zobowiązanie do zachowania poufności

Transkrypt

zobowiązanie do zachowania poufności
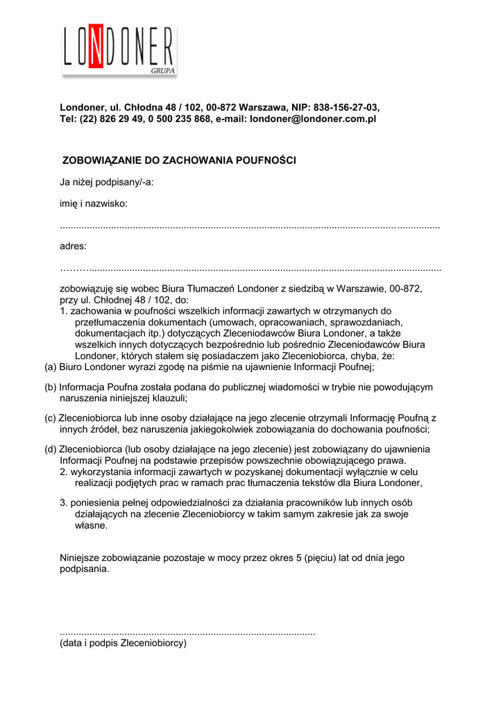
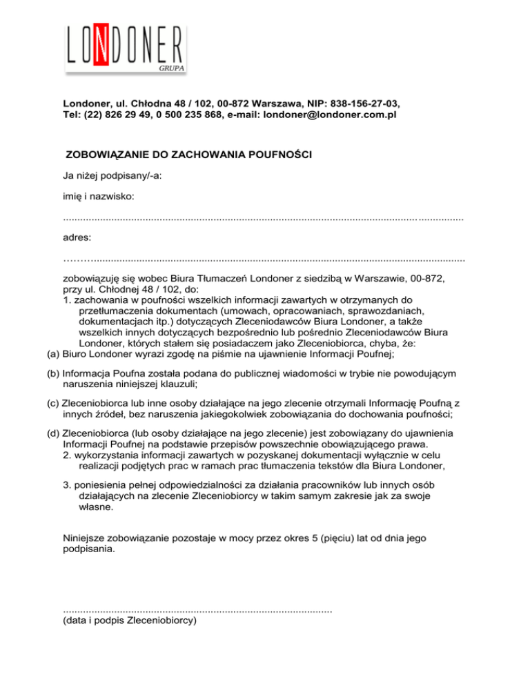
Londoner, ul. Chłodna 48 / 102, 00-872 Warszawa, NIP: 838-156-27-03,
Tel: (22) 826 29 49, 0 500 235 868, e-mail: [email protected]
ZOBOWIĄZANIE DO ZACHOWANIA POUFNOŚCI
Ja niżej podpisany/-a:
imię i nazwisko:
............................................................................................................................. ................
adres:
………...................................................................................................................................
zobowiązuję się wobec Biura Tłumaczeń Londoner z siedzibą w Warszawie, 00-872,
przy ul. Chłodnej 48 / 102, do:
1. zachowania w poufności wszelkich informacji zawartych w otrzymanych do
przetłumaczenia dokumentach (umowach, opracowaniach, sprawozdaniach,
dokumentacjach itp.) dotyczących Zleceniodawców Biura Londoner, a także
wszelkich innych dotyczących bezpośrednio lub pośrednio Zleceniodawców Biura
Londoner, których stałem się posiadaczem jako Zleceniobiorca, chyba, że:
(a) Biuro Londoner wyrazi zgodę na piśmie na ujawnienie Informacji Poufnej;
(b) Informacja Poufna została podana do publicznej wiadomości w trybie nie powodującym
naruszenia niniejszej klauzuli;
(c) Zleceniobiorca lub inne osoby działające na jego zlecenie otrzymali Informację Poufną z
innych źródeł, bez naruszenia jakiegokolwiek zobowiązania do dochowania poufności;
(d) Zleceniobiorca (lub osoby działające na jego zlecenie) jest zobowiązany do ujawnienia
Informacji Poufnej na podstawie przepisów powszechnie obowiązującego prawa.
2. wykorzystania informacji zawartych w pozyskanej dokumentacji wyłącznie w celu
realizacji podjętych prac w ramach prac tłumaczenia tekstów dla Biura Londoner,
3. poniesienia pełnej odpowiedzialności za działania pracowników lub innych osób
działających na zlecenie Zleceniobiorcy w takim samym zakresie jak za swoje
własne.
Niniejsze zobowiązanie pozostaje w mocy przez okres 5 (pięciu) lat od dnia jego
podpisania.
...............................................................................................
(data i podpis Zleceniobiorcy)