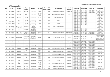
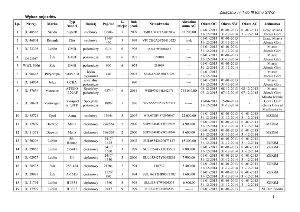
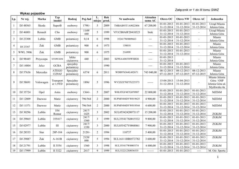
Załącznik nr 1 do III tomu SIWZ Wykaz pojazdów

Transkrypt

Załącznik nr 1 do III tomu SIWZ Wykaz pojazdów
Załącznik nr 1 do III tomu SIWZ
Wykaz pojazdów
Lp.
Nr rej.
Marka
Typ
/model
Rodzaj
Poj./ład
L.
Rok
miejsc prod.
Nr nadwozia
Aktualna
suma AC
1
DJ 48565
Skoda
SuperB
osobowy
1798/-
5
2009
TMBAB93T1A9022806
67 200,00
2
DJ 46801
Renault
Clio
osobowy
1149/
440
5
1999
VF1CB0A0F20410523
brak
3
DJ 23308
Lublin
GMB
pożarniczy
0,14
6
1998
352417W0009663
---
4
DJ 23367
Żuk
GMB
pożarniczy
900
6
1975
150018
----
5
WWL 3906
Żuk
GMB
pożarniczy
900
6
1975
216999
----
6
DJ 98445
Przyczepa
STOPEXIM
7
DJ 14804
Jelcz
GCBA
8
DJ 57636
Mercedes
ATEGO
1329AF
lekka
ciężarowa
specjalny
pożarniczy
Specjalny
pożarniczy
440
-
2003
SZ9SAA06530WSI026
----
9
DJ 58691
Volswagen
Transport
er 1,9TD
10
DJ 35724
Opel
11
DJ 12809
12
1990
----
6374/
6
2011
WDB976364L602671
743 040,00
Specjalny
pożarniczy
1896/
5
1996
WV2ZZZ70ZTX225373
------
Astra
osobowy
1364/-
5
2007
W0L0TGF487G070907
22 000,00
Daewoo
Matiz
ciężarowy
796/564
2
2000
SUPMF484DYW019625
4 900,00
DJ 11571
Daewoo
Matiz
ciężarowy
796/564
2
2000
SUPMF484DYW019544
4 600,00
13
DJ 30296
Lublin
554
Romar
ciężarowy
14
DJ 29865
Lublin
355417
ciężarowy
15
DJ 02977
Lublin
III
ciężarowy
16
DJ 28535
Star
28P-184
17
DJ 29887
Żuk
18
DJ 21791
19
DJ 17999
2417/
1425
2417/
1560
2417/
1350
3
2002
SUL05542420073117
15 200,00
3
1999
SUL355417X0015532
9 800,00
3
2000
SUL055427Y0068861
7 900,00
ciężarowy
2120/-
2
1994
110737
5 400,00
A-161B
ciężarowy
2120/
890
5
1994
SUL16111HR0572782
3 600,00
Lublin
II 3554
ciężarowy
1560
3
1998
SUL355417W0005374
6 800,00
Lublin
II 3322
ciężarowy
2417
9
1999
SUL332212X0036535
-------
Okres OC
Okres NW
01-01-2013
31-12-2014
01-01-2013
31-12-2014
01-01-2013
31-12-2014
01-01-2013
31-12-2014
01-01-2013
31-12-2014
01-01-2013
31-12-2014
01-01-2013
31-12-2014
08-12-2013
07-12-2015
01-01-2013 01-01-2013
31-12-2014 31-12-2014
01-01-2013
31-12-2014
01-01-2013
31-12-2014
01-01-2013
31-12-2014
01-01-2013
31-12-2014
15-04-2013
31-12-2014
01-01-2013
31-12-2014
01-01-2013
31-12-2014
01-01-2013
31-12-2014
01-01-2013
31-12-2014
01-01-2013
31-12-2014
01-01-2013
31-12-2014
01-01-2013
31-12-2014
01-01-2013
31-12-2014
01-01-2013
31-12-2014
01-01-2013
Okres AC
Jednostka
Urząd Miasta
Jelenia Góra
Urząd Miasta
Jelenia Góra
Miasto
Jelenia Góra
Miasto
Jelenia Góra
Miasto
Jelenia Góra
Miasto
Jelenia Góra
01-01-2013
Miasto
Jelenia Góra
31-12-2014
08-12-2013 08-12-2013
Miasto
07-12-2015 07-12-2015
Jelenia Góra
Miasto Jelenia
Góra / OSP
15-04-2013
Jelenia Góra ul.
