dane na strone www z 6.1.3 PO KL

Transkrypt

dane na strone www z 6.1.3 PO KL
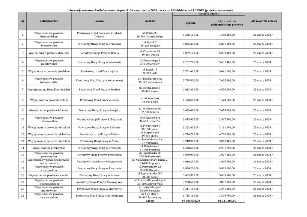
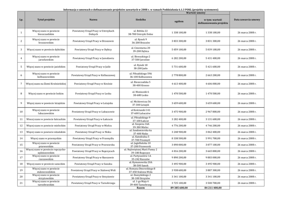
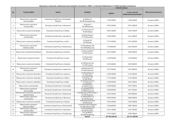
Informacja o umowach o dofinansowanie projektów zawartych w 2008 r. w ramach Poddziałania 6.1.3 POKL (projekty systemowe)
Wartość umowy
Lp.
Tytuł projektu
Nazwa
Siedziba
ogółem
w tym: wartość dofinansowania projektu
Data zawarcia umowy
1
Więcej szans w powiecie bieszczadzkim
Powiatowy Urząd Pracy w Ustrzykach Dolnych
ul. Bełska 22 38‐700 Ustrzyki Dolne
1 338 100,00
1 338 100,00
26 marca 2008 r.
2
Więcej szans w powiecie brzozowskim
Powiatowy Urząd Pracy w Brzozowie
ul. Rynek 9
36‐200 Brzozów
3 833 300,00
3 831 300,00
26 marca 2008 r.
3
Więcej szans w powiecie dębickim
Powiatowy Urząd Pracy w Dębicy
ul. Cmentarna 20
39‐200 Dębica
5 059 100,00
5 039 100,00
26 marca 2008 r.
4
Więcej szans w powiecie jarosławskim
Powiatowy Urząd Pracy w Jarosławiu
ul. Słowackiego 2
37‐500 Jarosław
6 282 200,00
5 431 400,00
26 marca 2008 r.
5
Więcej szans w powiecie jasielskim
Powiatowy Urząd Pracy w Jaśle
ul. Rynek 18
38‐200 Jasło
5 731 600,00
5 421 600,00
26 marca 2008 r.
6
Więcej szans w powiecie kolbuszowskim
Powiatowy Urząd Pracy w Kolbuszowej
ul. Piłsudskiego 59A
36‐100 Kolbuszowa
2 778 800,00
2 663 200,00
26 marca 2008 r.
7
Więcej szans na Ziemi Krośnieńskiej
Powiatowy Urząd Pracy w Krośnie
ul. Bieszczadzka 5
38‐400 Krosno
4 613 400,00
4 606 000,00
26 marca 2008 r.
8
Więcej szans w powiecie leskim
Powiatowy Urząd Pracy w Lesku
1 470 500,00
1 470 500,00
26 marca 2008 r.
9
Więcej szans w powiecie leżajskim
Powiatowy Urząd Pracy w Leżajsku
ul. Mickiewicza 56
37‐300 Leżajsk
3 659 600,00
3 659 600,00
26 marca 2008 r.
10
Więcej szans w powiecie lubaczowskim
Powiatowy Urząd Pracy w Lubaczowie
ul Kościuszki 141 37‐600 Lubaczów 3 475 900,00
2 967 800,00
26 marca 2008 r.
11
Wiecej szans w powiecie łańcuckim
Powiatowy Urząd Pracy w Łańcucie
3 282 400,00
3 131 600,00
26 marca 2008 r.
12
Więcej szans w powiecie mieleckim
Powiatowy Urząd Pracy w Mielcu
4 776 200,00
4 746 200,00
26 marca 2008 r.
13
Więcej szans w powiecie niżańskim
Powiatowy Urząd Pracy w Nisku
3 248 900,00
3 062 400,00
26 marca 2008 r.
14
Więcej szans w przemyskim
Powiatowy Urząd Pracy w Przemyślu
8 338 500,00
5 991 700,00
26 marca 2008 r.
3 090 000,00
3 077 100,00
26 marca 2008 r.
4 016 200,00
3 665 800,00
26 marca 2008 r.
9 890 200,00
9 883 000,00
26 marca 2008 r.
3 495 900,00
3 495 900,00
26 marca 2008 r.
3 938 600,00
3 887 300,00
26 marca 2008 r.
3 341 100,00
3 341 100,00
26 marca 2008 r.
3 725 100,00
3 500 700,00
26 marca 2008 r.
89 385 600,00
84 211 400,00
15
16
17
18
19
20
21
Więcej szans w powiecie przeworskim
Więcej szans w powiecie ropczycko‐
sędziszowskim
Więcej szans w powiecie rzeszowskim
Więcej szans w powiecie sanockim
Więcej szans w powiecie stalowowolskim
Więcej szans w powiecie strzyżowskim
Więcej szans w powiecie tarnobrzeskim
Powiatowy Urząd Pracy w Przeworsku
Powiatowy Urząd Pracy w Ropczycach
Powiatowy Urząd Pracy w Rzeszowie
Powiatowy Urząd Pracy w Sanoku
Powiatowy Urząd Pracy w Stalowej Woli
Powiatowy Urząd Pracy w Strzyżowie
Powiatowy Urząd Pracy w Tarnobrzegu
ul. Moniuszki 6 38‐600 Lesko
ul. Piłsudskiego 9 37‐100 Łańcut
ul. Szopena 16A 39‐300 Mielec
ul. Sandomierska 6a 37‐400 Nisko
ul. Katedralna 5 37‐700 Przemyśl
ul. Jagiellońska 10 37‐200 Przeworsk
ul. Najświętszej Marii Panny 2 39‐100 Ropczyce ul. Partyzantów 1A 35‐242 Rzeszów
ul. Rymanowska 20A 38‐500 Sanok
ul. Romana Dmowskiego 8 37‐450 Stalowa Wola
ul. Daszyńskiego 2 38‐100 Strzyżów
ul. 1‐go Maja 4 39‐400 Tarnobrzeg
Razem