1. Informacja o kontrolach przeprowadzonych przez Wydział Inspekcji

Transkrypt

1. Informacja o kontrolach przeprowadzonych przez Wydział Inspekcji
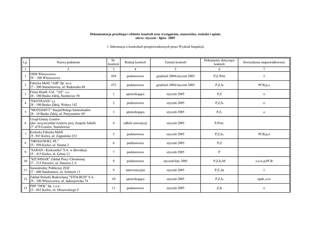
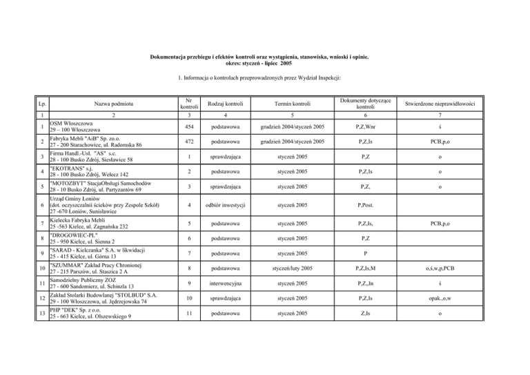
Dokumentacja przebiegu i efektów kontroli oraz wystąpienia, stanowiska, wnioski i opinie.
okres: styczeń - lipiec 2005
1. Informacja o kontrolach przeprowadzonych przez Wydział Inspekcji:
Lp.
Nazwa podmiotu
1
2
Nr
kontroli
3
Rodzaj kontroli
Termin kontroli
4
5
Dokumenty dotyczące
kontroli
6
Stwierdzone nieprawidłowości
7
1
OSM Włoszczowa
29 – 100 Włoszczowa
454
podstawowa
grudzień 2004/styczeń 2005
P,Z,Wnr
ś
2
Fabryka Mebli "AiB" Sp. zo.o.
27 - 200 Starachowice, ul. Radomska 86
472
podstawowa
grudzień 2004/styczeń 2005
P,Z,Is
PCB,p,o
3
Firma Handl.-Usł. "AS" s.c.
28 - 100 Busko Zdrój, Siesławice 58
1
sprawdzająca
styczeń 2005
P,Z
o
4
"EKOTRANS" s.j.
28 - 100 Busko Zdrój, Wełecz 142
2
podstawowa
styczeń 2005
P,Z,Is
o
5
"MOTOZBYT" StacjaObsługi Samochodów
28 - 10 Busko Zdrój, ul. Partyzantów 69
3
sprawdzająca
styczeń 2005
P,Z,
o
6
Urząd Gminy Łoniów
(dot. oczyszczalnii ścieków przy Zespole Szkół)
27 -670 Łoniów, Sunisławice
4
odbiór inwestycji
styczeń 2005
P,Post.
7
Kielecka Fabryka Mebli
25 -563 Kielce, ul. Zagnańska 232
5
podstawowa
styczeń 2005
P,Z,Is,
8
"DROGOWIEC-PL"
25 - 950 Kielce, ul. Sienna 2
6
podstawowa
styczeń 2005
P,Z
9
"SARAD - Kielczanka" S.A. w likwidacji
25 - 415 Kielce, ul. Górna 13
7
podstawowa
styczeń 2005
P
10
"SZUMMAR" Zakład Pracy Chronionej
27 - 215 Parszów, ul. Staszica 2 A
8
podstawowa
styczeń/luty 2005
P,Z,Is,M
o,ś,w,p,PCB
11
Samodzielny Publiczny ZOZ
27 - 600 Sandomierz, ul. Schinzla 13
9
interwencyjna
styczeń 2005
P,Z,,In
ś
12
Zakład Stolarki Budowlanej "STOLBUD" S.A.
29 - 100 Włoszczowa, ul. Jędrzejowska 74
10
sprawdzająca
styczeń 2005
P,Z,Is
opak.,o,w
13
PHP "DEK" Sp. z o.o.
25 - 663 Kielce, ul. Olszewskiego 9
11
podstawowa
styczeń 2005
Z,Is
o
PCB,p,o
14
Grupa Ożarów S.A.
27 - 530 Ożarów, Krasy 77
12
sprawdzająca
styczeń 2005
P,Z
15
DS. SMITH-POLSKA S.A.
25 -639 Kielce, ul. Malik ów 150
13
sprawdzająca
styczeń 2005
P
14
podstawowa
styczeń 2005
P,Z,Is,In
Firma Produkcyjna Wędlin i Wyrobów
16 Wędliniarskich
28 - 230 Połaniec, ul. Ogrodowa 1
o,p
o,SZWO
17
Przetwórstwo Owoców i Warzyw "GOMAR"
25 - 372Kielce, ul. Skrajna 58
15
podstawowa
styczeń 2005
P,In
18
"PETRO-PLUS" Stacja Paliw wł. Krawczyk
25 - 320 Kielce, ul. Domaszowska 71
16
podstawowa
styczeń 2005
P,Z,
19
"NAPA" Sp. j.
26 - 100 Skarżysko Kamienna, ul. Łyżwy 128
17
sprawdzająca
styczeń/ luty 2005
P
20
PUPH wł. Struski
26 - 060 Chęciny, Os. Sosnówka 1 c
18
odbiór inwestycji
styczeń 2005
P,Z,Post.
o
21
Zakład Uboju i Wyrobu Wędlin
28 - 160 Wiślica, Koniecmosty 82
19
podstawowa
styczeń 2005
P,Z,Is,Irz
ś,o
22
Naprawa Pojazdów "Grzyb"
28 - 100 Busko Zdrój, Mikułowice 119
20
podstawowa
styczeń 2005
P,W,Is,In
23
"STAR-GAZ"
28 - 100 Busko Zdrój, ul. Wojska Polskiego 119
21
podstawowa
styczeń 2005
P,Z,Is
24
Specjalistyczne Gospodarstwo Drobiarskie
28 - 100 Busko Zdrój, Mikułowice 3
22
sprawdzająca
styczeń/luty 2005
P,In
25
"CABAŁA COMPLEX" Stacja Paliw w Jasieńcu
gm. Słupia Jędrzejowska
23
odbiór inwestycji
styczeń 2005
P,Is
26
Zakłady Wyrobów Metalowych SHL S.A.
25 - 953 Kielce, ul. Zagńska 27
24
interwencyjna
styczeń 2005
P
27
Drukarnia "Duet" Sp. j.
25 - 415 Kielce, ul. Górna 11 a
25
odbiór inwestycji
styczeń 2005
P,Is,Post.
