Przedmiar wyposażenia w Brwilnie

Transkrypt

Przedmiar wyposażenia w Brwilnie
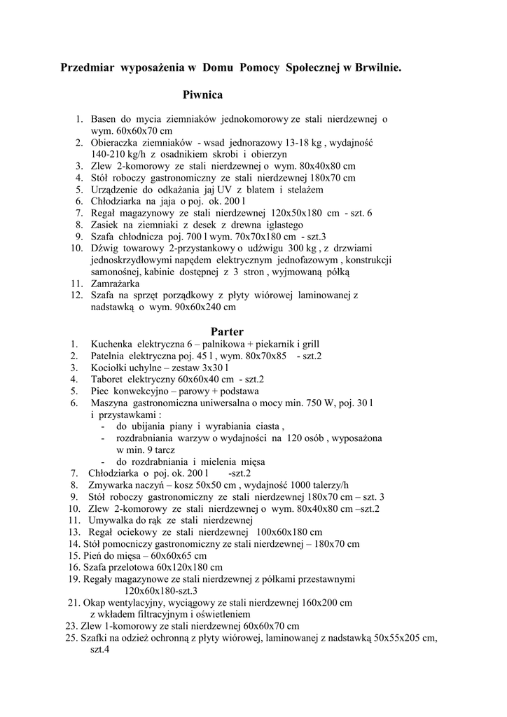
Przedmiar wyposaŜenia w Domu Pomocy Społecznej w Brwilnie.
Piwnica
1. Basen do mycia ziemniaków jednokomorowy ze stali nierdzewnej o
wym. 60x60x70 cm
2. Obieraczka ziemniaków - wsad jednorazowy 13-18 kg , wydajność
140-210 kg/h z osadnikiem skrobi i obierzyn
3. Zlew 2-komorowy ze stali nierdzewnej o wym. 80x40x80 cm
4. Stół roboczy gastronomiczny ze stali nierdzewnej 180x70 cm
5. Urządzenie do odkaŜania jaj UV z blatem i stelaŜem
6. Chłodziarka na jaja o poj. ok. 200 l
7. Regał magazynowy ze stali nierdzewnej 120x50x180 cm - szt. 6
8. Zasiek na ziemniaki z desek z drewna iglastego
9. Szafa chłodnicza poj. 700 l wym. 70x70x180 cm - szt.3
10. Dźwig towarowy 2-przystankowy o udźwigu 300 kg , z drzwiami
jednoskrzydłowymi napędem elektrycznym jednofazowym , konstrukcji
samonośnej, kabinie dostępnej z 3 stron , wyjmowaną półką
11. ZamraŜarka
12. Szafa na sprzęt porządkowy z płyty wiórowej laminowanej z
nadstawką o wym. 90x60x240 cm
Parter
1.
2.
3.
4.
5.
6.
Kuchenka elektryczna 6 – palnikowa + piekarnik i grill
Patelnia elektryczna poj. 45 l , wym. 80x70x85 - szt.2
Kociołki uchylne – zestaw 3x30 l
Taboret elektryczny 60x60x40 cm - szt.2
Piec konwekcyjno – parowy + podstawa
Maszyna gastronomiczna uniwersalna o mocy min. 750 W, poj. 30 l
i przystawkami :
- do ubijania piany i wyrabiania ciasta ,
- rozdrabniania warzyw o wydajności na 120 osób , wyposaŜona
w min. 9 tarcz
- do rozdrabniania i mielenia mięsa
7. Chłodziarka o poj. ok. 200 l
-szt.2
8. Zmywarka naczyń – kosz 50x50 cm , wydajność 1000 talerzy/h
9. Stół roboczy gastronomiczny ze stali nierdzewnej 180x70 cm – szt. 3
10. Zlew 2-komorowy ze stali nierdzewnej o wym. 80x40x80 cm –szt.2
11. Umywalka do rąk ze stali nierdzewnej
13. Regał ociekowy ze stali nierdzewnej 100x60x180 cm
14. Stół pomocniczy gastronomiczny ze stali nierdzewnej – 180x70 cm
15. Pień do mięsa – 60x60x65 cm
16. Szafa przelotowa 60x120x180 cm
19. Regały magazynowe ze stali nierdzewnej z półkami przestawnymi
120x60x180-szt.3
21. Okap wentylacyjny, wyciągowy ze stali nierdzewnej 160x200 cm
z wkładem filtracyjnym i oświetleniem
23. Zlew 1-komorowy ze stali nierdzewnej 60x60x70 cm
25. Szafki na odzieŜ ochronną z płyty wiórowej, laminowanej z nadstawką 50x55x205 cm,
szt.4
26. Stół z płyty wiórowej laminowanej 180x80
27. Krzesło stołówkowe ze stelaŜem ze stali lakierowanej oraz siedziskiem ze sklejki
szt.4
28. Pojemnik na odpadki na kołkach o śr. 50 cm, wys. 60 cm z pokrywą, szt.5
30. Kocioł warzelny poj. 150L, szt.2