Uchwała Nr XLV/407/06 Rady Miejskiej w Środzie Śląskiej z dnia 24

Transkrypt

Uchwała Nr XLV/407/06 Rady Miejskiej w Środzie Śląskiej z dnia 24
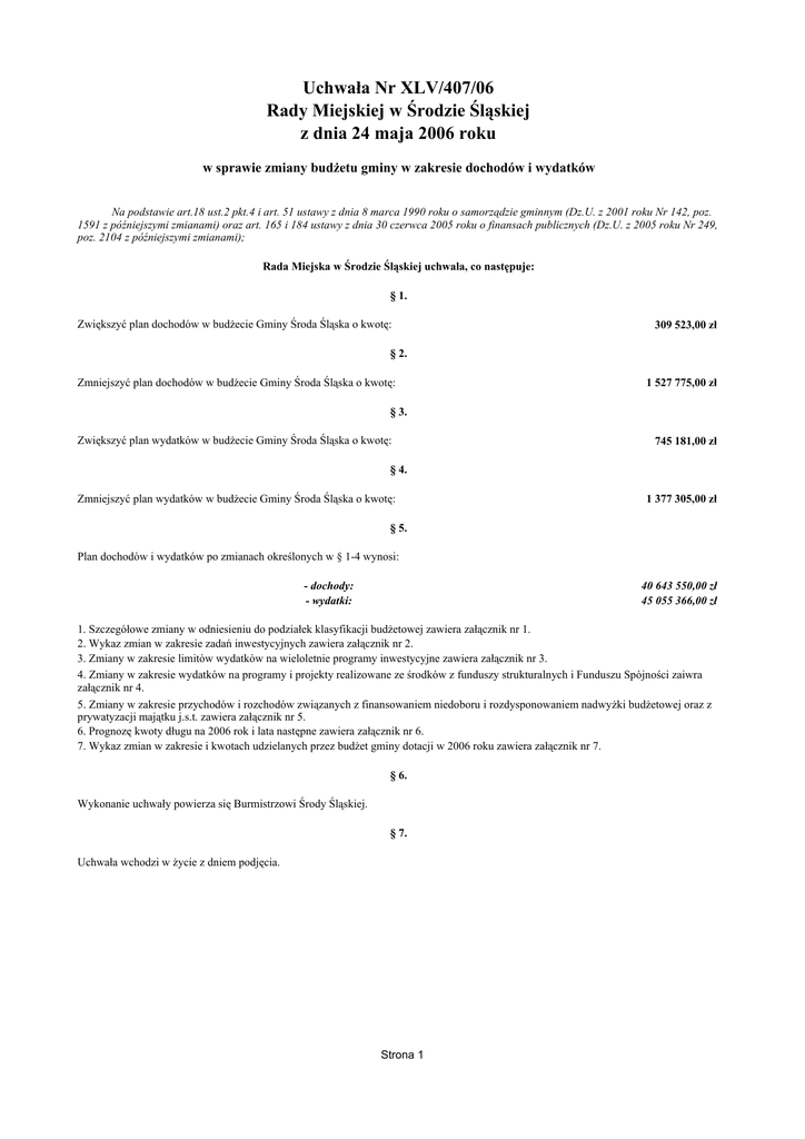
Uchwała Nr XLV/407/06
Rady Miejskiej w Środzie Śląskiej
z dnia 24 maja 2006 roku
w sprawie zmiany budżetu gminy w zakresie dochodów i wydatków
Na podstawie art.18 ust.2 pkt.4 i art. 51 ustawy z dnia 8 marca 1990 roku o samorządzie gminnym (Dz.U. z 2001 roku Nr 142, poz.
1591 z późniejszymi zmianami) oraz art. 165 i 184 ustawy z dnia 30 czerwca 2005 roku o finansach publicznych (Dz.U. z 2005 roku Nr 249,
poz. 2104 z późniejszymi zmianami);
Rada Miejska w Środzie Śląskiej uchwala, co następuje:
§ 1.
Zwiększyć plan dochodów w budżecie Gminy Środa Śląska o kwotę:
309 523,00 zł
§ 2.
Zmniejszyć plan dochodów w budżecie Gminy Środa Śląska o kwotę:
1 527 775,00 zł
§ 3.
Zwiększyć plan wydatków w budżecie Gminy Środa Śląska o kwotę:
745 181,00 zł
§ 4.
Zmniejszyć plan wydatków w budżecie Gminy Środa Śląska o kwotę:
1 377 305,00 zł
§ 5.