26
sprawdzająca
styczeń 2005
P,Is
Urząd Gminy Sadowie
28 (dot. Składowisko odpadów Grocholice)
27 - 580 Sadowie
o,p
ś,o
29
Przedsiebiorstwo Wielobranżowe
26 - 130 Suchedniów, ul. Kościuszki 4
27
podstawowa
styczeń 2005
P,Z,IS
o
30
Spalarnia Odpadów Medycznych "EXPOL-BIS" Sp. j.
26 - 110 Skarżysko-Kam. , ul. Solkola
28
interwencyjna
styczeń/luty 2005
P,Z,Wns,Ir,In,M
p,o
31
Sprzedaż Detaliczna Paliw - Gaz
26 - 060 Chęciny, Korzecko 87
29
interwencyjna
styczeń 2005
P,Is,Irz
Warsztat Rzemieślniczy
32 Grażyna i Janusz Cymbra
28 - 300 Jedrzejów, Mniów 167
30
sprawdzająca
styczeń 2005
P,Post.
Krajowa Spółka Cukrowa S.A.
33 Cukrownia "Częstocice"
27 - 400 Ostrowiec Św., ul. Świętokrzyska 27
31
sprawdzająca
styczeń 2005
P,Post.
34
PPHU "ASKO"
26 - 110 Skarżysko Kamienna, ul. 1-go Maja 78
32
sprawdzająca
styczeń/marzec/kwiecień 2005
P
35
"TABEX-OZMO" Sp. z o.o.
27 - 400 Ostrowiec Św. , ul. Sandomierska 112
33
sprawdzająca
styczeń 2005
P,W,In
34
sprawdzająca
styczeń 2005
P,Is
35
sprawdzająca
styczeń/luty 2005
P,Z
"DS. SMITH Polska" S.A.
38 25 - 639 Kielce, ul. Malików 150
36
sprawdzająca
styczeń/luty 2005
P
Zakład Cukierniczy wł. M.Fit
39 26 - 085 Miedziana Góra, ul. Liliowa 3
37
podstawowa
styczeń 2005
P.Z,Ir,Is,In
p,o
"DALKIA POLSKA" S.A. Obiekty w Jędrzejowie
40 28 - 300 Jędrzejów, ul. Przypkowskiego 37
38
sprawdzająca
styczeń/luty 2005
P,Z,Is
p,o
Areoklub Pińczowski
41 28 - 400 Pińczów, ul. Legionistów 26 a
40
sprawdzająca
luty 2005
P,Post.
"HENKEL POLSKA" S.A. Zakład Produkcyjny
42 26 - 220 Stąporków, Stara Góra
39
podstawowa
luty/marzec 2005
P,Is
Celsa Huta Ostrowiec Sp. zo.o.
43 27 - 400 Ostrowiec, ul. Samsonowicza 2
41
sprawdzająca
luty 2005
P,Z,
MPEC Sp. zo.o.
44 25 -611 Kielce, ul. Mielczarskiego 139
42
sprawdzająca
marzec/kwiecień 2005
P,Z
Komenda Miejska Policji - kotłownia
45 25 - 008 Kielce, ul. Staszica 14
43
interwencyjna
luty 2005
P,In
Zakład Produkcyjny opakowan Tekturowych
46 "SŁAWAL" s.c.
26 - 110 Skarżysko Kamienna, ul. Rejowska 99
44
sprawdzająca
luty/kwiecień 2005
P
Zakład Regeneracji Tworzyw Sztucznych
47 26 -230 Radoszyce, ul. Mickiewicza 3
45
interwencyjna
luty 2005
N,Is
Urząd Gminy Małogoszcz
36 (dot. Składowiska odpadów w Mieronicach)
28 - 366 Małogoszcz, ul.Jędrzejowska 15 a
37
PPHU "WTÓRPOL" Zakład Pracy Chronionej
26 - 110 Skarżysko-Kam., ul. Żurawia 1
o,p
o
Miejski Zarząd Dróg
48 25 - 384 Kielce, ul. Prędowskiej 7
46
odbiór inwestycji
luty 2005
P,Post.
Przeds. Remontowo Montażowe "REMUR"
49 28 - 400 Pińczów, ul. Grodziskowa 15
47
podstawowa
luty 2005
N
Stacja Paliw "ANGIELSCY" Sp. j.
50 26 - 020 Chmielnik, Śladków Mały
48
podstawowa
luty 2005
N
ZPUH "METROL"
51 28 - 100 Busko Zdrój, Zwierzyniec
49
sprawdzająca
luty 2005
P,Z,Is,M
o,w,p
Zakład Gospodarki Komunalnej
52 (dot. czyszczalni ścieków w Gnojnie)
28 - 114 Gnojnie
50
sprawdzająca
luty 2005
P,Z
ś
P.H.T "Supon" Sp. zo.o.
53 25- 110 Kielce, ul. Sandomierska
52
sprawdzająca
luty 2005
N
Zakład Przetwórstwa Mięsnego Hochel Ryszard
54 26 - 065 Micigózd, ul. Częstochowska 6
53
interwencyjna
luty 2005
P,Z,Wns,Wnr,Ir
o
PPUH "STAR-POL"
55 26 - 050 Zagnańsk, Lekomin 23
54
interwencyjna
luty 2005
P,Z,Is,Irz
o,ś
Zakład Energetyki Cieplnej
56 28 - 200 Staszów, ul. Langiewicza 14
55
sprawdzająca
luty 2005
P,Z,Is
p
Budowlano-Montażowa Spółdzielnia Pracy
57 "BUDOMONT"
28 - 200 Staszów, ul. Towarowa 7
56
podstawowa
luty 2005
N
Odlewnie Wyrobów Kanalizacyjnych Sp. zo.o.
58 26 - 200 Staporków, ul. Staszica 1A
57
sprawdzająca
luty 2005
N
Urząd Miasta i Gminy Chmielnik
59 (dot. Składowiska odpadów w Suchowoli)
26 - 020 Chmielnik, Pl. Kościelny 5
58
sprawdzająca
luty 2005
P,Is
Wojewódzki Szpital Zespolony
60 25 - 736 Kielce, ul. Grunwaldzka 45
59
sprawdzająca
Luty 2005
P,Z,Is,In
azbest,o
OSM Bidziny
61 Oddział w Staszowie
28 - 200 Staszów, ul. Parkowa 9
60
sprawdzająca
luty 2005
P,Z,Is
p
Bar Mleczny
62 28 - 200 Staszów, Rynek 6
61
interwencyjna
luty 2005
P,Z,In
p
Spalarnia Odpadów Medycznych ZOZ Busko
63 28 - 100 Busko Zdrój, ul. Bohaterów Warszawy
62
sprawdzająca
luty 2005
P,Z,
o,p
PPU "ARFOX"
64 28 - 330 Wodzisław, Mierzawa 66
63
sprawdzająca
luty/kwiecień 2005
P
Poligrafia S.A.
