Lista 2

Transkrypt

Lista 2
Inżynierskie zastosowania statystyki — ćwiczenia
Temat 2: Ważne rozkłady statystyczne. Centralne twierdzenie graniczne, nierówność Czebyszewa
18. Wyznacz wartości parametrów a i b, by poniższe funkcje opisywały prawdopodobieństwo lub funkcję gęstości dla pewnych zmiennych losowych i naszkicuj dystrybuanty odpowiadające tym zmiennym losowym:
i
(a) ∀i ∈ N : P (Z = i) = a λi!
(
(b) f (x) =
b
x
0
dla x ∈ (1, e2 ),
dla x ∈
/ (1, e2 ).
(c) Dla powyższych rozkładów oblicz P (X ∈ [1, 72 ]).
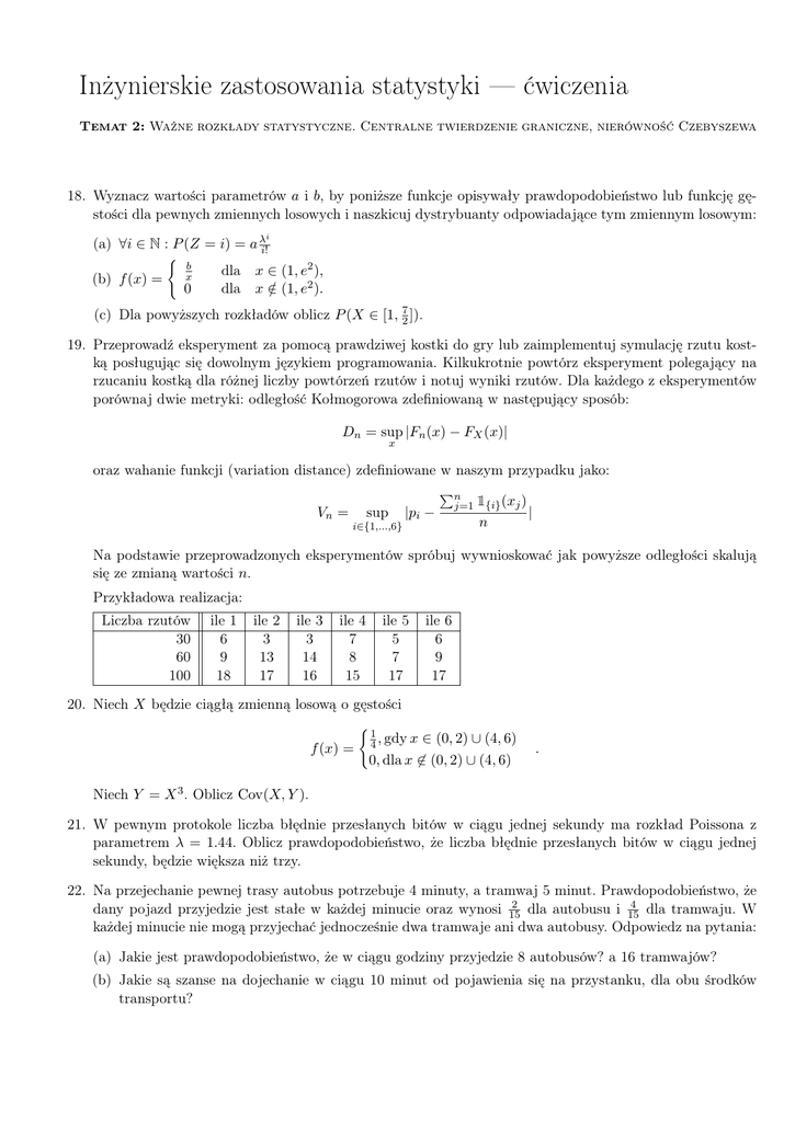
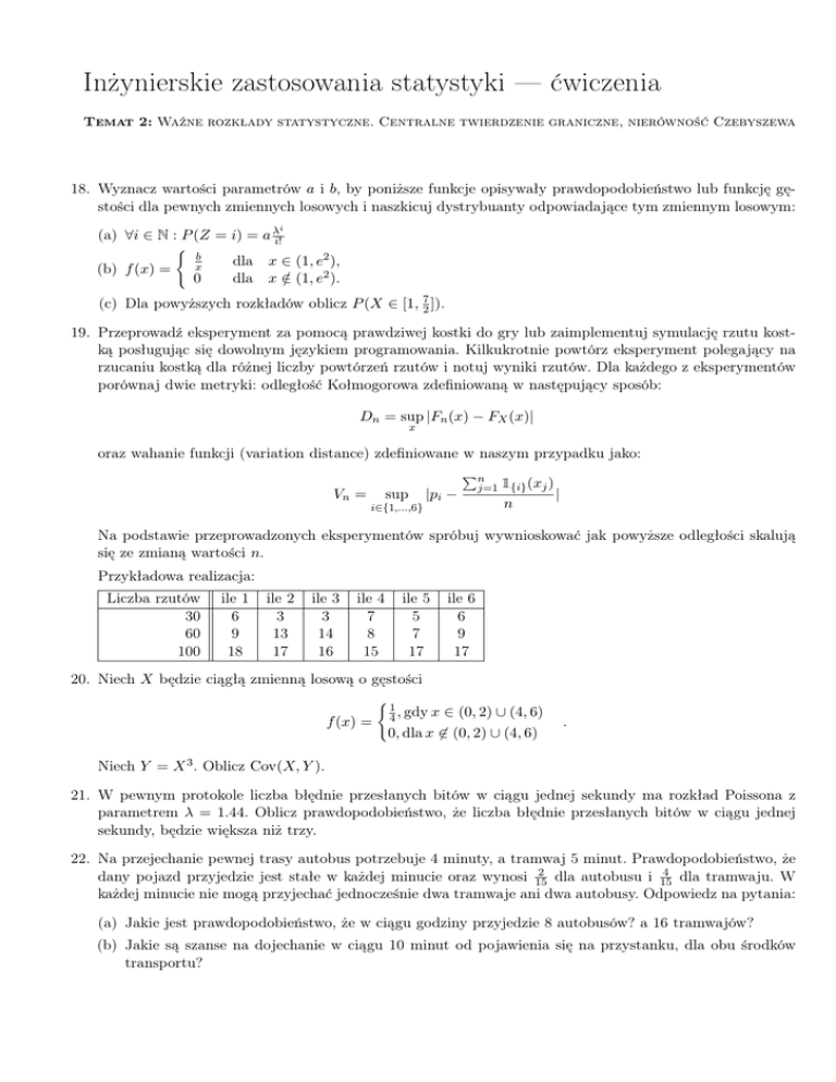
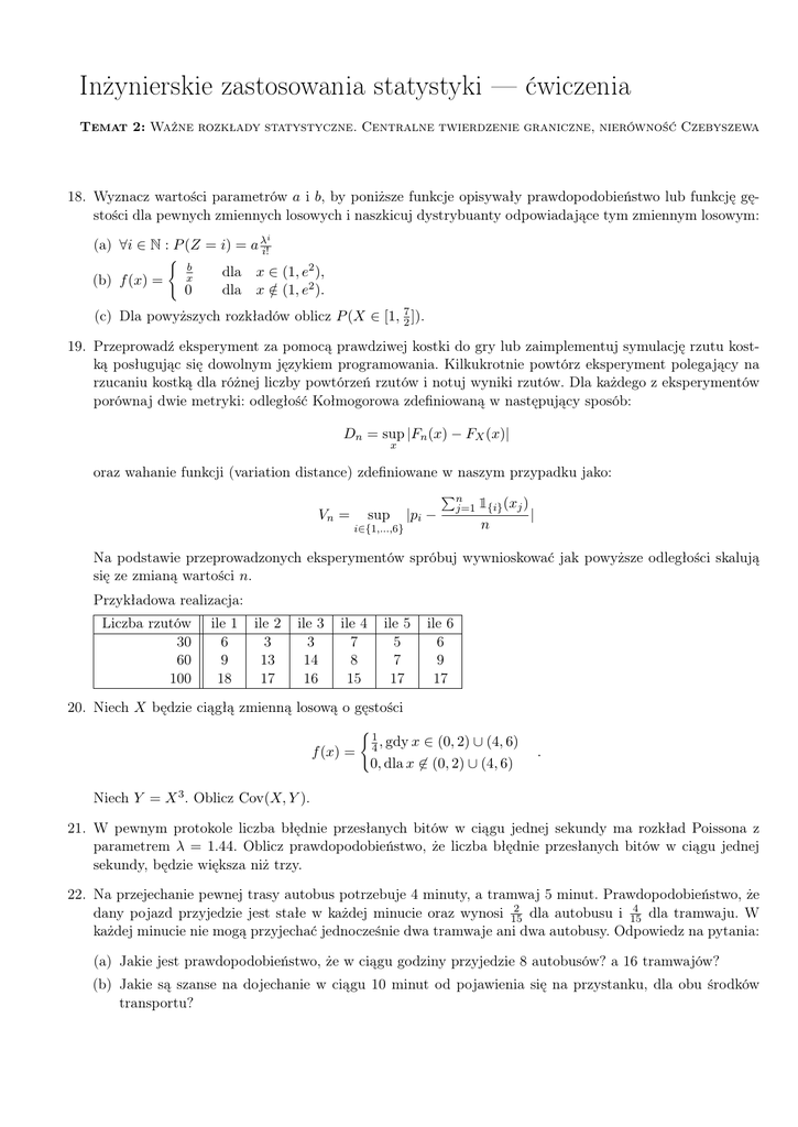
19. Przeprowadź eksperyment za pomocą prawdziwej kostki do gry lub zaimplementuj symulację rzutu kostką posługując się dowolnym językiem programowania. Kilkukrotnie powtórz eksperyment polegający na
rzucaniu kostką dla różnej liczby powtórzeń rzutów i notuj wyniki rzutów. Dla każdego z eksperymentów
porównaj dwie metryki: odległość Kołmogorowa zdefiniowaną w następujący sposób:
Dn = sup |Fn (x) − FX (x)|
x
oraz wahanie funkcji (variation distance) zdefiniowane w naszym przypadku jako:
Pn
Vn =
sup
|pi −
i∈{1,...,6}
j=1
1{i} (xj )
n
|
Na podstawie przeprowadzonych eksperymentów spróbuj wywnioskować jak powyższe odległości skalują
się ze zmianą wartości n.
