Parametry techniczne

Transkrypt

Parametry techniczne
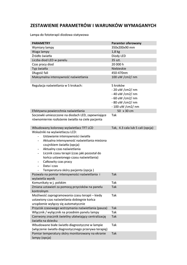
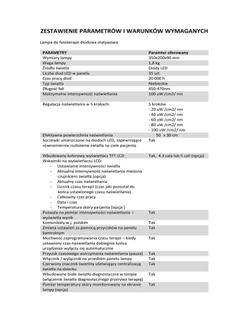
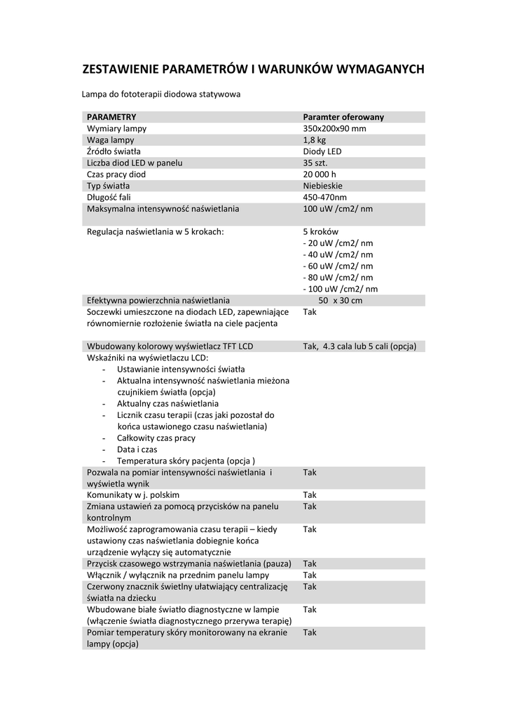
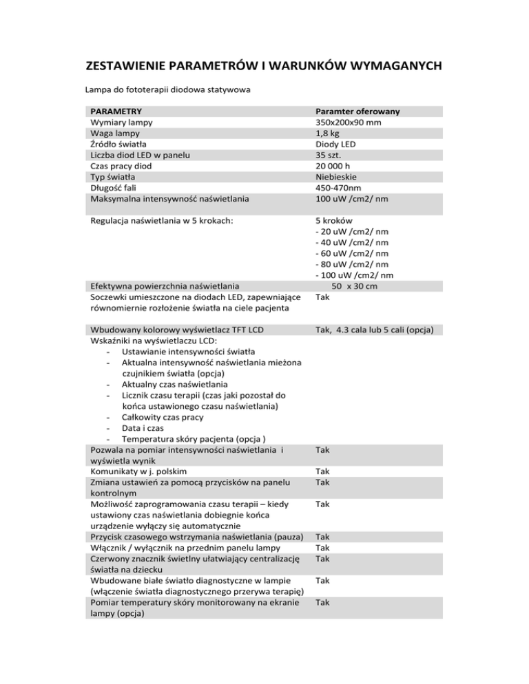
ZESTAWIENIE PARAMETRÓW I WARUNKÓW WYMAGANYCH
Lampa do fototerapii diodowa statywowa
PARAMETRY
Wymiary lampy
Waga lampy
Źródło światła
Liczba diod LED w panelu
Czas pracy diod
Typ światła
Długość fali
Maksymalna intensywność naświetlania
Paramter oferowany
350x200x90 mm
1,8 kg
Diody LED
35 szt.
20 000 h
Niebieskie
450-470nm
100 uW /cm2/ nm
Regulacja naświetlania w 5 krokach:
5 kroków
- 20 uW /cm2/ nm
- 40 uW /cm2/ nm
- 60 uW /cm2/ nm
- 80 uW /cm2/ nm
- 100 uW /cm2/ nm
50 x 30 cm
Tak
Efektywna powierzchnia naświetlania
Soczewki umieszczone na diodach LED, zapewniające
równomiernie rozłożenie światła na ciele pacjenta
Wbudowany kolorowy wyświetlacz TFT LCD
Wskaźniki na wyświetlaczu LCD:
- Ustawianie intensywności światła
- Aktualna intensywność naświetlania mieżona
czujnikiem światła (opcja)
- Aktualny czas naświetlania
- Licznik czasu terapii (czas jaki pozostał do
końca ustawionego czasu naświetlania)
- Całkowity czas pracy
- Data i czas
- Temperatura skóry pacjenta (opcja )
Pozwala na pomiar intensywności naświetlania i
wyświetla wynik
Komunikaty w j. polskim
Zmiana ustawień za pomocą przycisków na panelu
kontrolnym
Możliwość zaprogramowania czasu terapii – kiedy
ustawiony czas naświetlania dobiegnie końca
urządzenie wyłączy się automatycznie
Przycisk czasowego wstrzymania naświetlania (pauza)
Włącznik / wyłącznik na przednim panelu lampy
Czerwony znacznik świetlny ułatwiający centralizację
światła na dziecku
Wbudowane białe światło diagnostyczne w lampie
(włączenie światła diagnostycznego przerywa terapię)
Pomiar temperatury skóry monitorowany na ekranie
lampy (opcja)
Tak, 4.3 cala lub 5 cali (opcja)
Tak
Tak
Tak
Tak
Tak
Tak
Tak
Tak
Tak
Wbudowany wentylator zapobiegający przegrzaniu
Brak promieniowania UV i brak emisji
promieniowania podczerwieni
Poziom hałasu
Klasa ochronności IP
Zasilanie
Długość kabla zasilającego
Moc lampy
Klasa ochronności elektrycznej
Możliwość wymiany paneli LED po okresie
eksploatacji
Tak
Tak
Możliwość postawienia bezpośrednio na inkubatorze
lub zamocowania na stojaku jezdnym z teleskopową
regulacją wysokości
Stojak mobilny:
Tak
Stojak na 3 kółkach z blokadą
Wysokość kółek jezdnych
Tak
8 cm
10 cm
Wysokość podstawy jezdnej (pozwala na wjechanie
pod inkubator lub łóżeczko)
Waga stojaka
Zakres regulacji wysokości
Możliwość regulacji kąta nachylenia lampy
zamocowanej na statywie ±90O
Odległość między ramieniem stojaka a środkiem
lampy
Poniżej 50 dBa
IPX4
220-240 V 50/60Hz
3 cm
90W
Klasa 2 typ BF
Tak
13 kg
od 135 cm do 165 cm
Tak
55 cm