65 25 - 323 Kielce, ul. Manifestu Lipcowego 24
64
sprawdzająca
luty 2005
P,Z,Is
Posesja prywatna wł. M. Stachura
66 26 - 026 Morawica,Bilcza-Podgórze 22
65
interwencyjna
luty 2005
P,Is
Sklep Wielobranżowy
67 26 -060 Chęciny, ul. Radkowska 1 c
66
odbiór inwestycji
luty 2005
"PREKON" Sp. zo.o.
68 27 - 200 Starachowice, ul. Składowa 33
67
odbiór inwestycji
luty 2005
P,Post.
SAINT-GOBAIN Weber Terranova Sp. zo.o.
69 27 - 400 Ostrowiec Św.,ul. 11 - go Listopada 60
69
sprawdzająca
luty 2005
P,Z
Okręgowa Spółdzielnia Mleczarska
70 27-400 Ostrowiec Św.,, ul. Zagłoby 32
70
sprawdzająca
luty/marzec 2005
P,Z
o,PCB
Spółdzielnia Inwalidów "SIMKO"
71 Zakład Pracy Chronionej
26 - 110 Skarżysko - Kam., ul. 1- go Maja 99
71
podstawowa
luty 2005
P,Z,Is
p,o,ś,w
Kieleckie Zakłady Naprawy Samochodów Sp. zo.o. w
72 likwidacji
25 - 701 Kielce, ul. Krakowska 62
72
sprawdzająca
luty/marzec 2005
P,Z
PCB
"QUICK PACK Polska Sp. zo.o"
73 28 - 300 Jędrzejów, Lasków
73
sprawdzająca
luty/czerwiec 2005
P
"BETONCHEM"
74 26 - 200 Końskie, ul. Piłsudskiego 32
74
odbiór inwestycji
luty 2005
P,Post.
ETC Sp. zo.o.
75 27 - 400 Ostrowiec Św., ul. Drukarska 14
75
sprawdzająca
luty/marzec 2005
P,Is
Celsa Huta Ostrowiec Sp. zo.o.
76 27 - 400 Ostrowiec, ul. Samsonowicza 2
76
sprawdzająca
luty 2005
P,Z,Irz
77
Rafineria Jasło S.A. Stacja Paliw
27 - 600 Sandomierz, ul. Lwowska 48
77
odbiór inwestycji
luty 2005
P,Irz,Is,In
78
PPHU "INTERSPEED" Sp. zo.o.
27 - 400 Ostrowiec Św, ul. Gulińskiego 26
78
sprawdzająca
luty/marzec 2005
P
79
odbiór inwestycji
luty 2005
P,Post.
80
sprawdzająca
marzec 2005
P,Irz,Is,In
81
interwencyjna
marzec 2005
P,Z
"PILKINGTON AUTOMOTIVE Poland" Sp. zo.o.
27 - 600 Sandomierz, ul. Portowa 24
"Hydrogeotechnika" Sp. zo.o.
80 25 - 116 Kielce, ul. Ściegiennego 262 a
79
PH "Domgoss" S.A.
81 25 - 020 Kielce, ul. Chęcińska 14 a
o
o
p,o
"EkoPlon" S.A.
82 Zakład Produkcji Nawozów
28 - 225 Szydłów, Grabki Duże
82
sprawdzająca
marzec 2005
P,Is
OSM "Jedność"
83 28 - 151 Biechów, Wójcza
83
sprawdzająca
marzec 2005
N
Generalna Dyrekcja Dróg Krajowych i Autostrad
84 Obwód Służby Liniowej
28 - 100 Busko Zdrój, Grotniki Duże
84
interwencyjna
marzec 2005
P,Z,Is
w
PT-H "Utrans"
85 28 - 100 Busko - Zdrój, Mikułowice 359
85
sprawdzająca
marzec 2005
P,Z,Is,M
o
PPUH "Sudolanka"
86 28 - 300 Jędrzejów, Sudół 24
86
odbiór inwestycji
marzec 2005
P,Z,Post.,Is
o
"KAMIR" S.C.
87 25 - 020 Kielce, ul. Checińska 14
87
interwencyjna
marzec 2005
P,Z,In
o,p
"INFOMAX"
88 Zakład Pracy Chronionej
25 -604 Kielce, ul. Opienińska 21
88
interwencyjna
marzec 2005
P,Z,In
p
PPH "PRECYZJA" Sp. zo.o.
89 28 - 200 Staszów, ul. Oględowska 15
89
sprawdzająca
kwiecień 2005
P,Z
opak.,o,w
"KIEL-PAK" Sp. j.
90 25 -655 Kielce, ul. 1-go Maja 165 a
90
sprawdzająca
marzec/maj 2005
P
"Bracia Kasprzak" Sp. J.
91 Gospodarstwo Ogrodnicze
26 - 065 Piekoszów, ul. Czarnowska 54
91
sprawdzająca
marzec 2005
P,Z,Is,M
p,w,o,azbest
PPUH "Kanarek" Ubojnia Drobiu
92 26 - 065 Piekoszów, ul. Słoneczna 22
92
podstawowa
marzec 2005
P,Z,Is
w,o,SZWO
"SHMIDT" Sp. zo.o.
93 25 -650 Kielce, ul. Skrajna 80 a
93
odbiór inwestycji
kwiecień 2005
P,Post.
Sklep Ogrodniczo Przemysłowy
94 02 - 500 Ostrowiec Św., ul. Słowackiego 70
94
sprawdzająca
marzec 2005
P,Post.
Sklep Ogrodniczo Przemysłowy
95 02 - 500 Ostrowiec Św., ul. Słowackiego 71
95
sprawdzająca
marzec 2006
P,Post.
ZUH Przetwórstwa Rybnego "AKWEN3"
96 28 - 200 Staszów, Towarowa
96
odbiór inwestycji
marzec 2005
P,Post.
PPUH "CYNKOMENT"
97 27 - 200 Starachowice, ul. Składowa 29
97
podstawowa
marzec 2005
P,Z,Is
o,PCB
Przedsiębiorstwo Topienia Bazaltu Sp. zo.o.
98 27 - 200 Starachowice, ul. Piłsudskiego 68
98
podstawowa
marzec/kwiecień 2005
P,Z,Is
o,PCB,azbest
"PREON" Sp. zo.o.
99 27 - 200 Starachowice, ul. Składowa 33
99
podstawowa
marzec 2005
P,Z
o, opak.
