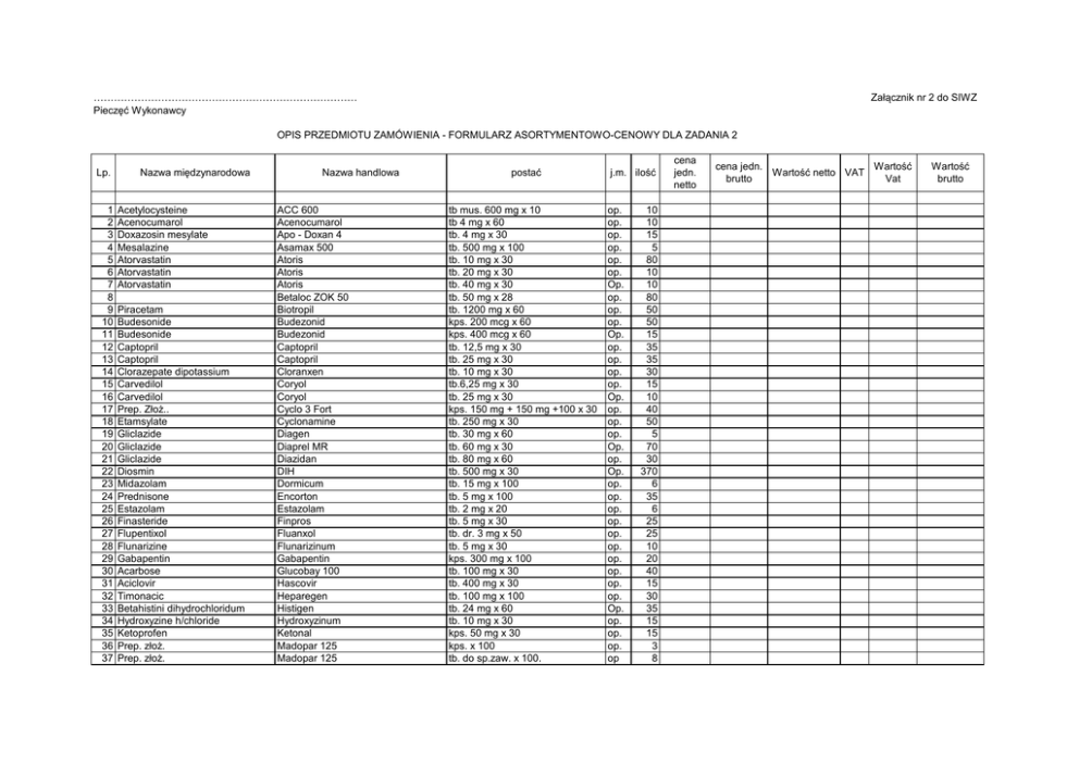
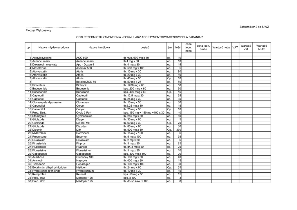
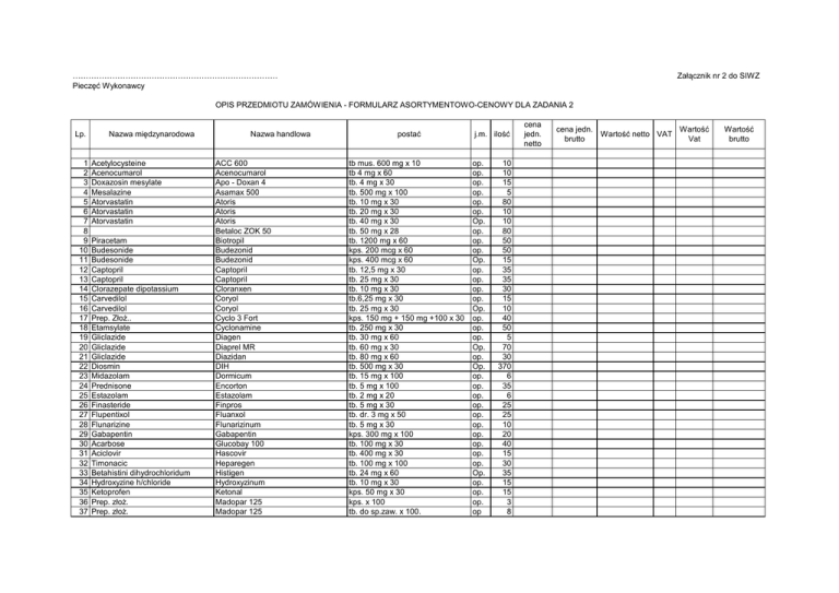
Załącznik nr 2 do SIWZ Pieczęć Wykonawcy OPIS

Transkrypt

Załącznik nr 2 do SIWZ Pieczęć Wykonawcy OPIS
……………………………………………………………………
Pieczęć Wykonawcy
Załącznik nr 2 do SIWZ
OPIS PRZEDMIOTU ZAMÓWIENIA - FORMULARZ ASORTYMENTOWO-CENOWY DLA ZADANIA 2
Lp.
1
2
3
4
5
6
7
8
9
10
11
12
13
14
15
16
17
18
19
20
21
22
23
24
25
26
27
28
29
30
31
32
33
34
35
36
37
Nazwa międzynarodowa
Acetylocysteine
Acenocumarol
Doxazosin mesylate
Mesalazine
Atorvastatin
Atorvastatin
Atorvastatin
Piracetam
Budesonide
Budesonide
Captopril
Captopril
Clorazepate dipotassium
Carvedilol
Carvedilol
Prep. Złoż..
Etamsylate
Gliclazide
Gliclazide
Gliclazide
Diosmin
Midazolam
Prednisone
Estazolam
Finasteride
Flupentixol
Flunarizine
Gabapentin
Acarbose
Aciclovir
Timonacic
Betahistini dihydrochloridum
Hydroxyzine h/chloride
Ketoprofen
Prep. złoż.
Prep. złoż.
Nazwa handlowa
ACC 600
Acenocumarol
Apo - Doxan 4
Asamax 500
Atoris
Atoris
Atoris
Betaloc ZOK 50
Biotropil
Budezonid
Budezonid
Captopril
Captopril
Cloranxen
Coryol
Coryol
Cyclo 3 Fort
Cyclonamine
Diagen
Diaprel MR
Diazidan
DIH
Dormicum
Encorton
Estazolam
Finpros
Fluanxol
Flunarizinum
Gabapentin
Glucobay 100
Hascovir
Heparegen
Histigen
Hydroxyzinum
Ketonal
Madopar 125
Madopar 125
postać
tb mus. 600 mg x 10
tb 4 mg x 60
tb. 4 mg x 30
tb. 500 mg x 100
tb. 10 mg x 30
tb. 20 mg x 30
tb. 40 mg x 30
tb. 50 mg x 28
tb. 1200 mg x 60
kps. 200 mcg x 60
kps. 400 mcg x 60
tb. 12,5 mg x 30
tb. 25 mg x 30
tb. 10 mg x 30
tb.6,25 mg x 30
tb. 25 mg x 30
kps. 150 mg + 150 mg +100 x 30
tb. 250 mg x 30
tb. 30 mg x 60
tb. 60 mg x 30
tb. 80 mg x 60
tb. 500 mg x 30
tb. 15 mg x 100
tb. 5 mg x 100
tb. 2 mg x 20
tb. 5 mg x 30
tb. dr. 3 mg x 50
tb. 5 mg x 30
kps. 300 mg x 100
tb. 100 mg x 30
tb. 400 mg x 30
tb. 100 mg x 100
tb. 24 mg x 60
tb. 10 mg x 30
kps. 50 mg x 30
kps. x 100
tb. do sp.zaw. x 100.
j.m. ilość
op.
op.
op.
op.
op.
op.
Op.
op.
op.
op.
Op.
op.
op.
op.
op.
Op.
op.
op.
op.
Op.
op.
Op.
op.
op.
op.
op.
op.
op.
op.
op.
op.
op.
Op.
op.
op.
op.
op
10
10
15
5
80
10
10
80
50
50
15
35
35
30
15
10
40
50
5
70
30
370
6
35
6
25
25
10
20
40
15
30
35
15
15
3
8
cena
jedn.
netto
cena jedn.
Wartość
Wartość netto VAT
brutto
Vat
Wartość
brutto
38
39
40
41
42
43
44
45
46
47
48
49
50
51
52
53
54
55
56
57
58
59
60
61
62
63
64
65
66
67
68
69
70
71
72
73
74
75
76
77
78
79
80
81
82
83
Prep. złoż.
Madopar 250
Prep. złoż.
Madopar 250
Prep. złoż.
Madopar 62,5
Prep. złoż.
Madopar 62,5
Prep. złoż.
Madopar HBS
Memantine h/chloride
Marbodin
Thiamazole
Metizol
Metronidazole
Metronidazol
Methylprednisolone
Metypred
Memantine h/chloride
Nemdatine
Nifuroxazide
Nifuroksazyd
Diclofenac sodium
Olfen UNO
Perindopril arginine
Prestarium
Perindopril arginine
Prestarium
Pridinol
Pridinol
Propranolol h/chloride
Propranolol
Prep. złoż.
Rutinoscorbin
Prep. złoż.
Sebidin
Simvastatin
Simvastatinum
Prep. złoż.
Sinemet CR
Buspirone h/chlor.
Spamilan
Tiotropium bromide
Spiriva
Tiotropium bromide
Spiriva
Tamsulosin
Tanyz
Propylthiouracil
Thyrosan
Tramadol h/chloride
Tramal retard 100
Tramadol h/chlor,Paracetamoltb. 37,5
Tramapar
mg + 325 mg x 60
Valsartan
Valsacor
Simvastatin
Vasilip
Mebendazole
Vermox
Vinpocetine
Vicebrol
Rivaroxavan
Xarelto
Rivaroxavan
Xarelto
Rifaximin
Xifaxan
Ondansetron
Zofran
Epinephrine
Adrenalina
Biperiden
Akineton
Amantadine
Amantix
Amiodarone
Amiokordin
Atropine
Atropinum sulf.
Metoprolol
Betaloc
Calcium lactate gluconate
Calcium Polfa
Clonazepam
Clonazepamum
Zuclopenthixol
Clopixol Acuphase
Zuclopenthixol decanoate
Clopixol Depot
Valproate sodium
Depakine
tb. x 100
kps. x 100
tb. do sp. zaw. X 100
kps. x 100
kps. 100 mg + 25 mg x 100
tb. 10 mg x 56
tb. 5 mg x 50
tb. 250 mg x 20
tb. 4 mg x 30
tb. 20 mg x 56
tb. 100 mg x 24
tb. 150 mg x 30
tb. 5 mg x 30
tb 10 mg x 30
tb. 5 mg x 50
tb. 40 mg x 50
tb. x 90
tb. do ssania x 20
tb. 20 mg x 28
tb. 200mg/50 mg x 100
tb. 10 mg x 60
kps. 18 mcg x 30
kps. 18 mcg x 30 +Handi Haler
kps. 0,4 mg x 30
tb. 50 mg x 90
tb. 100 mg x 50
tb. 160 mg x 28
tb. 40 mg x 28
tb. 100 mg x 6
tb. 5 mg x 50
tb. 15 mg x 100
tb. 20 mg x 100
tb. 200 mg x 14
tb. 4 mg x 10
amp. 1 mg 1 ml x 10
amp. 5 mg 1 ml x 5
fl.. 200 mg 500 ml x 10
amp. 150 mg 3 ml x 5
amp. 1 mg 1 ml x 10
amp. 5 mg 5 ml x 5
amp. 10% 5 ml x 10
amp. 1 mg 1 ml x 10
amp. 50 mg 1 ml x 5
amp. 200 mg 1 ml x 10
fiol 400 mg 4 ml x 4 kpl.
op.
op.
op.
op.
op.
op.
op.
op.
op.
op.
op.
op.
