13b zał. nr 2 do przedm.wyr podbud kruszywem

Transkrypt

13b zał. nr 2 do przedm.wyr podbud kruszywem
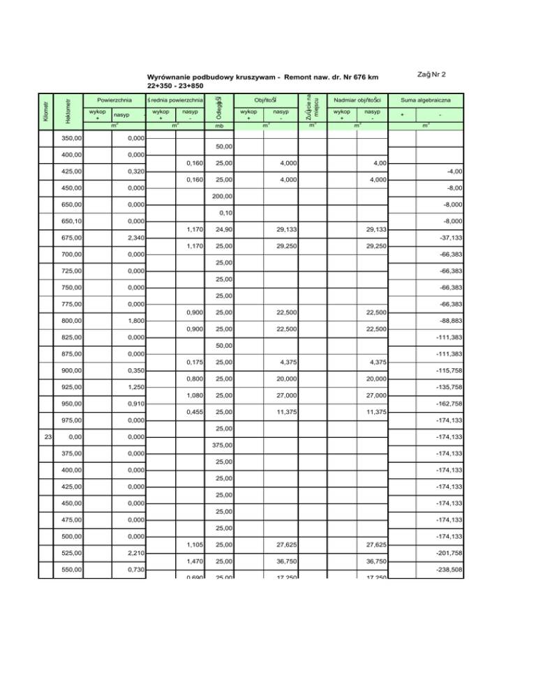
Zał. Nr 2
350,00
400,00
425,00
450,00
650,00
650,10
675,00
700,00
725,00
750,00
775,00
800,00
825,00
875,00
900,00
925,00
950,00
975,00
23
0,00
375,00
400,00
425,00
450,00
475,00
500,00
525,00
550,00
nasyp
-
m2
wykop
+
nasyp
m2
0,000
Objętość
wykop
+
3
m3
mb
0,000
nasyp
-
Zużycie na
miejscu
Średnia powierzchnia
Powierzchnia
wykop
+
Odległość
Hektometr
Kilometr
Wyrównanie podbudowy kruszywam - Remont naw. dr. Nr 676 km
22+350 - 23+850
m
0,000
0,000
Nadmiar objętości
Suma algebraiczna
wykop
+
+
nasyp
m3
m3
0,000
0,00
0,000
0,000
50,00
0,000
0,000
0,000
0,000
0,00
0,000
0,160
25,00
0,000
4,000
0,000
0,000
4,00
0,000
0,160
25,00
0,000
4,000
0,000
0,000
4,000
0,000
0,000
200,00
0,000
0,000
0,000
0,000
0,000
0,000
0,000
0,10
0,000
0,000
0,000
0,000
0,000
0,000
1,170
24,90
0,000
29,133
0,000
0,000
29,133
0,000
1,170
25,00
0,000
29,250
0,000
0,000
29,250
0,000
0,000
25,00
0,000
0,000
0,000
0,000
0,000
0,000
0,000
25,00
0,000
0,000
0,000
0,000
0,000
0,000
0,000
25,00
0,000
0,000
0,000
0,000
0,000
0,000
0,900
25,00
0,000
22,500
0,000
0,000
22,500
0,000
0,900
25,00
0,000
22,500
0,000
0,000
22,500
0,000
0,000
50,00
0,000
0,000
0,000
0,000
0,000
0,000
0,175
25,00
0,000
4,375
0,000
0,000
4,375
0,000
0,800
25,00
0,000
20,000
0,000
0,000
20,000
0,000
1,080
25,00
0,000
27,000
0,000
0,000
27,000
0,000
0,455
25,00
0,000
11,375
0,000
0,000
11,375
0,000
0,000
25,00
0,000
0,000
0,000
0,000
0,000
0,000
0,000
375,00
0,000
0,000
0,000
0,000
0,000
0,000
0,000
25,00
0,000
0,000
0,000
0,000
0,000
0,000
0,000
25,00
0,000
0,000
0,000
0,000
0,000
0,000
0,000
25,00
0,000
0,000
0,000
0,000
0,000
0,000
0,000
25,00
0,000
0,000
0,000
0,000
0,000
0,000
0,000
25,00
0,000
0,000
0,000
0,000
0,000
0,000
1,105
25,00
0,000
27,625
0,000
0,000
27,625
0,000
1,470
25,00
0,000
36,750
0,000
0,000
36,750
0,000
0,690
25,00
0,000
17,250
0,000
0,000
17,250
0,000
0,320
0,000
0,000
0,000
2,340
0,000
0,000
0,000
0,000
1,800
0,000
0,000
0,350
1,250
0,910
0,000
0,000
0,000
0,000
0,000
0,000
0,000
0,000
2,210
0,730
#######
#######
0,00
#######
-4,00
#######
-8,00
#######
-8,000
#######
-8,000
#######
-37,133
#######
-66,383
#######
-66,383
#######
-66,383
#######
-66,383
#######
-88,883
#######
-111,383
#######
-111,383
#######
-115,758
#######
-135,758
#######
-162,758
#######
-174,133
#######
-174,133
#######
-174,133
#######
-174,133
#######
-174,133
#######
-174,133
#######
-174,133
#######
-174,133
#######
-201,758
#######
-238,508
575,00
600,00
625,00
650,00
675,00
700,00
725,00
750,00
754,12
775,00
800,00
825,00
850,00
0,000
0,690
25,00
0,000
17,250
0,000
0,000
17,250
0,000
1,215
25,00
0,000
30,375
0,000
0,000
30,375
0,000
0,890
25,00
0,000
22,250
0,000
0,000
22,250
0,000
0,000
25,00
0,000
0,000
0,000
0,000
0,000
0,000
0,000
25,00
0,000
0,000
0,000
0,000
0,000
0,000
0,000
25,00
0,000
0,000
0,000
0,000
0,000
0,000
0,000
25,00
0,000
0,000
0,000
0,000
0,000
0,000
1,055
25,00
0,000
26,375
0,000
0,000
26,375
0,000
2,050
4,12
0,000
8,446
0,000
0,000
8,446
0,000
1,630
20,88
0,000
34,034
0,000
0,000
34,034
0,000
0,955
25,00
0,000
23,875
0,000
0,000
23,875
0,000
0,575
25,00
0,000
14,375
0,000
0,000
14,375
0,000
0,255
25,00
0,000
6,375
0,000
0,000
6,375
0,000
0,000
0,000
0,000
0,000
0,000
0,000
0,000
421,863
0,000
0,000
0,000
0,000
0,000
0,000
0,650
1,780
0,000
0,000
0,000
0,000
0,000
2,110
1,990
1,270
0,640
0,510
0,000
#######
-255,758
#######
-286,133
#######
-308,383
#######
-308,383
#######
-308,383
#######
-308,383
#######
-308,383
#######
-334,758
#######
-343,204
#######
-377,238
#######
-401,113
#######
-415,488
#######
-421,863
#######
0,000
1500,00
0,000
#######