"ETC plus" S.A.
100 27 - 400 Ostrowiec Św, ul. Drukarska 14
100
sprawdzająca
marzec 2005
P,Z,Is
o
"AUTO-NAPRAWA"
101 28 - 100 Busko Zdrój, ul. Młyńska 24
101
podstawowa
marzec 2005
P,Is
PHU "MAXAUTO"
102 28 - 100 Busko Zdrój, ul. Wojska Polskiego 48
102
podstawowa
marzec 2005
P,Z,
Zakład Gospodarki Komunalnej w Rudkach
103 (oczyszczalnia ścieków w Rudkach)
26- 006 Nowa Słupia, ul. Górnicza 4
103
podstawowa
marzec 2005
P,Z,Is
Zakład Gospodarki Komunalnej w Rudkach
104 (oczyszczalnia ścieków w Nowej Słupii)
26 - 006 Nowa Słupia, ul. Górnicza 5
104
podstawowa
marzec 2005
P,Z,Is
"NOMI"
105 25 - 560 Kielce, ul. Zagnańska 119
105
sprawdzająca
marzec 2005
P
"FORTUM DZT" S.A.
106 Zakład Energetyki Cieplnej
26 - 220 Stąporków, ul. Słowackiego 3 a
106
sprawdzająca
marzec 2005
P,Z
"TRAK-STOL"
107 26 - 062 Fałków, Smyków 72
107
odbiór inwestycji
marzec 2005
P,Post.
PPUH "POLMARK" Sp. zo.o.
108 25 - 620 Kielce, ul. Kolberga 4
108
podstawowa
marzec 2005
P,Z
o
IKM"AGROPOM" Sp. zo.o.
109 28 - 100 Busko Zdrój, ul. Boh. Warszawy 120
109
podstawowa
marzec 2005
P,Z,Is
o,ś,p
Zakład Mechaniki i Blacharstwa Samochodowego
110 28 - 100 Busko Zdrój, ul. Boh. Warszawy 120
110
podstawowa
marzec 2005
P,Z,Is
Komunalny Związek Ciepłownictwa "PONIDZIE"
111 28 - 100 Busko Zdrój, ul. Kilińskiego 41
111
interwencyjna
marzec 2005
P
p
RSP "Nowe Życie"
112 28 -330 Wodzisław, Przezwody 89
113
sprawdzająca
marzec 2005
P,Z
ś,o,azbest
RSP "BILCZA"
113 26 - 026 Morawica, ul. Bukowa 2
114
sprawdzająca
marzec 2005
P,Z
ś, azbest
Sklep "AGROCENTRUM"
114 25 - 369 Kielce, ul. Żeromskiego 17
115
sprawdzająca
kwiecień 2005
P
"ARON" Sp. zo.o.
115 25 - 852 Kielce, ul. Chorzowska 22
116
sprawdzająca
marzec 2005
P,Z
o
p
o
Stacja Kontroli Pojazdów "AUTOMIX"
116 26 - 052 Sitkówka Nowiny, Zagrody 64 b
117
interwencja
kwiecień 2005
P,Z,Is,In
p,o,w,ś
FW "ELBUD"
117 26 - 080 mniów, ul. Leśna 2
118
interwencyjna
marzec 2005
P,Z
o,p
Urząd Gminy w Nagłowicach
118 (dot. oczyszczalni ścieków w Wawrzynie)
28 - 362 Nagłowice
119
interwencyjna
marzec 2005
P,W,Is,In
ś
"PRAKTIKER Polska" Sp. zo.o.
119 25 - 323 Kielce, ul. Radomska 8
120
sprawdzająca
marzec 2005
P
"Bracia Kasprzak" Sp. J.
120 Gospodarstwo Ogrodnicze
26 - 065 Piekoszów, ul. Czarnowska 54
121
interwencyjna
marzec 2005
P,Is,Ws,M
PW "BUDOMEX"
121 27 - 400 Ostrowiec Św., Dębowa Stara Wola 25
122
sprawdzająca
marzec 2005
P,Podst.
Zakład Handlowo Usługowy
122 26 - 008 Górno, Krajno II 22
123
interwencyjna
marzec/kwiecień 2005
P,Z,Is,In
opłaty
ZPUH "STYRMET"
123 29 -100 Włoszczowa, ul. Sienkiewicza 96
124
interwencyjna
kwiecień 2005
P,Z,I
o
Tuczarnia Trzody Chlewnej
124 28 - 300 Jędrzejów, Niestachów Drugi 12
125
odbiór inwestycji
kwiecień 2005
P,Z
Ubojnia Drobiu s. j.
125 26 - 085 Miedziana Góra, Przyjmo 22
126
interwencyjna
kwiecień 2005
P,Z,M
"Saint-Gobain Weber Terranowa" Sp. zo.o.
126 27 - 400 Ostrowiec Św., ul. 11-go Listopada 60
127
odbiór inwestycji
kwiecień 2005
P,Post.,Is
"KOWENT" S.A.
127 26 -200 Końskie, ul. Warszawska 52
128
podstawowa
kwiecień 2005
P,Z,Is,M
o,ś,PCB
Stacja Paliw Płynnych
128 27 - 640 Klimontów, ul. Słoneczna 1
129
odbiór inwestycji
kwiecień 2005
P,Z,Post.
o
PPHU "AGROPLON" Sklep Ogrodniczy
129 29 - 100 Włoszczowa,ul. Partyzantów 38
130
odbiór inwestycji
kwiecień 2005
P,Post.
Zakład Rolny i Przetwórstwa Mięsnego
130 "JANPOL" s.j.
26 - 020 Chmielnik, ul. Witosa 39
131
podstawowa
kwiecień 2005
P,Z
Przedsiębiorstwo Wielobranżowe
131 28 -100 Busko Zdrój, Wełecz
132
podstawowa
kwiecień 2005
P,Z
P.P.H.U. "JANEX"
132 28 - 136 Nowy Korczyn, Stopnica
133
podstawowa
kwiecień 2005
N
ś
ś,o,p,SZWO
o
"Auto-Gaz-Tytan" Stacja Paliw
133 27 - 600 Sandomierz
134
interwencyjna
kwiecień 2005
P,In
"MEGATERM-PLUS" Sp. zo.o.