Plan dochodów i wydatków po zmianach określonych w § 1-4 wynosi:
- dochody:
- wydatki:
40 643 550,00 zł
45 055 366,00 zł
1. Szczegółowe zmiany w odniesieniu do podziałek klasyfikacji budżetowej zawiera załącznik nr 1.
2. Wykaz zmian w zakresie zadań inwestycyjnych zawiera załącznik nr 2.
3. Zmiany w zakresie limitów wydatków na wieloletnie programy inwestycyjne zawiera załącznik nr 3.
4. Zmiany w zakresie wydatków na programy i projekty realizowane ze środków z funduszy strukturalnych i Funduszu Spójności zaiwra
załącznik nr 4.
5. Zmiany w zakresie przychodów i rozchodów związanych z finansowaniem niedoboru i rozdysponowaniem nadwyżki budżetowej oraz z
prywatyzacji majątku j.s.t. zawiera załącznik nr 5.
6. Prognozę kwoty długu na 2006 rok i lata następne zawiera załącznik nr 6.
7. Wykaz zmian w zakresie i kwotach udzielanych przez budżet gminy dotacji w 2006 roku zawiera załącznik nr 7.
§ 6.
Wykonanie uchwały powierza się Burmistrzowi Środy Śląskiej.
§ 7.
Uchwała wchodzi w życie z dniem podjęcia.
Strona 1
Załacznik nr 1
do Uchwały Nr XLV/407/06
Rady Miejskiej w Środzie Śląskiej
z dnia 24 maja 2006 roku
Dział RozdziałParagraf Kwota w zł.
1
2
3
4
309 523,00
750
10 000,00
75023
10 000,00
0960
10 000,00
46 500,00
45 500,00
0960
5 000,00
801
80101
6260
40 500,00
1 000,00
2440
1 000,00
8 600,00
80104
852
85212
2 500,00
2360
85214
1 100,00
0960
1 100,00
5 000,00
2710
5 000,00
244 423,00
244 423,00
85295
900
90001
710
2 500,00
6260
244 423,00
1 527 775,00
2 000,00
71035
2 000,00
2020
801
80101
2 000,00
1 424 228,00
1 424 228,00
Nazwa
5
Ogółem zwiększenia dochodów
Administracja publiczna
Urzędy gmin (miast i miast na prawach powiatu)
Otrzymane spadki, zapisy i darowizny w postaci
pieniężnej
Oświata i wychowanie
Szkoły podstawowe
Otrzymane spadki, zapisy i darowizny w postaci
pieniężnej
Dotacje otrzymane z funduszy celowych na finansowanie
lub dofinansowanie kosztów realizacji inwestycji i
zakupów inwestycyjnych jednostek sektora finansów
publicznych
Przedszkola
Dotacje otrzymane z funduszy celowych na realizację
zadań bieżących jednostek sektora finansów publicznych
Pomoc społeczna
Świadczenia rodzinne, zaliczka alimentacyjna oraz
składki na ubezpieczenia emerytalne i rentowe z
ubezpieczenia społecznego
Dochody jednostek samorządu terytorialnego związane z
realizacją zadań z zakresu administracji rządowej oraz
innych zadań zleconych ustawami
Zasiłki i pomoc w naturze oraz składki na ubezpieczenia
emerytalne i rentowe
Otrzymane spadki, zapisy i darowizny w postaci
pieniężnej
Pozostała działalność
Wpływy z tytułu pomocy finansowej udzielanej między
jednostkami samorządu terytorialnego na dofinansowanie
własnych zadań bieżących
Gospodarka komunalna i ochrona środowiska
Gospodarka ściekowa i ochrona wód
Dotacje otrzymane z funduszy celowych na finansowanie
lub dofinansowanie kosztów realizacji inwestycji i
zakupów inwestycyjnych jednostek sektora finansów
publicznych
Ogółem zmniejszenia dochodów
Działalność usługowa
Cmentarze
Dotacje celowe otrzymane z budżetu państwa na zadania
bieżące realizowane przez gminę na podstawie
porozumień z organami administracji rządowej
Oświata i wychowanie
Szkoły podstawowe
Dział RozdziałParagraf Kwota w zł.
