Porządek obrad V Kongresu Papierników Polskich

Transkrypt

Porządek obrad V Kongresu Papierników Polskich
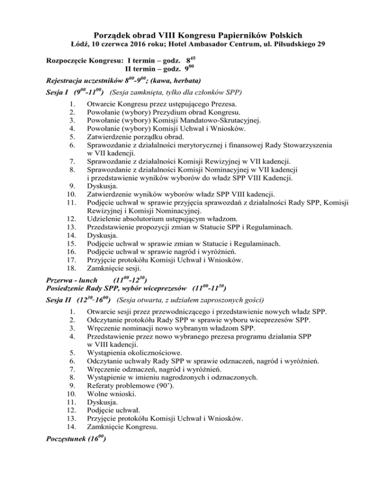
Porządek obrad VIII Kongresu Papierników Polskich
Łódź, 10 czerwca 2016 roku; Hotel Ambasador Centrum, ul. Piłsudskiego 29
Rozpoczęcie Kongresu: I termin – godz. 845
II termin – godz. 900
Rejestracja uczestników 800-900; (kawa, herbata)
Sesja I (900-1100) (Sesja zamknięta, tylko dla członków SPP)
1.
2.
3.
4.
5.
6.
7.
8.
9.
10.
11.
12.
13.
14.
15.
16.
17.
18.
Otwarcie Kongresu przez ustępującego Prezesa.
Powołanie (wybory) Prezydium obrad Kongresu.
Powołanie (wybory) Komisji Mandatowo-Skrutacyjnej.
Powołanie (wybory) Komisji Uchwał i Wniosków.
Zatwierdzenie porządku obrad.
Sprawozdanie z działalności merytorycznej i finansowej Rady Stowarzyszenia
w VII kadencji.
Sprawozdanie z działalności Komisji Rewizyjnej w VII kadencji.
Sprawozdanie z działalności Komisji Nominacyjnej w VII kadencji
i przedstawienie wyników wyborów do władz SPP VIII Kadencji.
Dyskusja.
Zatwierdzenie wyników wyborów władz SPP VIII kadencji.
Podjęcie uchwał w sprawie przyjęcia sprawozdań z działalności Rady SPP, Komisji
Rewizyjnej i Komisji Nominacyjnej.
Udzielenie absolutorium ustępującym władzom.
Przedstawienie propozycji zmian w Statucie SPP i Regulaminach.
Dyskusja.
Podjęcie uchwał w sprawie zmian w Statucie i Regulaminach.
Podjęcie uchwał w sprawie nagród i wyróżnień.
Przyjęcie protokółu Komisji Uchwał i Wniosków.
Zamknięcie sesji.
Przerwa - lunch
(1100-1230)
Posiedzenie Rady SPP, wybór wiceprezesów (1100-1130)
Sesja II (1230_1600) (Sesja otwarta, z udziałem zaproszonych gości)
1.
2.
3.
4.
5.
6.
7.
8.
9.
10.
11.
12.
13.
14.
Otwarcie sesji przez przewodniczącego i przedstawienie nowych władz SPP.
Odczytanie protokółu Rady SPP w sprawie wyboru wiceprezesów SPP.
Wręczenie nominacji nowo wybranym władzom SPP.
Przedstawienie przez nowo wybranego prezesa programu działania SPP
w VIII kadencji.
Wystąpienia okolicznościowe.
Odczytanie uchwały Rady SPP w sprawie odznaczeń, nagród i wyróżnień.
Wręczenie odznaczeń, nagród i wyróżnień.
Wystąpienie w imieniu nagrodzonych i odznaczonych.
Referaty problemowe (90’).
Wolne wnioski.
Dyskusja.
Podjęcie uchwał.
Przyjęcie protokółu Komisji Uchwał i Wniosków.
Zamknięcie Kongresu.
Poczęstunek (1600)