134 25 - 650 Kielce, ul. Skrajna 86
135
podstawowa
kwiecień 2005
P,Z,Is
Chemiczna Spółdzielnia Pracy "CHEMIPLASTYKA"
135 25 - 562 Kielce, ul. Peryferyjna 8
137
sprawdzająca
kwiecień 2005
P
Zakład Produkcyjno Transportowy "TRANSBET"
136 26 - 115 Skarżysko Kamienna, ul. Sokola 34
138
sprawdzająca
kwiecień 2005
P,Z,Is,In
Przedsiębiorstwo Usługowo Handlowe
137 26 - 060 Chęciny, Korzecko
139
interwencyjna
kwiecień 2005
P,In,M
Obrót Złomem Metali Nieżelaznych i Stalą "OZMNIS"
138 28 -200 Jędrzejów, ul. Głowackiego
140
sprawdzająca
kwiecień 2005
P,Is
Skup i Przerób Złomem "HAPARTA"
139 28 -362 Nagłowice, Cierno Żabieniec 916
141
sprawdzająca
kwiecień 2005
P,Is
PHU "KRIS" Punkt Skupu Złomu
140 28 -340 Sędziszów, ul. Leśna 38
142
sprawdzająca
kwiecień 2006
P,Is
Zakłady Przemysłu Wapienniczego
141 "Trzuskawica" S.A.
26 - 052 Sitkówka Nowiny
143
interwencyjna
kwiecień 2005
N,In
"TABEX-OZMO" Sp. zo.o.
142 27 - 400 Ostrowiec Św., ul. Sandomierska 112
144
interwencyjna
kwiecień 2005
P
"Poligrafia- Bis" Sp. zo.o.
143 27 - 200 Starachowice, ul. Bema 2 c
145
sprawdzająca
kwiecień/maj 2005
P,Z,Irz,In
opłaty
ZUPH "AG-POL"
144 27 -200 Starachowice, ul. Radomska 53
146
podstawowa
kwiecień 2005
P,Z,In
o
PPHU "BESTPNEUMATIC"
145 25 - 729 Kielce, ul.Urzędnicza 16
147
sprawdzająca
kwiecień 2005
P
Firma Handl.-Usł. "ZB"
146 25-670 Kielce, ul. Łódzka 314 b
148
sprawdzająca
kwiecień 2005
P
"Elektrownia Połaniec" S.A.
147 Grupa Electrabel
28 - 230 Połaniec
149
sprawdzająca
kwiecień/maj/czerwiec 2005
P
Szpital dla Nerwowo i Psychicznie Chorych
148 26 - 026 Morawica, ul. Spacerowa 5
150
sprawdzająca
czerwiec 2005
P
Zakład Stolarski "BiG"
149 29 -100 Włoszczowa, ul. Jedrzejowska 79 d
151
sprawdzająca
kwiecień 2005
P,Post.
o,PCB, opak.
opłaty,o
"KOLPORTER" S.A. oddział świętokrzyski
150 25 - 620 Kielce, ul. Kolberga 11
152
sprawdzająca
kwiecień 2005
P,Z
"REM-WOD" Sp. Zo.o.
151 25-324 Kielce, ul. Legnicka 28
153
interwencyjna
kwiecień 2005
P,Z,Is
p,o
PW "ALPOL" Sp. zo.o.
152 26 -052 Sitkówka Nowiny, Sitkówka 15 a
154
interwencyjna
kwiecień 2004
P,Z
p,w,opłaty
Ośrodek Sportowo - Rekreacyjny "Rawszczyzna"
153 27 -400 Ostrowiec Św., ul. Mickewicza 32
155
odbiór inwestycji
kwiecień 2005
P,Post.
Miejski Ośrodek Sportu i Rekreacji
154 (dot. stadionu piłkarskiego w Kielcach)
25 - 0116 Kielce, ul. Żytnia 1
156
sprawdzająca
kwiecień 2005
P,In
Fabryka Mebli Łazienkowych "CERSANIT II"
155 27 - 200 Starachowice, ul. Bema2
157
odbiór inwestycji
kwiecień 2005
Gospodarstwo Rolne wł. Pasternak
156 28 - 425 Złota 4, Skotniki Małe 52
158
interwencyjna
kwiecień 2005
FUHP "SŁAWOIL"
157 28 - 404 Kije, Stawiany 59
159
podstawowa
kwiecień/maj 2005
P,Z,Is
Zakład Wyrobów Metalowych "METAL-KOP"
158 28 - 100 busko Zdrój, ul. Langiewicza 42
160
sprawdzająca
maj 2005
P,Z,Is
MAGDZIARZ
159 25 - 365 Kielce, ul. Słowackiego 20/1
161
sprawdzająca
kwiecień/maj 2005
P
"RUCH" S.A. oddzial świętokrzyski
160 25 - 017 Kielce, ul. Paderewskiego 11
162
sprawdzająca
kwiecień 2005
P,Z,Irz
Zakłady Metalowe "MESKO" S.A.
161 26 - 111 Skarżysko Kam.,ul. Legionów 122
163
sprawdzająca
kwiecień/maj 2005
P,Z,Irz
PCB
Kurnika
162 26- 130 Suchedniów,ul. Zagórska
164
interwencyjna
kwiecień 2005
N,Z,M
o
Gospodarstwo Rolne
163 27 -650 Samborzec, ul. Złota
165
interwencyjna
kwiecień 2005
P,Irz,Is,In
PPS "SANFOOD" s.j.
164 27 - 800 Sandomierz, ul. Holownicza 6
166
sprawdzająca
kwiecień 2005
P,Is
Kolizja drogowa - wyciek oleju napędowego na terenie
165 Gminy Ruda Maleniecka
167
interwencyjna
kwiecień 2005
N
OSM Radostowa
166 25 - 100 Kielce, ul. Górna 22
168
interwencyjna
kwiecień/maj 2005
N,Irz,In
Fabryka Kostki Brukowej i galanterii Betonowej
167 "JADAR"
25 - 116 Kielce, ul. Ściegiennego 262
169
odbiór inwestycji
maj 2005
P,In
P,Post.
P,W,Is
o,p
Zakład Usług Komunalnych
168 (dot. oczyszczalni ścieków)
26 - 065 Piekoszów, ul. Częstochowska 66
170
sprawdzająca
maj 2005
P,Is
PH "ACM"
169 25 -502 Kielce, ul. Paderewskiego 38
171
sprawdzająca
maj 2005
p
Specjalna Strefa Ekonomiczna Starachowice S.A.
170 27 - 200 Starachowice, ul. Radomska 29
172
odbiór inwestycji
maj 2005
N,Post.
Zakład Gospodarki Komunalnej
171 28 - 131 Solec Zdrój, ul. 1-go Maja 10
173
sprawdzająca
maj 2005
P,Is
Szkoła Podstawowa w Bardzie
26 - 035 Raków, Bardo 86
172 Zakład Gospodarki Komunalnej w Rakowie
26 - 035 Raków, ul. Kościuszki 45
174
interwencjna
kwiecień 2005
P,Z,Is
ś
Zakład Gospodarki Komunalnej
173 26 - 035 Bieliny, ul. Partyzantów 17
175
sprawdzająca
kwiecień/maj 2005
P,Z
o,ś
Ceramika "Nowa Gala" S.A.