1
2
3
4
Nazwa
5
6298
Finansowanie programów i projektów ze środków
funduszy strukturalnych, Funduszu Spójności oraz Sekcji
Gwarancji Europejskiego Funduszu Orientacji i Gwaracji
Rolnej
1 256 672,00
6339
852
85212
0970
900
90001
2 500,00
2 500,00
99 047,00
99 047,00
104 651,00
104 651,00
104 651,00
45 000,00
20 000,00
20 000,00
25 000,00
25 000,00
24 933,00
24 933,00
15 000,00
9 933,00
60 000,00
60 000,00
Dotacje otrzymane z funduszy celowych na finansowanie
lub dofinansowanie kosztów realizacji inwestycji i
zakupów inwestycyjnych jednostek sektora finansów
publicznych
Ogółem zwiększenia wydatków
Transport i łączność
Drogi publiczne gminne
Wydatki inwestycyjne jednostek budżetowych
Gospodarka mieszkaniowa
Różne jednostki obsługi gospodarki mieszkaniowej
Zakup usług remontowych
Gospodarka gruntami i nieruchomościami
Wydatki inwestycyjne jednostek budżetowych
Działalność usługowa
Cmentarze
Zakup materiałów i wyposażenia
Zakup usług pozostałych
Administracja publiczna
Urzędy gmin (miast i miast na prawach powiatu)
6060
60 000,00
11 067,00
10 067,00
Wydatki na zakupy inwestycyjne jednostek budżetowych
Oświata i wychowanie
Szkoły podstawowe
6060
10 067,00
1 000,00
Wydatki na zakupy inwestycyjne jednostek budżetowych
Przedszkola
2510
1 000,00
40 000,00
40 000,00
40 000,00
6 100,00
Dotacja podmiotowa z budżetu dla zakładu budżetowego
Ochrona zdrowia
Pozostała działalność
Zakup usług pozostałych
Pomoc społeczna
Zasiłki i pomoc w naturze oraz składki na ubezpieczenia
emerytalne i rentowe
Świadczenia społeczne
Pozostała działalność
Świadczenia społeczne
Gospodarka komunalna i ochrona środowiska
6260
745 181,00
600
60016
6050
700
70004
4270
70005
6050
710
71035
4210
4300
750
75023
801
80101
80104
851
85195
4300
852
85214
3110
85295
3110
900
167 556,00
2 500,00
Wspófinansowanie programów i projektów ze środków
funduszy strukturalnych, Funduszu Spójności oraz Sekcji
Gwarancji Europejskiego Funduszu Orientacji i Gwaracji
Rolnej
Pomoc społeczna
Świadczenia rodzinne, zaliczka alimentacyjna oraz
składki na ubezpieczenia emerytalne i rentowe z
ubezpieczenia społecznego
Wpływy z różnych dochodów
Gospodarka komunalna i ochrona środowiska
Gospodarka ściekowa i ochrona wód
99 047,00
1 100,00
1 100,00
5 000,00
5 000,00
345 930,00
Dział RozdziałParagraf Kwota w zł.
1
2
3
4
90001
345 930,00
6050
345 930,00
921
77 500,00
92109
54 300,00
2480
6050
4 300,00
50 000,00
2 000,00
2 000,00
20 000,00
92116
6050
92120
2720
20 000,00
1 200,00
2820
1 200,00
30 000,00
30 000,00
6 160,00
15 000,00
92195
926
92695
4210
4300
6060
1 377 305,00
600
8 840,00
17 305,00
17 305,00
60014
6300
801
80110
6050
900
90001
6050
17 305,00
1 030 000,00
1 030 000,00
1 030 000,00
330 000,00
330 000,00
330 000,00
Nazwa
5
Gospodarka ściekowa i ochrona wód
Wydatki inwestycyjne jednostek budżetowych
Kultura i ochrona dziedzictwa narodowego
Domy i ośrodki kultury, świetlice i kluby
Dotacja podmiotowa z budżetu dla samorządowej
instytucji kultury
Wydatki inwestycyjne jednostek budżetowych
Biblioteki
Wydatki inwestycyjne jednostek budżetowych
Ochrona zabytków i opieka na zabytkami
Dotacja celowa z budżetu na finansowanie lub
dofinansowanie prac remontowych i konserwatorskich
obiektów zabytkowych, przekazane jednostkom
niezaliczanym do sektora finansów publicznych
Pozostała działalność
Dotacja celowa z budżetu na finansowanie lub
dofinansowanie zadań zleconych do realizacji
stowarzyszeniom
Kultura fizyczna i sport
Pozostała działalność
Zakup materiałów i wyposażenia
Zakup usług pozostałych
Wydatki na zakupy inwestycyjne jednostek budżetowych
Ogółem zmniejszenia wydatków
Transport i łączność
Drogi publiczne powiatowe
Wydatki na pomoc finansową udzielaną między
jednostkami samorządu terytorialnego na dofinansowanie
własnych zadań inwestycyjnych i zakupów
inwestycyjnych
Oświata i wychowanie
Gimnazja
Wydatki inwestycyjne jednostek budżetowych
Gospodarka komunalna i ochrona środowiska
Gospodarka ściekowa i ochrona wód
Wydatki inwestycyjne jednostek budżetowych
Załacznik nr 2
do Uchwały Nr XLV/407/06
Rady Miejskiej w Środzie Śląskiej
z dnia 24 maja 2006 roku
Wykaz zadań inwestycyjnych planowanych do realizacji w 2006 roku
Grupa zadań
1
Rozdzi
ał
Symbol klasyfik
zadania
acji
budżet
owej
2
3
Nazwa zadania
4
Rok
rozp/zak
5
Wartość
kosztorysowa
w zł.
