Wybrane zadania do ćwiczeń eie 1:
Transkrypt
										Wybrane zadania do ćwiczeń eie 1:
                                        
                                        
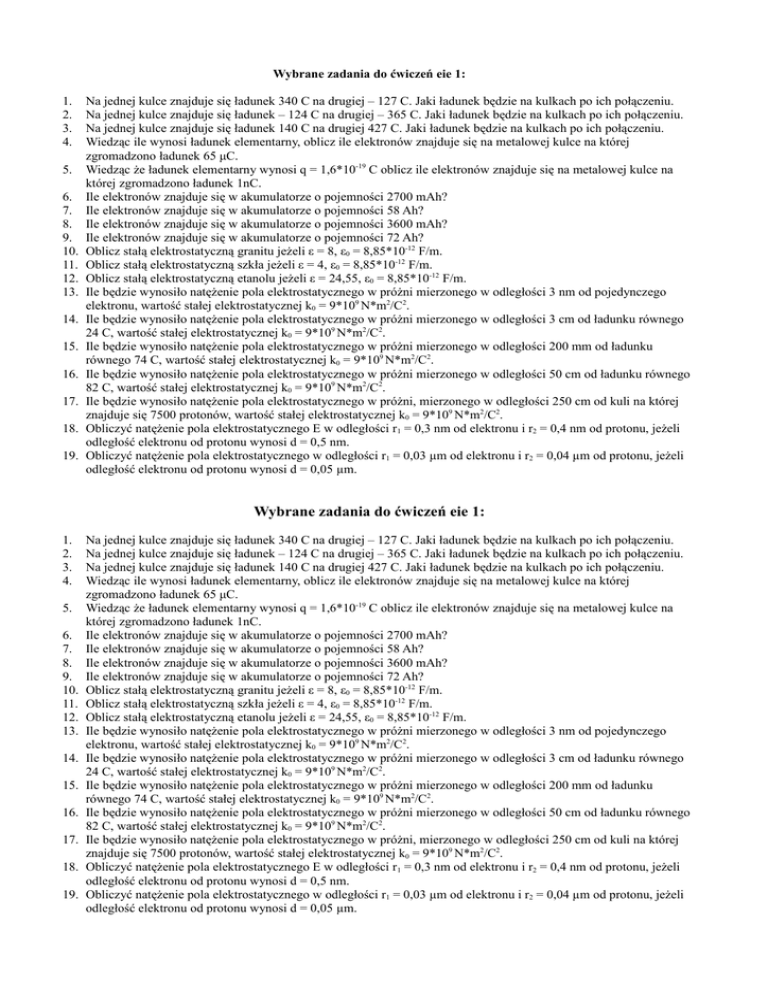
                                Wybrane zadania do ćwiczeń eie 1: 1. 2. 3. 4. 5. 6. 7. 8. 9. 10. 11. 12. 13. 14. 15. 16. 17. 18. 19. Na jednej kulce znajduje się ładunek 340 C na drugiej – 127 C. Jaki ładunek będzie na kulkach po ich połączeniu. Na jednej kulce znajduje się ładunek – 124 C na drugiej – 365 C. Jaki ładunek będzie na kulkach po ich połączeniu. Na jednej kulce znajduje się ładunek 140 C na drugiej 427 C. Jaki ładunek będzie na kulkach po ich połączeniu. Wiedząc ile wynosi ładunek elementarny, oblicz ile elektronów znajduje się na metalowej kulce na której zgromadzono ładunek 65 μC. Wiedząc że ładunek elementarny wynosi q = 1,6*10-19 C oblicz ile elektronów znajduje się na metalowej kulce na której zgromadzono ładunek 1nC. Ile elektronów znajduje się w akumulatorze o pojemności 2700 mAh? Ile elektronów znajduje się w akumulatorze o pojemności 58 Ah? Ile elektronów znajduje się w akumulatorze o pojemności 3600 mAh? Ile elektronów znajduje się w akumulatorze o pojemności 72 Ah? Oblicz stałą elektrostatyczną granitu jeżeli ε = 8, ε0 = 8,85*10-12 F/m. Oblicz stałą elektrostatyczną szkła jeżeli ε = 4, ε0 = 8,85*10-12 F/m. Oblicz stałą elektrostatyczną etanolu jeżeli ε = 24,55, ε0 = 8,85*10-12 F/m. Ile będzie wynosiło natężenie pola elektrostatycznego w próżni mierzonego w odległości 3 nm od pojedynczego elektronu, wartość stałej elektrostatycznej k0 = 9*109 N*m2/C2. Ile będzie wynosiło natężenie pola elektrostatycznego w próżni mierzonego w odległości 3 cm od ładunku równego 24 C, wartość stałej elektrostatycznej k0 = 9*109 N*m2/C2. Ile będzie wynosiło natężenie pola elektrostatycznego w próżni mierzonego w odległości 200 mm od ładunku równego 74 C, wartość stałej elektrostatycznej k0 = 9*109 N*m2/C2. Ile będzie wynosiło natężenie pola elektrostatycznego w próżni mierzonego w odległości 50 cm od ładunku równego 82 C, wartość stałej elektrostatycznej k0 = 9*109 N*m2/C2. Ile będzie wynosiło natężenie pola elektrostatycznego w próżni, mierzonego w odległości 250 cm od kuli na której znajduje się 7500 protonów, wartość stałej elektrostatycznej k0 = 9*109 N*m2/C2. Obliczyć natężenie pola elektrostatycznego E w odległości r1 = 0,3 nm od elektronu i r2 = 0,4 nm od protonu, jeżeli odległość elektronu od protonu wynosi d = 0,5 nm. Obliczyć natężenie pola elektrostatycznego w odległości r1 = 0,03 µm od elektronu i r2 = 0,04 µm od protonu, jeżeli odległość elektronu od protonu wynosi d = 0,05 µm. Wybrane zadania do ćwiczeń eie 1: 1. 2. 3. 4. 5. 6. 7. 8. 9. 10. 11. 12. 13. 14. 15. 16. 17. 18. 19. Na jednej kulce znajduje się ładunek 340 C na drugiej – 127 C. Jaki ładunek będzie na kulkach po ich połączeniu. Na jednej kulce znajduje się ładunek – 124 C na drugiej – 365 C. Jaki ładunek będzie na kulkach po ich połączeniu. Na jednej kulce znajduje się ładunek 140 C na drugiej 427 C. Jaki ładunek będzie na kulkach po ich połączeniu. Wiedząc ile wynosi ładunek elementarny, oblicz ile elektronów znajduje się na metalowej kulce na której zgromadzono ładunek 65 μC. Wiedząc że ładunek elementarny wynosi q = 1,6*10-19 C oblicz ile elektronów znajduje się na metalowej kulce na której zgromadzono ładunek 1nC. Ile elektronów znajduje się w akumulatorze o pojemności 2700 mAh? Ile elektronów znajduje się w akumulatorze o pojemności 58 Ah? Ile elektronów znajduje się w akumulatorze o pojemności 3600 mAh? Ile elektronów znajduje się w akumulatorze o pojemności 72 Ah? Oblicz stałą elektrostatyczną granitu jeżeli ε = 8, ε0 = 8,85*10-12 F/m. Oblicz stałą elektrostatyczną szkła jeżeli ε = 4, ε0 = 8,85*10-12 F/m. Oblicz stałą elektrostatyczną etanolu jeżeli ε = 24,55, ε0 = 8,85*10-12 F/m. Ile będzie wynosiło natężenie pola elektrostatycznego w próżni mierzonego w odległości 3 nm od pojedynczego elektronu, wartość stałej elektrostatycznej k0 = 9*109 N*m2/C2. Ile będzie wynosiło natężenie pola elektrostatycznego w próżni mierzonego w odległości 3 cm od ładunku równego 24 C, wartość stałej elektrostatycznej k0 = 9*109 N*m2/C2. Ile będzie wynosiło natężenie pola elektrostatycznego w próżni mierzonego w odległości 200 mm od ładunku równego 74 C, wartość stałej elektrostatycznej k0 = 9*109 N*m2/C2. Ile będzie wynosiło natężenie pola elektrostatycznego w próżni mierzonego w odległości 50 cm od ładunku równego 82 C, wartość stałej elektrostatycznej k0 = 9*109 N*m2/C2. Ile będzie wynosiło natężenie pola elektrostatycznego w próżni, mierzonego w odległości 250 cm od kuli na której znajduje się 7500 protonów, wartość stałej elektrostatycznej k0 = 9*109 N*m2/C2. Obliczyć natężenie pola elektrostatycznego E w odległości r1 = 0,3 nm od elektronu i r2 = 0,4 nm od protonu, jeżeli odległość elektronu od protonu wynosi d = 0,5 nm. Obliczyć natężenie pola elektrostatycznego w odległości r1 = 0,03 µm od elektronu i r2 = 0,04 µm od protonu, jeżeli odległość elektronu od protonu wynosi d = 0,05 µm.
 doc
                    doc download
															download                                                         Reklamacja
															Reklamacja                                                         
		     
		     
		     
		     
		     
		     
		     
		    