174 26-200 Końskie, ul. Ceramiczna 1
176
sprawdzająca
maj/czerwiec 2005
P,Is,In
Nordkalk Sp. z o.o. Zakład Miedzianka
175 26 - 060 Piekoszów
177
sprawdzająca
maj 2005
P,Z,
Zakład Usług Komunalnych
176 26 - 021 Daleszyce, Ługi 1
178
interwencyjna
maj 2005
N,Is
Miejsko - Gminny Zakład Komunalny
177 28 - 100 Busko Zdrój, ul. Łagiewnnicka 25
179
sprawdzająca
maj 2005
P,Z,I
ZPUH "ZIBI-POL"
178 28 - 404 Kije, Stawiany 52
180
podstawowa
maj 2005
P,Is
Andrzej Nawrot
179 28 - 305 Sobków, Miąsowa
181
odbiór inwestycji
maj 2005
P,Post.
"DROGOWIEC-PL"
180 25 - 950 Kielce, ul. Manifestu Lipcowego 35 A
182
interwencyjna
maj 2005
P,Irz
o,p
181 PPHU "AMID"
27 - 400 Ostrowiec Św.,Dębowa Wola Stara 25A
183
intterwencyjna
maj 2005
P,Z,In
p,o
182 "Universal Leaf Tabacco Poland" Sp.zo.o.
28-300 Jędrzejów, ul. Przemysłowa 20
184
sprawdzająca
maj 2005
P,Z,
o,opak,w,PCB,azbest
Zakład Kowalski
183 Młynek
26 - 200 Końskie, ul. Spacerowa 9
185
sprawdzająca
maj 2005
P,W
Przesdiębiorstwo Gospodarki Komunalnej
184 i Mieszkaniowej Sp. zo.o.
27 - 600 Sandomierz, ul. Przemysłowa 12
Skup i Sprzedaż Samochodów Używanych i Części
185 Samochodowych "KAR"
28 - 100 Busko Zdrój, Elżbiecin 17
186
187
sprawdzająca
maj 2005
P,Is
sprawdzająca
maj 2005
P
Miejskie Usługi Komunalne Sp. Zo.o.
186 (dot. Składowiska Odpadów Łyżwy)
26-100 Skarżysko-Kam., ul. 1-go Maja 103
188
sprawdzająca
maj/czerwiec 2005
P,W
187 PKS Starachowice
27-200 Starachowice, ul. Wiosenna 5
189
sprawdzająca
maj 2005
P
188 PPH "FOKSDRÓB"
26 - 050 Zagnańsk,Kajetanow 110
190
interwencyjna
maj 2005
P,Z,,In,Irz
ś
"Auto-Serwis" Mechanika, Blacharstwo, Lakiernictwo
189 Usługi Spawalniczo -Ślusarskie
26 - 004 Bieliny, Lechów 96
191
interwencyjna
maj 2005
P,Z,Irz,Is
p,o
Komunalny Zakład Wodociągów,
190 Kanalizacji i Remontów
26-010 Bodzentyn, ul. Wolności 14
193
sprawdzająca
maj/czerwiec 2005
P,Z,Is,M
ś,o
Kopalnia i Zakład Wzbogacania Kwarcytu
191 "Bukowa Góra" S.A.
26 - 140 Łączna
194
interwencyjna
maj 2005
N,Is
192 Zakłady Mechaniczne "BIFAMET" Sp. z o.o.
28-300 Jędrzzejów, ul. Przemysłowa 11
195
sprawdzająca
maj/czerwiec 2005
P,Z,Is
193 Przeds. Budownictwa Ogólnego "KARTEL" S.A.
28-300 Jędrzejów, ul. Przemysłowa 8
196
odbiór inwestycji
czerwiec 2005
P,Post.
194 P.H.U "SZEL-GAZ"
27-630 Zawichost, ul. Ostrowiecka 29 A
198
podstawowa
maj/czerwiec 2005
P,Z,Is,Irz
195 Pawilon Handlowy "LIDL-Polska" Sp. z o.o.
26 -634 Kielce, ul. Piekoszowska
199
odbiór inwestycji
maj 2005
P,I,Post.
196 "AUTO-NAPRAWA"
25 - 562 Kielce, ul. Peryferyjna 7
200
odbiór inwestycji
maj 2005
P,Post.
197 Przetwórstwo Owoców i Warzyw "GOMAR"
28 - 400 Pińczów, ul. Przemysłowa 6
201
sprawdzająca
maj/czerwiec 2005
PZ
ś
198 Sklep i Stacja Paliw
28 - 200 Staszó, Wiązownica Kolonia
202
sprawdzająca
czerwiec 2005
P,Z,Irz,Is
p,o
199 Handel Hurt Detal Surowce Wtórne
28-100 Busko Zdrój, Radzanów 127
203
sprawdzająca
czerwiec 2005
P,Z
o,opak.
o
o
200 Uzdrowisko Busko Zdrój S.A.
28-100 Busko Zdrój, ul. Rzewuskiego 1
204
sprawdzająca
czerwiec 2005
P
201 F.U.H. "MAERDI II"
28-300 Jedrzejów. Ul. Armii Krajowej 12
205
sprawdzająca
czerwiec 2005
P
202 "ELPOLOGISTYKA" Sp. zo.o.
28 - 230 Połaniec
Zakład Przemysłu Wapienniczego "Trzuskawica"
203
26 - 010 Sitkówka Nowiny
206
podstawowa
czerwiec 2005
P,Z,
o
207
interwencyjna
maj 2005
N
p
Kieleckie Przetsiębiorstwo Robót
204 Drogowych Sp. z o.o.
25-670 Kielce, ul. Przęsłowa 2 A
(Wytwórnia Mas Bitumicznych Górno)
208
sprawdzająca
czerwiec 2005
P,Z,IS
p,PCB
205 "ELPOEKO" Sp. zo.o.
28 - 230 Połaniec
209
sprawdzająca
czerwiec 2005
P,Z
o
206 Ubojnia Drobiu "BIS"
26 - 234 Słupia, Pijanów 7
210
sprawdzająca
czerwiec 2005
P,Is
207 Ferma Trzody Chlewnej
Ćmielów, Przeuszyn
211
podstawowa
czerwiec 2005
P,Z,Irz
o,PCB,azbest
208 "DODONI" Sp.j.