6
Poniesione
nakłady w zł.
7
Budowa Punktów
Publicznego Dostepu
do Internetu oraz
uruchomienie usługi
92109 e-Biblioteka
2004/2006
295 345
3 904
IZP/039
Ochrona wód akwenu
Kajaki wraz z
przebudową cieku
90001 Rokitnik
2004/2006
1 530 469
1 520 833
IZP\026
Budowa kanalizacji w
miejscowościach:
Rakoszyce, Gozdawa
i Kulin oraz
wodociągu w
90001 Gozdawie.
2006/2008
Programy i
projekty
dofinansowywa
ne ze środków IZP/035
UE (art.184
ust.1 pkt. 6
u.o.f.p)
Programy i
projekty
dofinansowywa
ne ze środków
pochodzących
ze źródeł
zagranicznych
niepodlegajacy
ch zwrotowi
(art.5 ust.1 pkt.3
u.o.f.p)
8 302 031
Planowane nakłady w zł.
Budżet gminy
w tym środki:
32 140
Ogółem
8
Razem
9
własne
10
291 441
291 441
72 861
9 636
9 636
9 636
757 739
757 739
Strona 5
13 661
budżet
państwa
11
zwrotne
12
218 580
-
pozostałe
bezzwrotne
13
Inne
źródła
14
-
-
-
744 078
-
-
Grupa zadań
WPI nie ujęte w innych grupach
1
Rozdzi
ał
Symbol klasyfik
acji
zadania
budżet
owej
2
3
Nazwa zadania
4
Rok
rozp/zak
5
Wartość
kosztorysowa
w zł.
6
Planowane nakłady w zł.
Budżet gminy
w tym środki:
Poniesione
nakłady w zł.
Ogółem
8
7
Razem
9
własne
10
budżet
państwa
11
zwrotne
12
pozostałe
bezzwrotne
13
Inne
źródła
14
IZP\017
Budowa parkingu
przy ulicy Kilińskiego
60016 w Środzie Śląskiej
2006/2006
150 000
-
150 000
150 000
150 000
-
-
-
-
IZP\018
Budowa chodników w
strefie "A" ochrony
zabytków - chodnik
na Pl. Wolności na
odcinku od Pl.
60016 Solnego
2006/2006
176 005
-
286 005
286 005
286 005
-
-
-
-
IZP\019
Budowa chodnika
(jednostronnego) na
ul. Oławskiej po
stronie zachodniej na
przeciw Urzędu
60016 Skarbowego
2006/2006
107 318
-
107 318
107 318
107 318
-
-
-
-
IZP\020
Modernizacja i
rozbudowa dróg
gminnych - ul. 1-go
60016 Maja Środa Sląska
2006/2006
177 412
-
177 412
177 412
177 412
-
-
-
-
IZP\021
Modernizacja i
rozbudowa dróg
gminnych - ul. Ogrody
Zamkowe Środa
60016 Śląska
2006/2006
403 160
-
403 160
403 160
203 160
-
-
-
IZP\022
Modernizacja i
rozbudowa dróg
gminnych - ul. Św.
Andrzeja, Korwina i
Kościelna w Srodzie
60016 Ślaskiej
501 458
-
501 458
501 458
501 458
-
-
-
2006/2006
Strona 6
200 000
-
Grupa zadań
Zadania wynikające z WPI nie ujęte w innych grupach
1
Rozdzi
ał
Symbol klasyfik
acji
zadania
budżet
owej
2
3
Nazwa zadania
4
Rok
rozp/zak
5
Wartość
kosztorysowa
w zł.
6
Planowane nakłady w zł.
Budżet gminy
w tym środki:
Poniesione
nakłady w zł.
Ogółem
8
7
Razem
9
własne
10
budżet
państwa
11
zwrotne
12
pozostałe
bezzwrotne
13
Inne
źródła
14
IZP\023
Modernizacja i
rozbudowa dróg
gminnych - Rzeczyca
i Szczepanów droga transportu
60016 rolnego
2006/2007
478 500
-
478 500
478 500
478 500
-
-
-
-
IZP\024
Modernizacja i
rozbudowa dróg
gminnych - ul.
Spokojna i chodnik do
ul. Górnej w Środzie
60016 Śląskiej
2006/2006
88 037
-
88 037
88 037
88 037
-
-
-
-
IZP\030
PT i wykonanstwo
uzbrojenia terenów
uniwersalnych w
60016 Komornikach
2006/2006
557 500
-
657 500
657 500
657 500
-
-
-
-
IZP\034
Adaptacja budynku
SP we
Wrocisławicach na
70004 cele mieszkalne
2005/2007
550 000
40 000
210 028
210 028
210 028
-
-
-
-
Rewitalizacja
zasobów budynków
komunalnych i
wspólnot
WSL\007 70004 mieszkaniowych
-
-
-
-
-
-
-
2004/2008
2 313 427
813 427
300 000
300 000
300 000
-
IZP\033
Budowa hali
sportowej przy SP w
80101 Rakoszycach
2004/2006
2 377 577
335 973
2 041 604
2 041 604
391 604
-
IZP\031
Gimnazjum z krytym
80110 basenem
2004/2007
10 970 000
20 000
270 000
270 000
270 000
-
Strona 7
1 650 000
-
Zada
Grupa zadań
1
Rozdzi
ał
Symbol klasyfik
acji
zadania
budżet
owej
2
3
Nazwa zadania
4
Rok
rozp/zak
5
Wartość
kosztorysowa
w zł.
6
Planowane nakłady w zł.
Budżet gminy
w tym środki:
Poniesione
nakłady w zł.
Ogółem
8
7
Razem
9
własne
10
budżet
państwa
11
zwrotne
12
pozostałe
bezzwrotne
13
602 859
200 953
244 423
IZP/036
PT sieci kanalizacji
sanitarnej i
deszczowej we
wsiach: Chwalimierz,
Jugowiec, Kryniczno i
90001 Ciechów
2006/2006
50 000
-
50 000
50 000
50 000
IZP/044
Budowa kanalizacji
deszczowej i
sanitarnej dla terenów
uniwersalnych w
90001 Komornikach
2006/2006
1 500 000
-
870 000
870 000
66 188
IZP\027
Kanalizacja sanitarna
i deszczowa wraz z
odtworzeniem
nawierzchni - ul.
90001 Mostowa
2006/2007
1 534 070
-
1 080 000
1 080 000
102 308
-
733 269
IZP\028
Knalizacja sanitarna i
deszczowa - ul.
Działkowa, Trauguta,
Akacjowa w Środzie
90001 Śl.
2006/2006
1 040 000
-
1 040 000
1 040 000
952 658
-
87 342
IZP\025
Budowa wiat
przystankowych na
60016 terenie gminy
2006/2006
100 000
-
100 000
100 000
100 000
-
IZP/038
Pomoc finansowa dla
powiatu - chodnik
60014 Cesarzowice
2006/2006
200 000
-
32 695
32 695
32 695
Strona 8
-
Inne
źródła
14
-
-
-
-
-
Grupa zadań
1
Rozdzi
ał
Symbol klasyfik
acji
zadania
budżet
owej
2
3
Nazwa zadania
4
Rok
rozp/zak
5
Modernizacja dróg
przejętych od ANR w
miejscowościach
IZP/041 60016 Komorniki i Ciechów 2006/2006
Budowa drogi wraz z
chodnikami ul.
Kilińskiego
Wykonanie
instalacji
(PrzedszkoleOśrodek) w
IZP/048 60016 gazwoych
2006/2006
budynkach
komunalnych i
wspólnot
WSL\008 70004 mieszkaniowych
2006/2006
FIB\001
IZP\029
Pozostałe zadania inwestycyjne
IZP/049
Zakup ratalny stacji
energomagnetycznej
70005 SN kV nr 3527
2000/2006
Uzbrojenie terenów
przeznaczonych pod
budownictwo - ul.
70005 Spółdzielcza
PT sieci wod-kan do 2005/2006
działek budowlanych
ul. Długa w
Szczepanowie i
Osiedle Zachodnie w
70005 Środzie Śl.
2006/2006
250 000
Poniesione
nakłady w zł.
Ogółem
8
7
-
150 000
38 000
-
Razem
9
własne
10
budżet
państwa
11
zwrotne
12
pozostałe
bezzwrotne
13
Inne
źródła
14
235 000
235 000
47 000
188 000
104 651
104 651
104 651
38 000
38 000
38 000
-
-
-
-
441 536
391 536
70 000
70 000
70 000
-
-
-
-
95 000
4 270
88 680
88 680
88 680
-
-
-
-
-
-
-
-
-
25 000
25 000
25 000
2006/2006
35 000
-
71 630
71 630
71 630
2006/2006
2 500
2 500
2 500
2 500
2006/2006
50 000
110 000
110 000
110 000
-
-
-
-
Budowa Remizy OSP
75412 w Rakoszycach
2002/2006
500 000
196 000
196 000
196 000
-
-
-
-
Zakup dalmierza
75023 laserowego
Zakup
oprogramowania
ORG\048 75023 użytkowego
IZP\001
6
Planowane nakłady w zł.
Budżet gminy
w tym środki:
25 000
Wymiana i zakup
nowego sprzętu
ORG\047 75023 komputerowego
IZP/043
Wartość
kosztorysowa
w zł.
-
300 000
Strona 9
Pozostałe zadania inwestycyjne
Grupa zadań
1
Rozdzi
ał
Symbol klasyfik
acji
zadania
budżet
owej
2
3
Nazwa zadania
4
Zakup sprzętu na
WSK\036 75414 wyposażenie GZR
Rok
rozp/zak
5
Wartość
kosztorysowa
w zł.
6
Poniesione
nakłady w zł.
Ogółem
8
7
2006/2006
9 000
IZP/045
Modernizacja
budynku ZS w
80101 Szczepanowie
2006/2006
150 000
IZP/050
Zakup kosiarki do
trawników - SP
80101 Ciechów
2006/2006
Zakup sprzętu
ZOP\009 80114 komputereowego
Planowane nakłady w zł.
Budżet gminy
w tym środki:
-
Razem
9
własne
10
9 000
9 000
-
130 000
130 000
130 000
10 067
10 067
10 067
2006/2006
20 000
-
20 000
20 000
20 000
IZP/037
PT i wykonawstwo
montażu
napowietrzaczy na
90001 akwenie Kajaki
2005/2006
47 000
-
47 000
47 000
47 000
IZP\016
Przystosowanie sali
widowiskowej DK na
92109 cele kina
2005/2006
50 000
-
100 000
100 000
100 000
IZP/042
Zakup wieży
92109 nagłąśnijącej dla DK
2006/2006
1 300
-
1 249
1 249
1 249
IZP\032
Modernizacja
budynku wraz ze
zmianą sposobu
użytkowania na
świetlicę wiejską w
92109 Jastrzębcach
2006/2006
100 000
-
175 000
175 000
175 000
IZP/046
PT p-poż. I sieci
komputerowej w
Bibliotece w Środzie
92116 Śląskiej
2006/2006
-
-
10 000
10 000
10 000
Zakup wiat na stadion
92695 w Środzie Śląskiej
2006/2006
-
-
8 840
8 840
8 840
IZP/051
Strona 10
budżet
państwa
11
9 000
zwrotne
12
pozostałe
bezzwrotne
13
Inne
źródła
14
-
-
-
-
-
-
-
-
-
-
-
-
-
-
-
Grupa zadań
1
Rozdzi
ał
Symbol klasyfik
Nazwa zadania
acji
zadania
budżet
owej
4
2
3
xxxxxxx xxxx Ogółem:
Rok
rozp/zak
Wartość
kosztorysowa
w zł.
Planowane nakłady w zł.
Budżet gminy
w tym środki:
Poniesione
nakłady w zł.
a/ programy i projekty dofinansowywane ze
środków UE (art.184 ust.1 okt.6 u.o.f.p)
1 825 814
1 524 737
301 077
301 077
82 497
-
218 580
-
-
b/programy i projekty dofinansowywane ze
środków pochodzących ze źródeł zagranicznych
niepodlegajacych zwrotowi (art.5 ust.1 pkt.3
u.o.f.p)
8 302 031
32 140
757 739
757 739
13 661
-
744 078
-
-
22 974 464
2 264 336
1 209 400
695 806
8 711 022
1 585 312
8 711 022
1 585 312
4 992 176
1 388 312
Objaśnienia:
u.o.f.p. - Ustawa z dnia 30 czerwca 2005 roku o finansach publicznych (Dz. U. z 2005 roku Nr 249, poz. 2104)
Strona 11
11
9 000
9 000
zwrotne
12
4 236 128
Inne
źródła
14
-
7
3 462 083
c/ zadania wynikające z kontraktów
wojewódzkich
d/ zadania wynikające z WPI (bez a,b,c)
e/ pozostałe zadania inwestycyjne
własne
10
6 476 646
pozostałe
bezzwrotne
13
633 376
6
35 366 645
5
Razem
9
11 355 150
budżet
państwa
Ogółem
8
11 355 150
3 273 470
-
445 376
188 000
-
Załacznik nr 3
do Uchwały nr XLV/407/06
Rady Miejskiej w Środzie Śląskiej
z dnia 24 maja 2006 roku
Limity wydatków na wieloletnie programy inwestycyjne (art.166 u.o.f.p)
Lp. Nazwa programu
Cel programu
Zadania
Koordynator
rozp. zak.
1
2
3
4
5
Nakłady w latach 2004-2008
Lata
realizacji
6
7
w tym, w poszczególnych budżetach:
Ogółem
2004
2005
2006
2007
2008
8
9
10
11
12
13
Limity wydatków na Wieloletnie Programy Inwestycyjne
Ogółem program - Ochrona wód akwenu KAJAKI wraz z przebudową cieku Rokitnik
1.
Stworzenie ochrony
przeciwpowodziowej dla
miasta poprzez
umożliwienie odbióru
wód opadowych
spływających z
Ochrona wód
powierzchni
akwenu KAJAKI
utwardzonych zakładów
wraz z
oraz przyległych
przebudową
terenów
cieku Rokitnik
przeznaczonych w
planie przestrzennego
zagospodarowania pod
zabudowę
mieszkaniową oraz 1. Ochrona wód
akwenu Kajaki
przemysłową
wraz z przebudową
cieku Rokitnik
UG/ROL
2004 2005
Ogółem program - Budowa kalanizacji na terenie gminy
1. Północna częśc
miasta etap III
UG/IZP
2004 2004
1 495 456
81 675
1 404 145
9 636
1 495 456
81 675
1 404 145
9 636
14 289 624
1 144 828
2 818 796
2 170 000
682 000
682 000
Strona 12
-
-
3 150 000
5 006 000
Lp. Nazwa programu
Cel programu
Zadania
Koordynator
rozp. zak.
1
2
3
Nakłady w latach 2004-2008
Lata
realizacji
6
7
w tym, w poszczególnych budżetach:
Ogółem
2004
2005
2006
2007
2008
8
9
10
11
12
13
1 170 000
1 700 000
4
5
2. Kanalizacja w ul.
Wrocławskiej,
Dojazdowej,
Wiśniowej i
Różanej w Środzie
Śląskiej
UG/IZP
2004 2006
1 340 155
47 500
3. Ul. Cmentarna w
Środzie Śląskiej
UG/IZP
2003 2004
167 589
167 589
4. Przyłącza
kanalizacyjne we
wsiach
nadodrzańskich
UG/IZP
2003 2004
23 604
23 604
5. Północna część
miasta etap II
UG/IZP
2003 2004
159 885
159 885
6. PT kanalizacji
sanitarnej i
deszczowej ul.
Strzelecka,
Legnicka i Ogrody
Zamkowe w
Środzie Śląskiej
UG/IZP
2004 2004
32 155
32 155
7. Wieś Komorniki UG/IZP
2003 2004
32 095
32 095
8. Kanalizacja
sanitarna i
deszczowa w ul.
Strzeleckiej w
Środzie Śląskiej
UG/IZP
2005 2005
247 850
9. Kanalizacja
sanitarna w
miejscowościach
Komorniki, Święte i
Przedmoście z
przesyłem
UG/IZP
2007 2008
2 870 000
Strona 13
Poprawa stanu
sanitarnego gminy
-
1 292 655
-
247 850
-
Lp. Nazwa programu
Cel programu
Zadania
Koordynator
3
4
5
rozp. zak.
