Szczegółowy harmonogram udzielania wsparcia w Projekcie

Transkrypt

Szczegółowy harmonogram udzielania wsparcia w Projekcie
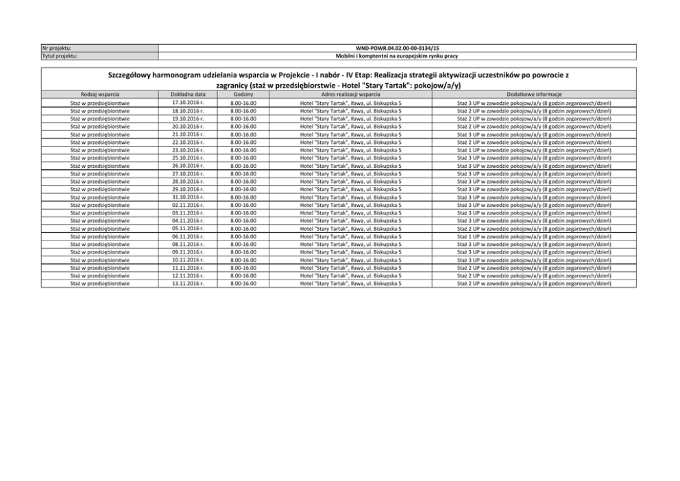
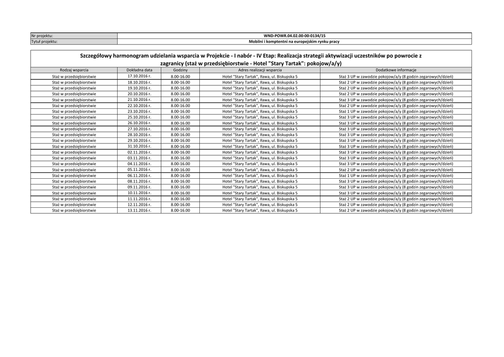
Nr projektu:
Tytuł projektu:
WND-POWR.04.02.00-00-0134/15
Mobilni i komptentni na europejskim rynku pracy
Szczegółowy harmonogram udzielania wsparcia w Projekcie - I nabór - IV Etap: Realizacja strategii aktywizacji uczestników po powrocie z
zagranicy (staż w przedsiębiorstwie - Hotel "Stary Tartak": pokojow/a/y)
Rodzaj wsparcia
Staż w przedsiębiorstwie
Staż w przedsiębiorstwie
Staż w przedsiębiorstwie
Staż w przedsiębiorstwie
Staż w przedsiębiorstwie
Staż w przedsiębiorstwie
Staż w przedsiębiorstwie
Staż w przedsiębiorstwie
Staż w przedsiębiorstwie
Staż w przedsiębiorstwie
Staż w przedsiębiorstwie
Staż w przedsiębiorstwie
Staż w przedsiębiorstwie
Staż w przedsiębiorstwie
Staż w przedsiębiorstwie
Staż w przedsiębiorstwie
Staż w przedsiębiorstwie
Staż w przedsiębiorstwie
Staż w przedsiębiorstwie
Staż w przedsiębiorstwie
Staż w przedsiębiorstwie
Staż w przedsiębiorstwie
Staż w przedsiębiorstwie
Staż w przedsiębiorstwie
Dokładna data
17.10.2016 r.
18.10.2016 r.
19.10.2016 r.
20.10.2016 r.
21.10.2016 r.
22.10.2016 r.
23.10.2016 r.
25.10.2016 r.
26.10.2016 r.
27.10.2016 r.
28.10.2016 r.
29.10.2016 r.
31.10.2016 r.
02.11.2016 r.
03.11.2016 r.
04.11.2016 r.
05.11.2016 r.
06.11.2016 r.
08.11.2016 r.
09.11.2016 r.
10.11.2016 r.
11.11.2016 r.
12.11.2016 r.
13.11.2016 r.
