Jeden ze sposobów polega na skorzystaniu z zasady zachowania

Transkrypt

Jeden ze sposobów polega na skorzystaniu z zasady zachowania
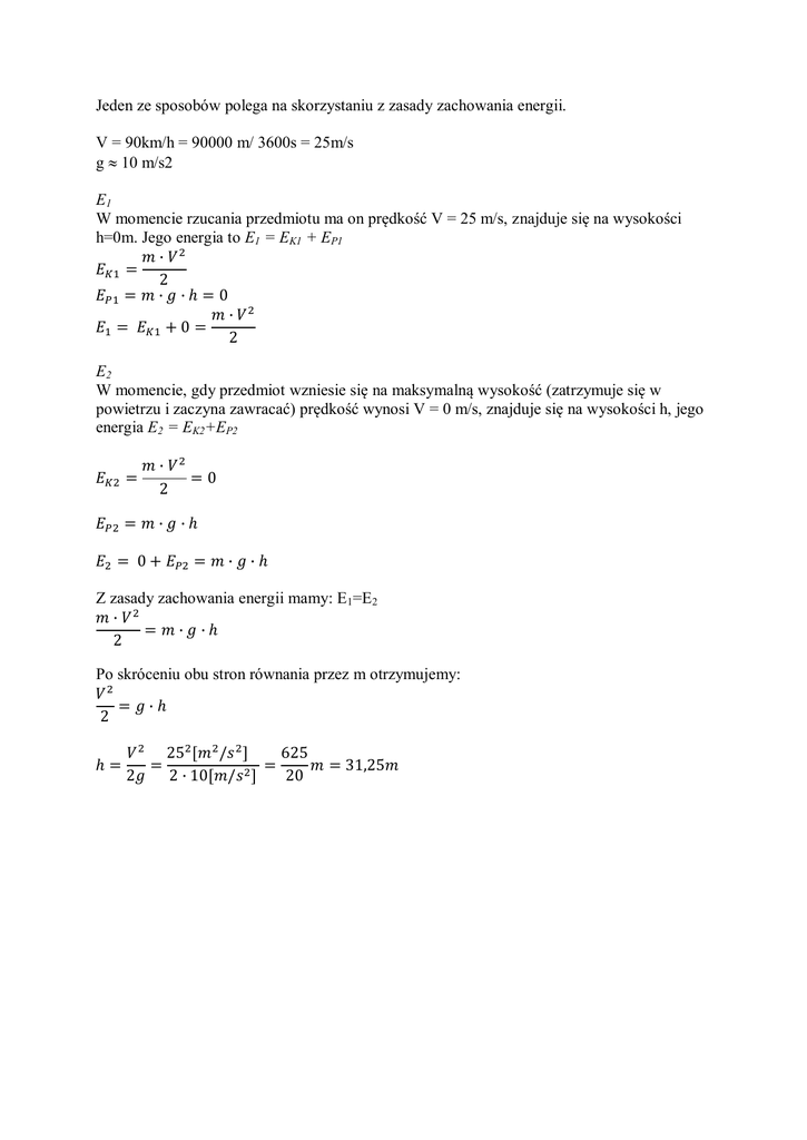
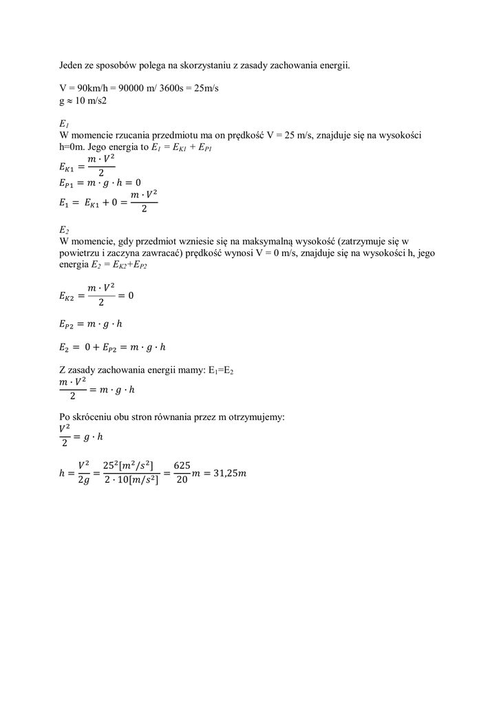
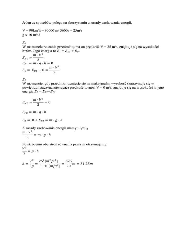
Jeden ze sposobów polega na skorzystaniu z zasady zachowania energii.
V = 90km/h = 90000 m/ 3600s = 25m/s
g  10 m/s2
E1
W momencie rzucania przedmiotu ma on prędkość V = 25 m/s, znajduje się na wysokości
h=0m. Jego energia to E1 = EK1 + EP1
E2
W momencie, gdy przedmiot wzniesie się na maksymalną wysokość (zatrzymuje się w
powietrzu i zaczyna zawracać) prędkość wynosi V = 0 m/s, znajduje się na wysokości h, jego
energia E2 = EK2+EP2
Z zasady zachowania energii mamy: E1=E2
Po skróceniu obu stron równania przez m otrzymujemy: