Procedura: P.107 Zakres przedmiotowy: projekty międzyuczelniane

Transkrypt

Procedura: P.107 Zakres przedmiotowy: projekty międzyuczelniane
KARTA PROCEDURY
P.107_DN
Procedura: P.107
Zakres przedmiotowy: projekty międzyuczelniane,
Formularze: http://plus.sdu.pl/web/formularze-uczelniane
Uczestnicy procesu:
1. pracownicy: Prorektor ds. Nauki i Współpracy z Zagranicą, dziekani, Kwestor, kierownicy
jednostek, dziekani, Dział Nauki (DN), Kwestura,
2. podmioty zewnętrzne: Uczelnie publiczne w Poznaniu,
Właściciel procesu: Dział Nauki (DN)
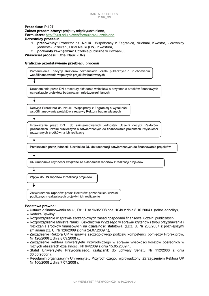
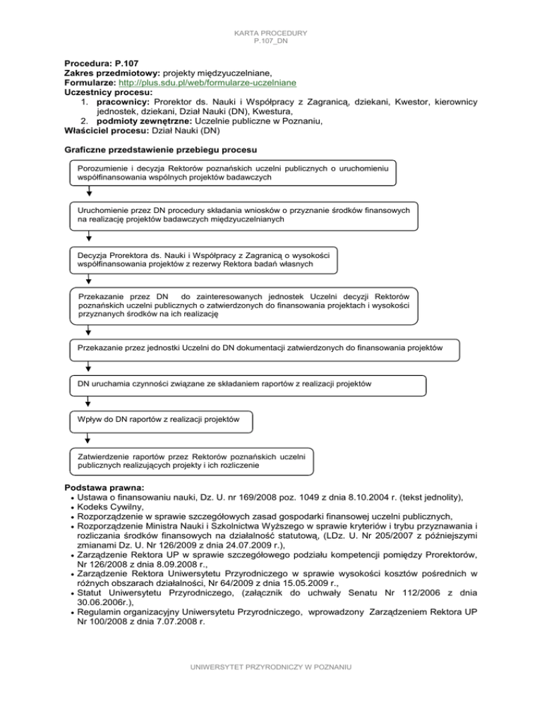
Graficzne przedstawienie przebiegu procesu
Porozumienie i decyzja Rektorów poznańskich uczelni publicznych o uruchomieniu
współfinansowania wspólnych projektów badawczych
Uruchomienie przez DN procedury składania wniosków o przyznanie środków finansowych
na realizację projektów badawczych międzyuczelnianych
Decyzja Prorektora ds. Nauki i Współpracy z Zagranicą o wysokości
współfinansowania projektów z rezerwy Rektora badań własnych
Przekazanie przez DN
do zainteresowanych jednostek Uczelni decyzji Rektorów
poznańskich uczelni publicznych o zatwierdzonych do finansowania projektach i wysokości
przyznanych środków na ich realizację
Przekazanie przez jednostki Uczelni do DN dokumentacji zatwierdzonych do finansowania projektów
DN uruchamia czynności związane ze składaniem raportów z realizacji projektów
Wpływ do DN raportów z realizacji projektów
Zatwierdzenie raportów przez Rektorów poznańskich uczelni
publicznych realizujących projekty i ich rozliczenie
Podstawa prawna:
• Ustawa o finansowaniu nauki, Dz. U. nr 169/2008 poz. 1049 z dnia 8.10.2004 r. (tekst jednolity),
• Kodeks Cywilny,
• Rozporządzenie w sprawie szczegółowych zasad gospodarki finansowej uczelni publicznych,
• Rozporządzenie Ministra Nauki i Szkolnictwa WyŜszego w sprawie kryteriów i trybu przyznawania i
rozliczania środków finansowych na działalność statutową, (LDz. U. Nr 205/2007 z późniejszymi
zmianami Dz. U. Nr 126/2009 z dnia 24.07.2009 r.),
• Zarządzenie Rektora UP w sprawie szczegółowego podziału kompetencji pomiędzy Prorektorów,
Nr 126/2008 z dnia 8.09.2008 r.,
• Zarządzenie Rektora Uniwersytetu Przyrodniczego w sprawie wysokości kosztów pośrednich w
róŜnych obszarach działalności, Nr 64/2009 z dnia 15.05.2009 r.,
• Statut Uniwersytetu Przyrodniczego, (załącznik do uchwały Senatu Nr 112/2006 z dnia
30.06.2006r.),
• Regulamin organizacyjny Uniwersytetu Przyrodniczego, wprowadzony Zarządzeniem Rektora UP
Nr 100/2008 z dnia 7.07.2008 r.
UNIWERSYTET PRZYRODNICZY W POZNANIU