26 - 130 Jędrzejów, ul. Józefów 4
212
sprawdzająca
czerwiec/lipiec 2005
P,Z,Is
o,p
209 Samodzielny Publiczny ZOZ
27 - 600 Sandomierz, ul. Schinzla 13
213
sprawdzająca
czerwiec 2005
P,W,Is,In
210 Wyższa Szkoła Ekonomii i Administracji
25-713 Kielce, ul. Karczówkowska 41
214
odbiór inwestycji
czerwiec 2005
P,Post.
Stacja Paliw "OKTAN"
211 Podlesie - Zawada
27-53 Ożarów
215
odbiór inwestycji
czerwiec 2005
P,Post.
212 "STOKOTA-KAMARG" Sp. z o.o.
25 - 655 kielce, ul. Łódzka 296 a
216
sprawdzająca
czerwiec 2005
P,Z,
213 "Auto-Części" Zakład Kasacji Samochodów
25 - 662 kielce, ul. Robotnicza 12
217
sprawdzająca
czerwiec 2005
P
PPHU "Mleczarnia" Sp. z o.o.
214 Zakład Recyklingu SKR w Stodołach
27 - 532 Wojciechowice, Bidziny 142
218
sprawdzająca
czerwiec 2005
P
215 Firma Handl.Usł.Prod. Punkt Skupu "TROMPOL"
26 - 200 Końskie, ul. Towarowa 4
219
podstawowa
czerwiec 2005
P,Z,Is,Ioś,M
216 Piekarnia "Pod Telegrafem"
25 - 116 Kielce, ul. Ściegiennego 258 c
220
odbiór inwestycji
czerwiec 2005
P,Post.
o,p
o
217 P.H.U.P. "ARTUS"
26 - 200 Końskie, ul. 1-go Maja 16
221
interwencja
czerwiec/lipiec 2005
P,In
Kopalnia "Jurkowie-Budy"
218 Kopalnie Dolomitu S.A.
27 - 600 Sndomierz, ul. Błonie 8
222
podstawowa
czerwiec 2005
P,Z,Is,In
219 Gospodarstwo Rybackie - Górki Sp. z o.o.
28 - 160 Wiślica
223
interwencyjna
maj 2005
N,In
220 U.H.P. "IKA"
28 - 400 Pińczów, Skrzypiów
224
interwencyjna
czerwiec 2005
P,Wnrz,Wnoś
221 P.H.U.P. "DOBER"
25 - 204 Kielce, ul. Wojska Polskiego 182
225
interwencyjna
maj 2005
P, Wrz
222 Gospodarstwo Rolnicze Indywidualne
26 - 026 Morawica,Bilcza, ul. Żeromskiego
226
interwencyjna
czerwiec 2005
P,Irz,Is
Przesdiębiorstwo Gospodarki Odpadami Sp. z o.o.
223 Wysypisko w Promniku
25 - 645 Kielce, ul. Piekoszowska 290
227
sprawdzająca
czerwiec 2005
P
224 F.H-U. "ROLMET" Sp. J.
28 - 500 Kazimierza Wielka, ul. Kolejowa 130
228
odbiór inwestycji
czerwiec 2005
P,Post.
225 "SUPLO" Sp. z o.o.
26 - 021 Daleszyce, Niwy 8
229
interwencyjna
czerwiec 2005
P,In
226 P.U.H. Hurtownia - Sklep
25 - 116 Kielce, ul. Ściegiennego 201
230
sprawdzająca
czerwiec 2005
P
227 Przedsiębiorstwo Usługowo Handlowe
25 - 142 Kielce, ul. Sandomierska 207
231
sprawdzająca
czerwiec 2005
P
Kopalnia i Zakłady Chemiczne Siarki "SIARKOPOL"
228 S.A. w Grzybowie
Kopalnia Siarki w Osieku
28 - 200 Staszów
232
sprawdzająca
czerwiec 2005
P
229 Rejonowy Urząd Pocztowy
25 - 001 Kielce, Plac Niepodległości 2
233
sprawdzająca
czerwiec 2005
P,Z,Is
R-22
230 Zakład Uboju Zwierząt Rzeźnych i Produkcji Wędlin
28 - 236 Rytwiany, Sichów Duży 12A
234
interwencja
czerwiec 2005
P,Z
o,p,R-22
235
interwemcyjna
czerwiec 2005
N,Wrz,Is,Irz
Auto Naprawa Kupno Sprzedaż Samochodów
231 i Części Samochodowych
Mirzec, Gadka 16
h,o,p
PKN Orlen S.A.
232 Stacja Paliw Nr 108
29 - 100 Włoszczowa, ul. Jędrzejowska
236
odbiór inwestycji
czewiec/lipiec 2005
P,Post.
233 "ZOTOR" Sp. j.
27 - 400 Ostrowiec Św., ul. Samsonowicza 38
237
sprawdzająca
czerwiec 2005
P
234 P.U.H. "RENII-SERWIS-AUTO"
26 - 052 Sitkówka, ul. Przemysłowa 38
238
sprawdzająca
czerwiec 2005
P
235 "CONSTAR" S.A.
27 - 200 Starachowice, ul. Krańcowa 4
239
sprawdzająca
czerwiec/lipiec 2005
P,Z
NZŚ
236 Firma Transportowa "KRZYSZTOF"
27 - 400 Ostrowiec Św.,, ul Orkana 9
240/1
podstawowa
czerwiec 2005
P,Z,
opłaty
237 LHOIST BUKOWA Sp. zo.o.
29 - 105 krasocin, ul. Osiedlowa 10
240/2
sprawdzająca
czerwiec 2005
P,Post.
Kopalnia i Zakłady Chemiczne Siarki "SIARKOPOL"
238 S.A. w Grzybowie
Zakład Produkcji Chemicznej w Dobrowie
28 - 200 Staszów
241
sprawdzająca
czerwiec 2005
P
239 P.H.U. "TAGA"
28 - 400 Pińczów, ul. Złota 6
242
sprawdzająca
czerwiec 2005
P
240 Gospodarstwo rolne
27 - 640 Klimontów, Kroblice
243
sprawdzająca
czerwiec 2005
P,Post.
Urząd Miasta i Gminy Suchedniów
241 (dot. Stacji zlewnej ścieków)
26 - 130 Suchedniów, ul. Fabryczna 5
244
odbiór inwestycji
czerwiec 2005
P, Post.