Op.
op.
Op.
Op.
op
op.
Op.
op.
op.
Op.
op.
op.
op.
op
op.
op.
Op.
op.
op.
op
op.
op.
op.
op.
op.
op.
op.
op.
op.
op.
op.
op.
Op.
op.
8
6
5
25
8
25
15
35
70
8
5
15
140
10
50
15
15
60
55
15
10
20
8
60
10
5
45
20
25
30
30
25
50
35
5
15
15
2
5
10
3
3
10
25
8
3
84
85
86
87
88
89
90
91
92
93
94
95
96
97
98
99
100
101
102
103
104
105
106
107
108
109
110
111
112
113
114
115
116
117
118
119
120
121
122
123
124
125
126
127
128
129
Medroxyprogesterone acetate
Dexamethasone sod.phosph.
Digoxin
Levetiracetam
Norepinephrine
Lidocaine
Metoclopramide h/chloride
Naloxone
Sodium bicarbonate
Sodium chloride
Nimodipine
Drotaverine
Antazoline
Ciprofloxacin h/chloride
Paracetamol
Alfalipoic acid
Aciclovir
Ampicillin
Amoxicillin Clavulanic acid
Wancomycyna
Pyridoxine
Aluminium aceticotartaricu
Sodium tetraborate
Ipratriopium bromide
Ipratriopium bromide
Fenoterol
Clotrimazole
Prep. Złoż..
Formaldehyde
Gentamycin
Depo Provera
Dexaven
Digoxin
Dopaminum h/chlor
Glucosum
Heparinum
Ins. Actrapid
Ins. Insulatard
Ins. Mixtard 30 P
Insul. Novorapid P
Keppra
Levonor
Lignocainum h/chlor.
Metoclopramidum
Naloxonum
Natrium bicarbonicum
Natrium chloratum
Nimotop S
No - Spa
Paski test Accu- Chek active gluc.
Paski Test. One-Touch Select
Paski Ascensia Entrust
Paski IXELL
Paski Optium XIDO
Phenazolinum
Proxacin
Sinebriv
Thiogamma Turbo Set
Aciclovir
Ampicillin
Amoksiklav
Vancomycin - MIP
Vitaminum B comp.
Vitaminum B 6
Aqua purificata
Altaziaja
Aphtin
Atrodil
Berodual
Berotec N 100
Clotrimazolum
Czopki glicerolowe
Dicortineff
Formaldehyd
Gentamycin opht.
Glukoza
fiol.3,3 ml
amp. 4 mg 1 ml x 10
amp. 0,5 mg 2 ml x 5
amp. 4% 5 ml x 10
amp. 40% 10 ml x 10
fiol. 25000 j. 5 ml x 10
3 ml x 5 wkł.
3 ml x 5 wkł.
3 ml x 5 wkł.
3 ml x 5 wkł.
fiol. 500 mg 5 ml x 10
amp. 1 mg 1 ml x 10
amp. 2% 2 ml x 10
amp. 10 mg 2 ml x 5
amp. 0,4 mg 1 ml x 10
amp. 8,4% 20 ml x 10
amp. 10% 10 ml x 10
fl. 0,2 mg/ml 50 ml
amp. 40 mg 2 ml x 5
x 50 szt
x 50 szt.
x 50 szt.
x 50 szt
x 50 szt
amp. 100 mg 2 ml x 10
amp. 1% 10 ml x 10
fl.100 ml x10
fl. 600 mg 50 ml x 10
fiol. 250 mg x 5
fiol. 1 g x 1
tb. 875 mg + 125 mg x 14
fiol. 1000 mg x 5
tb. dr. x 50
tb. 50 mg x 50
1000 g
żel 75 g
płyn 10 g
aeroz. Wziew. 200 d 20 mcg/d
płyn do inh. 20 ml
aerozol 10 ml 200 d.
krem 1% 20 g
2 g x 10 szt.
zaw. 5 ml
10% 1 kg
krople 0,3% 5 ml
proszek 75 g doust.
op.
