej wymienionym kierunku w trybie art. 11 ust. 3 ustawy Prawo o szkolnictwie wyższym.
Ministerstwo Nauki i Szkolnictwa Wyższego
Adaptowana aktywność fizyczna - wniosek Akademii Wychowania Fizycznego w Warszawie.
W dyskusji udział wzięli: prof. J. Lubacz, prof. J. Błażejowski, prof. J. Sztumski.
PRG jednomyślnie negatywnie zaopiniowało powyższy wniosek, uznając, że kształcenie opisane we
wniosku może być realizowane w ramach specjalności na istniejących kierunkach studiów lub w ramach
makrokierunku studiów.
Muzyka kościelna - wniosek Papieskiej Akademii Teologicznej w Krakowie.
W dyskusji udział wzięli: Prof. J. Błażejowski, prof. J. Lubacz, p. J. Gembalski.
PRG jednomyślnie negatywnie zaopiniowało powyższy wniosek. Przedłożone dokumenty są
niewystarczające do stwierdzenia, czy kierunek ten jest wydzielonym obszarem kształcenia. Nie
dołączono standardów kształcenia.
Zaawansowane materiały i nanotechnologie - wniosek Uniwersytetu Jagiellońskiego.
Prof. L. Dobrzański, przedstawił szczegółową opinię dotyczącą wniosku. Opinia stanowi załącznik do
oryginału protokołu.
W dyskusji udział wzięli: prof. J. Lubacz, prof. L. Dobrzański, prof. P. Lampe, prof. J. Sztumski, prof. W.
Mitkowski, prof. J. Madey, prof. J. Błażejowski.
Przeważały opinie, iż w przedstawionej formie wniosek nie może być zaopiniowany pozytywnie. PRG
większością głosów negatywnie zaopiniowało powyższy wniosek.
IX
Prof. J. Lubacz przedstawił wnioski uczelni artystycznych dotyczącyce zmiany trybu prowadzenia studiów na
kierunkach: malarstwo, rzeźba, grafika i architektura wnętrz.
W dyskusji udział wzięli: prof. J. Lubacz, prof. L. Dobrzański, prof. W. Mitkowski, prof. W. Iwańczak.
PRG negatywnie zaopiniowało powyższe wnioski przy 1 osobie wstrzymującej się od głosu. PRG uznało, iż nie ma
wystarczającego uzasadnienia dla zmiany rozporządzenia w sprawie nazw kierunków studiów (Dz.U. Nr 207,
poz.2110).
X
Mgr K. Martowska przedstawiła, w imieniu prof. D. Rotta, opinię dotyczącą Rządowego programu poprawy
bezpieczeństwa w szkołach i placówkach "Zero tolerancji dla przemocy w szkole".
W opinii wskazano na wiele słabych stron proponowanych rozwiązań.
W dyskusji udział wzięli: prof. P. Lampe, prof. J. Madey.
PRG postanowiło, iż projekt uchwały RG w tej sprawie zostanie przedstawiony na posiedzeniu plenarnym w dniu
15 lutego. PRG zaproponowało, aby w uchwale poprzeć Rządowy program "Zero tolerancji dla przemocy w
szkole" a szczegółowe uwagi przedstawić w formie załącznika do uchwały.
XI
Prof. L. Dobrzański przedstawił uwagi do zarysu koncepcji interdyscyplinarnych studiów doktoranckich. Profesor
stwierdził, iż dokument w obecnej formie jest ogólny i nie proponuje konkretnych rozwiązań.
W dyskusji udział wzięli: prof. L. Dobrzański, prof. J. Błażejowski, prof. A. Lampe, mgr M. Molasy, prof. W.
Iwańczak, prof. W. Mitkowski.
W dyskusji podało wiele głosów krytycznych co do koncepcji tworzenia interdyscyplinarnych studiów
doktoranckich.
Podkreślono konieczność podjęcia działań w celu usprawnienia obecnego sytemu studiów doktoranckich.
W podsumowaniu prof. J. Błażejowski zaproponował, aby dalszą dyskusję przenieść na posiedzenie plenarne w
dniu 15 lutego.
XII
Dr. W. Olek przedstawił propozycję uwag RG do zasad sporządzania wykazu czasopism obowiązujących przy
przyszłej ocenie parametrycznej jednostek naukowych. Dr W. Olek poinformował PRG, iż informacje zawarte na
stronie internetowej MNiSzW są rozproszone i niespójne.
W dyskusji udział wzięli: prof. J. Błażejowski, prof. P. Lampe, prof. L. Dobrzański.
Rozmówcy podkreślali, iż zaproponowany system dyskryminuje czasopisma polskie.
Przewodniczący RG zaproponował kontynuowanie dyskusji w tej sprawie podczas posiedzenia plenarnego RG i
zwrócił się z prośbą do dr W. Olka o przedstawienie uwag RG podczas tego posiedzenia.
XIII
Prof. W. Mitkowski poinformował, iż w dniach 25 i 26 stycznia br. uczestniczył w obradach Konferencji Rektorów
Polskich Uczelni Technicznych, które odbyły się w Akademii Górniczo-Hutniczej.
Prof. W. Mitkowski zwrócił się do Przewodniczącego RG z pytaniem czy znane jest stanowisko Ministra Nauki i
Szkolnictwa Wyższego co do interpretacji art. 240 ustawy Prawo o szkolnictwie wyższym.
Przewodniczący RG poinformował, iż do chwili obecnej Minister M. Seweryński nie przedstawił odpowiedzi na
skierowane w tej sprawie pismo.
Mgr K. Martowska przedstawiła informację o przebiegu posiedzenia Prezydium Sejmowej Komisji Edukacji, Nauki
i Młodzieży. Przedmiotem posiedzenia Komisji były sprawy dotyczące egzaminu maturalnego w roku szkolnym
2006/2007 i rekrutacji do szkół wyższych na rok akademicki 2007/2008.
Prof. J. Błażejowski przedstawił Stanowisko Prezydium KRASP w sprawie decyzji Ministra Obrony Narodowej
dotyczącej Wojskowej Akademii Technicznej.
PRG postanowiło jednomyślnie poprzeć to stanowisko.
Stanowisko Nr 50/2007 rady Głównej w tej sprawi stanowi załącznik do oryginału protokołu.
Ministerstwo Nauki i Szkolnictwa Wyższego
XIV
PRG jednomyślnie przyjęło protokoł z XII posiedzenia PRG (17 stycznia 2007 r.).
XV
Przewodniczący RG zamknął posiedzenie dziękując za aktywny udział w dyskusji członkom PRG.
Przewodniczący
Rady Głównej Szkolnictwa Wyższego
Jerzy Błażejowski
Opracowała:
Kierująca
Biurem Rady Głównej
Hanka Matuszak
Powered by TCPDF (www.tcpdf.org)