Przykładowa realizacja:
Liczba rzutów
30
60
100
ile 1
6
9
18
ile 2
3
13
17
ile 3
3
14
16
ile 4
7
8
15
ile 5
5
7
17
ile 6
6
9
17
20. Niech X będzie ciągłą zmienną losową o gęstości
(
f (x) =
1
4 , gdy x
∈ (0, 2) ∪ (4, 6)
0, dla x 6∈ (0, 2) ∪ (4, 6)
.
Niech Y = X 3 . Oblicz Cov(X, Y ).
21. W pewnym protokole liczba błędnie przesłanych bitów w ciągu jednej sekundy ma rozkład Poissona z
parametrem λ = 1.44. Oblicz prawdopodobieństwo, że liczba błędnie przesłanych bitów w ciągu jednej
sekundy, będzie większa niż trzy.
22. Na przejechanie pewnej trasy autobus potrzebuje 4 minuty, a tramwaj 5 minut. Prawdopodobieństwo, że
4
2
dla autobusu i 15
dla tramwaju. W
dany pojazd przyjedzie jest stałe w każdej minucie oraz wynosi 15
każdej minucie nie mogą przyjechać jednocześnie dwa tramwaje ani dwa autobusy. Odpowiedz na pytania:
(a) Jakie jest prawdopodobieństwo, że w ciągu godziny przyjedzie 8 autobusów? a 16 tramwajów?
(b) Jakie są szanse na dojechanie w ciągu 10 minut od pojawienia się na przystanku, dla obu środków
transportu?
(c) Jakie jest prawdopodobieństwo, że osoba czekająca na przystanku autobusowym dotrze do celu wcześniej niż osoba czekająca na przystanku tramwajowym?
23. W sali znajduje się k maszyn. Czas do awarii pojedynczej maszyny dany jest rozkładem wykładniczym o
średniej τ . Jaki jest rozkład prawdopodobieństwa czasu do awarii
(a) pierwszej maszyny?
(b) ostatniej maszyny?
24. Drużyna A strzela średnio dwa gole w meczu, a drużyna B — jeden. Zakładając, że strzelenie gola przez
daną drużynę w każdej minucie jest stałe oraz nie zależy od drużyny przeciwnej, ani straconych bramek,
oblicz prawdopodobieństwo, że drużyna A:
(a) będzie prowadzić 1:0 do przerwy
(b) wygra mecz 2:0, jeżeli do przerwy był remis
(c) nie przegra meczu
25. Maszyna butelkująca rozlewa piwo do pustych butelek, o maksymalnej pojemności 505ml. Ilość przelanej cieczy dana jest rozkładem normalnym o średniej 503ml i odchyleniu standardowym 1ml. Jakie jest
prawdopodobieństwo, że napoju nie będzie mniej niż 500ml i zmieści się do butelki?
26. (a) Niech X będzie zmienną losową z dowolnego rozkładu o wartości oczekiwanej E(X) = 0 oraz wariancji
Var(X) = 1. Przy pomocy nierówności Czebyszewa oblicz przedział A taki, że P (X ∈ A) = 0.95.
(b) Załóż teraz, że Y pochodzi z rozkładu normalnego N (0, 1) tj. o wartości oczekiwanej E(Y ) = 0 oraz
wariancji Var(Y ) = 1. Oblicz przedział A taki, że P (Y ∈ A) = 0.95.
(c) Porównaj uzyskane w punktach (a) i (b) wyniki
27. (*) Dana jest dwuwymiarowa zmienna losowa X ∈ R2 o rozkładzie jednostajnym na kole o promieniu
R = 3 i środku w punkcie P0 = (3, 3). Oblicz EX oraz Var(X).
28. Wykorzystując nierówność Czebyszewa, udowodnij że dla rozkładu o skończonej wariancji zachodzi
√
|m − µ| ¬ 2σ,
gdzie m jest medianą rozkładu, µ jego średnią, a σ odchyleniem standardowym.