Op.
op.
op.
op.
op.
op.
op.
Op.
op.
Op.
Op.
Op.
Op.
Op.
Op.
Op.
Op.
Op.
Op.
Op.
op.
op.
op.
op.
op.
op.
op.
op.
op.
op
op.
op.
op
op.
op.
op.
op.
op.
Op.
Op.
op.
op
op.
op.
op.
10
45
10
25
25
1
15
8
55
8
3
5
10
40
3
5
3
3
20
3
15
40
100
15
3
8
60
15
20
80
120
3
40
120
30
20
170
5
3
10
30
50
10
5
5
50
130
131
132
133
134
135
136
137
138
139
140
141
142
143
144
145
146
147
148
149
150
151
152
153
154
155
156
157
158
Heparinoid
Permethrin
Lactulose
Polyvinyl alcohol
Metronidazole
Prep. Złoż..
Naproxen
Timolol
Prep. złoż.
Choline salicylate
Dexpanthenol
Prep. złoż.
Tramadoli h/chlor.
Tacrolimus
Chlorhexidine
Prep. złoż.
Prep. złoż.
Sodium chloride
Paraffin
Potassium iodide
Xylometazoline
Hirudoid
Infectoscab
Lactulose MIP
Lacrimal
Menalind
Menalind
Metronidazol
Milocardin
Naproxen
Neomycinum
Octenisept
Microdacyn
Oftensin
Oliwka do masażu wit.
Otinum
Panthenol
PC 30 V
Pimafucort
Poltram
Posterisan H
Protopic
Spirytus skaż. Hibitanem
Sudocrem
Sudocrem
Tymsal
Natrium chloratum
Parafina stała
Vitreolent
Xylometazolin
maść 40 g
krem 5% 30 g
syrop 500 ml
krople dp oczu 2 x 5 ml
krem ochronny do skóry200 ml
pianka do oczyszcz.skóry400 ml
żel 1% 15 g
krople 15 g
żel 10% 50 g
aerozol 32 g
250 ml z rozpylaczem
250 ml z rozpylaczem
krople do oczu 0,5% 5 ml
500 ml
kr do uszu 10 g
aerozol 130 g
preparat p / odleż. 100 ml
maść 15 g
krople 96 ml
czopki x 10 szt.
maść 0,1% 10 g
fl. 0,5% 1000 ml
krem 250 g
krem 400 g
aerozol 30 ml
substancja a 1 kg
10 kg
krople do oczu 10 ml
krople do nosa 0,1% 10 ml
RAZEM
op.
op.
Op.
op.
op.
op.
Op.
op.
op.
Op.
Op.
Op.
op.
op.
Op.
Op.
op.
Op.
Op.
op.
Op.
op.
Op.
op.
op.
op.
op.
op.
op.
45
20
50
50
10
100
40
50
10
10
50
50
40
15
15
3
5
5
25
15
5
10
35
100
60
4
1
15
80
Wartość netto: ……………………………………………………………… (słownie ……………………...……………………………………………………………………………………………)
Wartość VAT: ……………………………………………………………….. (słownie:…………………………………………………………………………………………………………………..)
Wartość brutto: ……………………………………………………………… (słownie:…………………………………………………………………………………………………………………..)
…………………………………………………………………………………
Miejscowość, data
……………………………………………………………………………………….
prawomocny przedstawiciel/e wykonawcy
imienna/e pieczątka/i