Godziny
8.00-16.00
8.00-16.00
8.00-16.00
8.00-16.00
8.00-16.00
8.00-16.00
8.00-16.00
8.00-16.00
8.00-16.00
8.00-16.00
8.00-16.00
8.00-16.00
8.00-16.00
8.00-16.00
8.00-16.00
8.00-16.00
8.00-16.00
8.00-16.00
8.00-16.00
8.00-16.00
8.00-16.00
8.00-16.00
8.00-16.00
8.00-16.00
Adres realizacji wsparcia
Hotel "Stary Tartak", Iława, ul. Biskupska 5
Hotel "Stary Tartak", Iława, ul. Biskupska 5
Hotel "Stary Tartak", Iława, ul. Biskupska 5
Hotel "Stary Tartak", Iława, ul. Biskupska 5
Hotel "Stary Tartak", Iława, ul. Biskupska 5
Hotel "Stary Tartak", Iława, ul. Biskupska 5
Hotel "Stary Tartak", Iława, ul. Biskupska 5
Hotel "Stary Tartak", Iława, ul. Biskupska 5
Hotel "Stary Tartak", Iława, ul. Biskupska 5
Hotel "Stary Tartak", Iława, ul. Biskupska 5
Hotel "Stary Tartak", Iława, ul. Biskupska 5
Hotel "Stary Tartak", Iława, ul. Biskupska 5
Hotel "Stary Tartak", Iława, ul. Biskupska 5
Hotel "Stary Tartak", Iława, ul. Biskupska 5
Hotel "Stary Tartak", Iława, ul. Biskupska 5
Hotel "Stary Tartak", Iława, ul. Biskupska 5
Hotel "Stary Tartak", Iława, ul. Biskupska 5
Hotel "Stary Tartak", Iława, ul. Biskupska 5
Hotel "Stary Tartak", Iława, ul. Biskupska 5
Hotel "Stary Tartak", Iława, ul. Biskupska 5
Hotel "Stary Tartak", Iława, ul. Biskupska 5
Hotel "Stary Tartak", Iława, ul. Biskupska 5
Hotel "Stary Tartak", Iława, ul. Biskupska 5
Hotel "Stary Tartak", Iława, ul. Biskupska 5
Dodatkowe informacje
Staż 3 UP w zawodzie pokojow/a/y (8 godzin zegarowych/dzień)
Staż 2 UP w zawodzie pokojow/a/y (8 godzin zegarowych/dzień)
Staż 2 UP w zawodzie pokojow/a/y (8 godzin zegarowych/dzień)
Staż 2 UP w zawodzie pokojow/a/y (8 godzin zegarowych/dzień)
Staż 3 UP w zawodzie pokojow/a/y (8 godzin zegarowych/dzień)
Staż 2 UP w zawodzie pokojow/a/y (8 godzin zegarowych/dzień)
Staż 1 UP w zawodzie pokojow/a/y (8 godzin zegarowych/dzień)
Staż 3 UP w zawodzie pokojow/a/y (8 godzin zegarowych/dzień)
Staż 3 UP w zawodzie pokojow/a/y (8 godzin zegarowych/dzień)
Staż 3 UP w zawodzie pokojow/a/y (8 godzin zegarowych/dzień)
Staż 3 UP w zawodzie pokojow/a/y (8 godzin zegarowych/dzień)
Staż 3 UP w zawodzie pokojow/a/y (8 godzin zegarowych/dzień)
Staż 3 UP w zawodzie pokojow/a/y (8 godzin zegarowych/dzień)
Staż 3 UP w zawodzie pokojow/a/y (8 godzin zegarowych/dzień)
Staż 3 UP w zawodzie pokojow/a/y (8 godzin zegarowych/dzień)
Staż 3 UP w zawodzie pokojow/a/y (8 godzin zegarowych/dzień)
Staż 2 UP w zawodzie pokojow/a/y (8 godzin zegarowych/dzień)
Staż 1 UP w zawodzie pokojow/a/y (8 godzin zegarowych/dzień)
Staż 3 UP w zawodzie pokojow/a/y (8 godzin zegarowych/dzień)
Staż 3 UP w zawodzie pokojow/a/y (8 godzin zegarowych/dzień)
Staż 3 UP w zawodzie pokojow/a/y (8 godzin zegarowych/dzień)
Staż 2 UP w zawodzie pokojow/a/y (8 godzin zegarowych/dzień)
Staż 2 UP w zawodzie pokojow/a/y (8 godzin zegarowych/dzień)
Staż 2 UP w zawodzie pokojow/a/y (8 godzin zegarowych/dzień)