31-12-2014
Myśliwska 4a
01-01-2013 01-01-2013
MZDiM
31-12-2014 31-12-2014
01-01-2013 01-01-2013
MZDiM
31-12-2014 31-12-2014
01-01-2013 01-01-2013
MZDiM
31-12-2014 31-12-2014
01-01-2013 01-01-2013
31-12-2014 31-12-2014
ZGKiM
01-01-2013 01-01-2013
ZGKiM
31-12-2014 31-12-2014
01-01-2013 01-01-2013
ZGKiM
31-12-2014 31-12-2014
01-01-2013 01-01-2013
ZGKiM
31-12-2014 31-12-2014
01-01-2013 01-01-2013
ZGKiM
31-12-2014 31-12-2014
01-01-2013 01-01-2013
ZGKiM
31-12-2014 31-12-2014
01-01-2013
---M. Ośr. Sportu
1
20
DJ 21736
Lublin
3N
ciężarowy
21
DJ 01510
Volkswagen
Passat
osobowy
22
WWL 4270
Citroen
Jumper
ciężarowy
/900
2417
/950
7
2004
SUL33043240077079
16 530,00
1595
5
1998
WVWZZZ3BZWX370786
11 950,00
1905
/935
9
2000
VF7231A3215866630
12 920,00
01-01-2013
31-12-2014
01-01-2013
31-12-2014
01-01-2013
31-12-2014
01-01-2013
31-12-2014
6 700
01-01-2013
31-12-2014
-
WDB9066571S391427
125 200
01-01-2013
31-12-2014
01-01-2013
31-12-2014
2009
VF1KWOBB542529621
50 500
01-01-2013
31-12-2014
01-01-2013
31-12-2014
9
2006
WF0VXXTTFV6S43885
47 400
01-01-2013
31-12-2014
01-01-2013
31-12-2014
1995/ -
9
2009
VF1JLBHB6AV358875
75 000
01-01-2013
31-12-2014
01-01-2013 01-01-2013
31-12-2014 31-12-2014
01-01-2013
31-12-2014
01-01-2013
31-12-2014
01-01-2013
31-12-2014
15-04-2013
31-12-2014
01-01-2013
01-01-2013
31-12-2014
01-01-2013
31-12-2014
01-01-2013
31-12-2014
15-04-2013
31-12-2014
01-01-2013
R51
Pathfinder
osobowy
2488/
689
7
2009
VSKJVWR51U0366666
131 400
24
DJ 36663
Peugeot
Partner
osobowy
1560/-
5
2006
VF3GJ9HWC95231759
18 050,00
25
DJ 36660
Peugeot
Partner
osobowy
1560/-
5
2006
VF3GJ9HWC95229916
21 185,00
26
DJ 12927
Renault
FD
Master
ciężarowy
6
2002
VF1FDBEH527947906
19 950,00
27
DJ 08581
Citroen
Berlingo
ciężarowy
5
1999
VF7MFWJZFXK203720
8 208,00
28
DJ 99456
WIOLA
W1
przyczepa
ciężarowa
--/910
--
2008
SUCW1F40F82000410
29
DJ 46041
Mercedes
Sprinter
515CDI
autobus
2148/---
20
2009
30
DJ 49197
Renault
Kangoo
osobowy
1461/56
5
5
31
DJ 29416
Ford
Transit
Van 300L
osobowy
1998
2499
/1240
1868/64
9
32
DJ 48495
Renault
Trafic
osobowy
przewóz
osób
niepełnospr.
33
JAA 4495
Polonez
Caro
osobowy
1600/-
5
1996
SUPB01CEHTW814425
1 500,00
Daewoo
Lanos
osobowy
1498/-
5
1999
SUPTF69VDXW053514
4 600,00
T-5 TDI
osobowy
1896/750
9
2007
WV2ZZZ7H27H095089
60 000,00
osobowy
2370/600
8
1993
WV2ZZZ70ZPH106110
Brak
osobowy
1968/-
9
1993
WV2ZZZ70ZPH092878
7 600,00
Volkswagen
36
DJ 21749
Volkswagen
37
DJ 11194
Volkswagen
Eurovan
CL
Caravelle
SM
SM
SM
Ubezpieczający
SM
01-01-2013
Ubezpieczony
31-12-2014
Miasto
Jelenia Góra
01-01-2013
SM
31-12-2014
01-01-2013
SM
31-12-2014
01-01-2013
JCK
31-12-2014
01-01-2013 Teatr im. C. K.
