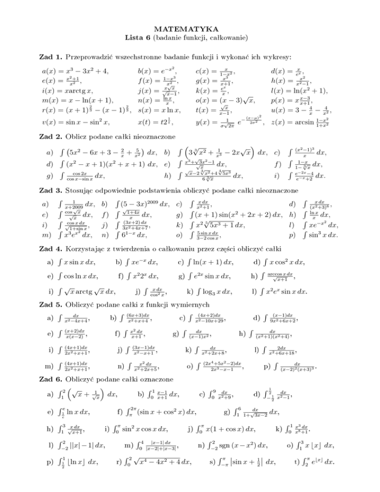
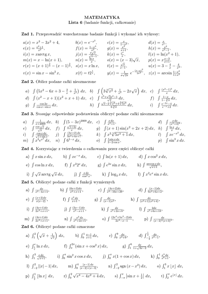
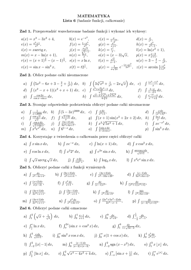
Lista 6

Transkrypt

Lista 6
MATEMATYKA
(badanie funkcji, caªkowanie)
Lista 6
Przeprowadzi¢ wszechstronne badanie funkcji i wykona¢ ich wykresy:
Zad 1.
2
a(x) = x3 − 3x2 + 4,
2
e(x) = x x+1
2 ,
i(x) = xarctg x,
m(x) = x − ln(x + 1),
2
2
r(x) = (x + 1) 3 − (x − 1) 3 ,
b(x) = e−x ,
3
f (x) = 1−x
,
x√2
x x
j(x) = √x−1 ,
n(x) = lnxx ,
s(x) = x ln x,
v(x) = sin x − sin2 x,
x(t) = t2 t ,
x
c(x) = 1−x
2,
x3
g(x) = x+1 ,
x
k(x) = ex ,
√
x,
o(x) = (x
−
3)
√
x
t(x) = x−1 ,
1
y(x) =
√1
σ 2π
e−
(x−µ)2
2σ 2
d(x) = exx ,
2
h(x) = x2x−1 ,
l(x) = ln(x2 + 1),
p(x) = x x−3
,
x+1
4
u(x) = 3 − x − x42 ,
2
, z(x) = arcsin 1−x
1+x2
Oblicz podane caªki nieoznaczone
Zad 2.
R √
R
√ 3
1
2
a)
5x − 6x + 3 − +
dx, b)
3 x + x3 − 2x x dx, c)
R 2
R x3 +√3x2 −1
R
√
d)
(x − x + 1)(x2 + x + 1) dx, e)
dx,
f
)
x
√
3 2
4
R cos 2x
R √x−2 √
R
x +4 5x3
√
g)
dx,
h)
dx,
i)
3
cos x−sin x
6 x
R
a)
e)
i)
m)
R
R
R
5
x2
1
dx,
x+2009
√
cos x
√
dx,
x
√cos x dx ,
1+sin x
3 x2
x e dx,
(x2 −1)3
dx,
x
1−x
√ dx,
1− 3 x
e−2x −4
dx.
e−x +2
b)
R
x dx
,
(x2 +3)6
R
R
ln x
2
g)
(x + 1) sin(x + 2x + 2) dx, h)
dx,
R 2√
R x −x2
5
k)
x 5x3 + 1 dx,
l)
xe
dx,
R
R 5 sin x dx
3
,
p)
sin x dx.
o)
3−2 cos x
R √1+4x
f)
dx,
x
R (3x+2)
dx
j)
2 +4x+7 ,
R 3x1−x
n)
6
dx,
x dx
,
x2 +1
R
(5 − 3x)2009 dx, c)
R
d)
Korzystaj¡c z twierdzenia o caªkowaniu przez cz¦±ci obliczy¢ caªki
Zad 4.
b)
R
xe−x dx,
c)
R
f)
R
x2 2x dx,
R x dx
g)
R
a)
R
x sin x dx,
e)
R
cos ln x dx,
i)
R√
√
x arctg x dx,
j)
,
(6x+3)dx
,
x2 +x+4
a)
R
dx
,
x2 −4x+4
e)
R
(x+2)dx
,
x(x−2)
i)
R
(4x+1)dx
,
2x2 +x+1
j)
m)
R
(4x+1)dx
,
2x2 +x+1
n)
Zad 6.
d)
e2x sin x dx,
R
k)
log3 x dx,
R
h)
R
l)
R
x cos2 x dx,
arccos
√ x dx ,
x+1
x2 ex sin x dx.
1
e)
Re
h)
R3
l)
R2
p)
R1
1
e
1
R
b)
x2 dx
,
x+1
R
f)
c)
g)
(3x−1)dx
,
x2 −x+1
R
R
x2 dx
,
x2 +2x+5
R
R
(4x+2)dx
,
x2 −10x+29
d)
dx
,
(x−1)x2
h)
dx
,
x2 +2x+8
k)
R
o)
R
R
(x−1)dx
,
9x2 +6x+2
R
dx
,
(x2 +1)(x2 +4)
l)
(2x4 +5x2 −2)dx
,
2x3 −x−1
2dx
,
x2 +6x+18
R
p)
R
dx
.
(x−2)2 (x+3)3
Obliczy¢ podane caªki oznaczone
R 2 √
x+
√1
x
dx,
ln x dx,
√x dx ,
x+1
−2
1
2
cos2 x
ln(x + 1) dx,
Obliczy¢ podane caªki z funkcji wymiernych
Zad 5.
a)
Stosuj¡c odpowiednie podstawienia obliczy¢ podane caªki nieoznaczone
Zad 3.
R
2
x
2
f)
i)
||x| − 1| dx,
bln xc dx,
b)
Rπ
0
R 2π
π
R1
x−1
0 x+1
dx,
c)
dx
,
0 x2 +9
(sin x + cos2 x) dx,
sin2 x cos x dx,
R4
j)
|x−1| dx
m) 0 |x−2|+|x−3| ,
R2√
r) 0
R9
x4 − 4x2 + 4 dx,
g)
Rπ
0
d)
R 12
dx
,
− 12 x2 −1
R6
√dx
1 1+ 3x−2
x(1 + cos x) dx,
dx,
k)
R2
n) −2 sgn (x − x2 ) dx,
Rπ sin x + 1 dx,
2
s) −π
R1
x3 dx
.
0 x8 +1
R3
o) 1
x bxc dx,
Rπ
t) 2
ebxc dx.