Przedsiębiorstwo Wodociągów i Kanalizacji
242 (dot. oczyszczalni ścieków)
27 - 200 Starachowice, ul. Iglasta 5
245
sprawdzająca
czerwiec 2005
P,Irz
243 LAFARGE CEMENT S.A.
28 - 366 Małogoszcz, ul. Warszawska 110
246
sprawdzająca
czerwiec/lipiec 2005
P
Kopalnia i Zakłady Wzbogacania Kwarcytu "Bukowa
244 Góra" S.A.
26 - 140 Łączna
247
sprawdzająca
czerwiec 2005
P
245 Gospodarstwo Rolne
26 - 060 Chęciny, Łukowa
248
interwencyjna
lipiec 2005
P,Is
246 Gospodarstwo Rolne
28 - 305 Sobków, Brzegi
249
interwencyjna
czerwiec 2005
P,Irz
247 Handel Materiałami Przewoźnymi
28 - 142 Tuczępy, Jarosławice
250
interwencyjna
lipiec 2005
P,Z,Is
o
248 Okręgowa Spółdzielnia Mleczarska
29 - 100 Włoszczowa., ul. Kochanowskiego 1
251
sprawdzająca
czerwiec/lipiec 2005
P,Z,Is,In,M
249 Urząd Gminy Pacanów
28 - 133 Pacanów, ul. Radziwiłówka 2
252
interwencyjna
czerwiec 2005
P,Wns,Ioś,Is,In
250 Firma "WOJTRANS" Zakład Produkcyjny
27 - 400 Ostrowiec Sw., ul. Mostowa 72
254
sprawdzająca
lipiec 2005
P,Z,M
o,opak.
251 P.P.H.U. "LIWR-BIS" Spółka jawna
28 - 100 Busko Zdrój, ul. Langiewicza
257
sprawdzająca
lipiec 2005
P,Z,Is,M
o
252 Okręgowa Spółdzielnia Mleczarska
26 - 200 Końskie, ul. Zielona 11
258
sprawdzająca
lipiec 2005
P
253 P.W. "Wtórmet"
26 - 052 Nowiny, ul. Składowa 1
259
interwencyjna
lipiec 2005
P,Z,Is
"EKOPOL" Sp. zo.o.
254 (dot. Kontroli nr 252)
31 - 752 Kraków, ul. Mrozowa 31a/120
260
interwencyjna
lipiec 2005
P
255 P.H. "WIR"
27 - 600 Sandomierz, ul. Trześniowska 3
262
sprawdzająca
lipiec 2005
P
256 Gospodarstwo Rolne
28 - 232 Łubnice, Beszowa
263
sprawdzająca
lipiec 2005
P
257 "DRÓBPOL"
26 - 650 Łączna, Zagórze 78 a
264
interwencyjna
lipiec 2005
P,Z,Is,M
258 P.W. "ZŁOMET"
25 - 650 Kielce, ul. Długa 26
265
sprawdzająca
lipiec 2005
P
259 Posesja prywatna- Sklep Spożywczy
Tokarnia
266
interwencyjna
lipiec 2005
N
260 "DROGOWIEC-PL" Sp. zo.o.
25 - 432 Kielce, ul. Manifestu Lipcowego 35 A
267
sprawdzająca
lipiec 2005
P,Z,In
p
"Lafarge Kruszywa" Sp. zo.o.
261 Kopalnie Dolomitu Radkowice
26 - 026 Morawica
269
sprawdzająca
lipiec 2005
P,Z
p
262 Zakład Blacharstwa Samochodowego "Auto-Servise"
25 - 628 Kielce, ul. Naruszewicza 59
270
sprawdzająca
lipiec 2005
P,Post.
263 Auto Naprawa
22 - 290 Opatów, ul. Armii Krajowej 27
271
interwencyjna
lipiec 2005
P,Irz,In
264 Okręgowa Spółdzielnia Mleczarska
26 - 200 Końskie, ul. Zielona 11
272
sprawdzająca
lipiec 2005
P,Post.,M
265 Transport Ciężarowy i Betoniarstwo
27 - 215 Wąchock, Parszów 61
274
interwencyjna
lipiec 2005
P,In
w,o
p,o
ś,o,R-22
Samodzielny Publiczny ZOZ
266 (dot. Spalarnia odpadów medycznych)
27 - 600 Sandomierz, ul. Schinzla 13
275
sprawdzająca
lipiec 2005
P,In
"Wodociągi Kieleckie" Sp. zo.o.
267 (dot. Oczyszczalni scieków w Sitkówce)
25 - 701 Kielce, ul. Krakowska 64
277
sprawdzająca
lipiec 2005
P
268 Gospodarstwo Rybackie
26 - 242 Ruda Maleniecka 132
278
interwencyjna
lipiec 2005
P,Z,Irz
269 Dom Pomocy Społecznej PZN
25 - 015 Kielce, ul. Złota 7
280
interwencyjna
lipiec 2005
P,In
Obszar Przemysłowy
270 Zakłady Ostrowieckie S.A. w upadłości
27 - 400 Ostrowiec Św., ul. Świętokrzyska 8
286
interwencyjna
lipiec 2005
P,Is,In
271 P.P.H.U "RAFIT" Sp. zo.o.
25 - 672 Kielce, ul Zakładowa 3
291
sprawdzająca
lipiec 2005
P
Objaśnienia:
N – notatka służbowa
w,o
Irz
P – Protokół kontroli
Z – Zarządzenie pokontrolne
W – Wystąpienie pokontrolne
Post.- postanowienie i opinie
Wns – wnioski do organu administracji samorządowej
Is – informacja do organu administracji samorządowej
Wnr – wnioski do organu administracji rządowej
Ir – informacja do organu administracji rządowej
Woś – wnioski do organów ścigania
Ioś – informacja do organu ścigania
In – informacje inne
M – mandaty
o – stwierdzone nieprawidłowości w gospodarce odpadami
ś – stwierdzone nieprawidłowości w gospodarce ściekowej
w - stwierdzone nieprawidłowości w gospodarce wodnej
p - stwierdzone nieprawidłowości w zakresie ochrony powietrza przed zanieczyszczeniami
h - stwierdzone nieprawidłowości w zakresie ochrony środowiska przed hałasem
opak. – stwierdzone nieprawidłowości w gospodarce opakowaniami i odpadami opakowaniowymi
PCB - stwierdzone nieprawidłowości w zakresie postępowania z PCB
SZWO – stwierdzone nieprawidłowości w zakresie postępowania z substancjami zaburzającymi warstwę ozonową
prod. – stwierdzone nieprawidłowości w zakresie opłaty produkcyjnej i depozytowej
opłaty . – stwierdzone nieprawidłowości w zakresie opłat za korzystanie ze środowiska
NZŚ - Nadzwyczajne Zagrożenia Środowiska