31-12-2014
Norwida
Zdrojowy
Teatr
Animacji
Zdrojowy
01-01-2013
Teatr
31-12-2014
Animacji
Zdrojowy
01-01-2013
Teatr
31-12-2014
Animacji
01-01-2013
Mł. O. Socj.
31-12-2014
01-01-2013
31-12-2014
01-01-2013
31-12-2014
01-01-2013
31-12-2014
01-01-2013
31-12-2014
Nissan
DJ 40363
01-01-2013
31-12-2014
01-01-2013
31-12-2014
01-01-2013
31-12-2014
01-01-2013
31-12-2014
DJ 49434
35
31-12-2014
01-01-2013
31-12-2014
01-01-2013
31-12-2014
01-01-2013
31-12-2014
01-01-2013
31-12-2014
23
34 WWD 1807
31-12-2014
01-01-2013
31-12-2014
01-01-2013
31-12-2014
01-01-2013
31-12-2014
01-01-2013
31-12-2014
01-01-2013
31-12-2014
01-01-2013
31-12-2014
DPS Pogodna
Jesień
MOPS
MOPS
Dom Dziecka nr 2
brak
Dom Dziecka nr 2
01-01-2013
ZSO 1
2
38
JAA 5477
Polonez
Truck
ciężarowy
1598/610
5
1996
SUPB06CEJTN049109
1 900,00
39
DJ 07907
Fiat
Uno
osobowy
1100/80
0
5
1997
ZFA146A0000013607
Brak
31-12-2014 31-12-2014
01-01-2013 01-01-2013
31-12-2014 31-12-2014
11-09-2010
brak
10-09-2013
ZSO 2
ZSP-U
przyczepa
rolnicza
(nauka
jazdy)
Samochód
osobowy
ciągnik
rolniczy
(nauka
jazdy)
-/4000
-
1988
44414
Brak
06-05-2010
05-05-2013
1896/-
9
2004
WV2ZZZZ7HZ4X030936
32 000,00
16-01-2013
31-12-2014
16-01-2013 16-01-2013
31-12-2014 31-12-2014
ZSP-U
3595/-
2
1987
32669
Brak
01-01-2010
31-12-2012
01-01-2010
31-12-2012
brak
ZSP-U
01-01-2013
31-12-2014
01-01-2013
31-12-2014
01-01-2013
31-12-2014
01-01-2013
31-12-2014
01-01-2013
31-12-2014
01-01-2013
31-12-2014
01-01-2013
31-12-2014
01-01-2013
31-12-2014
01-01-2013
31-12-2014
01-01-2013
31-12-2014
01-01-2013
31-12-2014
01-01-2013
31-12-2014
40
DJ 99363
Sanok
D-732
41
DJ 58033
Volkswagen
Transport
er
42
DJ 9025
Zetor
7211
43
DJ 40823
Daimlerchrysler
Sprinter
osobowy
2874/-
9
1999
WDB9034721P947631
18 200,00
44
DJ 08377
Opel
Corsa-C
osobowy nauka jazdy
974/43
5
2001
W0L0XCF0824001747
8 634,00
45
DJ 18512
Ford
osobowy
1998/-
9
2004
WF0VXXBDF4A49814
31 920,00
46
DJ 18511
Ford
osobowy
1998/-
9
2004
WF0VXXBDF4A50102
31 920,00
Fafy
Transit 3
Fafy
Transit 2
31-12-2014
01-01-2013
31-12-2014
11-09-2010
10-09-2013
brak
brak
ZSP-U
ZSRA
ZST Mechanik
ZSiPS
ZSiPS
Wykaz pozostałych pojazdów
Lp.
1.
2.
3.
Rodzaj poj. mech.
Ciągnik
Kosiarka
samojezdna
Kosiarka
samobieżna
Marka i typ
Estate- Tornado z osm
Nr fabr. lub inwent.
b.d.
Wymagany okres OC
01-01-2013 -- 31-12-2014
Jednostka
MOS
Husqvarna
012208
01-01-2013-- 31-12-2014
SP 6
Husqvarna
MST-206-545C 0109A-0301
PEERL-ESS
01-01-2013--- 31-12-2014
SP 13
3