1
2
10.Kanalizacja
sanitarna w ul.
Ogrody Zamkowe i
1-go Maja w
Środzie Śląskiej
UG/IZP
2.
Budowa
kanalizacji na
terenie gminy
11.Kanalizacja
sanitarna do
działek
budowlanych przy
Poprawa stanu
ul. Spółdzielczej
UG/IZP
sanitarnego gminy
poprzez podłączenie do 12.Kanalizacja
kanalizacji ściekowej sanitarna w
miejscowości
terenów
Jastrzebce
UG/IZP
mieszkaniowych i
przemysłowych.
13.Kanalizacja
snitarna w
miejscowości
Ciechów
UG/IZP
Nakłady w latach 2004-2008
Lata
realizacji
6
7
w tym, w poszczególnych budżetach:
Ogółem
2004
2005
2006
2007
2008
8
9
10
11
12
13
2005 2005
615 839
2007 2008
740 000
2008 2008
550 000
-
550 000
2008 2008
1 200 000
-
1 200 000
14.Kanalizacja
sanitarna w
miejscowościn
Chwalimierz z
przesyłem do
Srody Śląskiej
UG/IZP
2007 2007
1 650 000
15.Kanalizacja
sanitarna w
miejscowości
Proszków
UG/IZP
2008 2008
1 146 000
16.Kanalizacja
sanitarna i
deszczowa w ul.
Działkowa,
Trauguta,
Akacjowa w
Środzie Śląskiej
UG/IZP
2006 2006
1 040 000
Strona 14
615 839
-
-
-
330 000
1 650 000
410 000
-
1 146 000
1 040 000
-
Lp. Nazwa programu
Cel programu
Zadania
Koordynator
3
4
5
rozp. zak.
1
2
6
7
4.
2005
2006
2007
2008
9
10
11
12
13
18. Kanalizacja w
ul. Kilińskiego,
Wąska,
Daszyńskiego,
Wrocławska
UG/IZP
2005 2005
164 425
164 425
19. Kanalizacja w
ul. Spokojnej
UG/IZP
2005 2005
134 467
134 467
20. PT sieci
kanalizacji
sanitarnej i
deszczowej we
wsiach:
Chwalimierz,
Jugowiec,
Kryniczno i
Ciechów
UG/IZP
2006 2006
50 000
2004 2007
363 560
Poprawa standardów
1. Gimnazjum z
nauczania.
basenem krytym
Odtworzenie
historycznych walorów
starówki oraz poprawa
wizerunku miasta.
2004
8
1 080 000
UG/IZP
15 090 000
2004 2008
Ogółem program - Rewitalizacja Starówki Średzkiej
Rewitalizacja
Starówki
Średzkiej
Ogółem
2006 2006
Ogółem program - Gimnazjum z basenem krytym
Gimnazjum z
basenem krytym
w tym, w poszczególnych budżetach:
17. Kanalizacja
sanitarna i
deszczowa wraz z
odtworzeniem
nawierzchni - ul.
Mostowa
UG/IZP
20.Modernizacja
komunalnej
oczyszczalni
ścieków w Środzie
Śląskiej
ZB "ŚW"
3.
Nakłady w latach 2004-2008
Lata
realizacji
1. Modernizacja
Ratusza
UG/IZP
2004 2004
-
1 080 000
50 000
-
363 560
-
-
20 000
100 000
270 000
7 700 000
7 000 000
15 090 000
20 000
100 000
270 000
7 700 000
7 000 000
2 156 174
356 174
500 000
300 000
500 000
500 000
50 000
50 000
Strona 15
Lp. Nazwa programu
Cel programu
Zadania
Koordynator
rozp. zak.
1
4.
2
Rewitalizacja
Starówki
Średzkiej
3
4
Odtworzenie
historycznych walorów
2. Rekonstrukcja
starówki oraz poprawa
kamieniczek w
wizerunku miasta.
porozumieniu z
właścicielami
5
UG/WSL
6
7
2004 2008
Ogółem program - Remont kapitalny Domu Kultury w Środzie Śląskiej
5.
Modernizacja
kapitalny Domu
Kultury w
Środzie Ślaskiej
Stworzenie centrum
kulturalnego gminy o 1. Modernizacja
wysokim standardzie. kapitalny Domu
Kultury w Środzie
Ślaskiej
UG/IZP
2001 2006
Ogółem program - Budowa dróg i chodników w strefie "A" ochrony zabytków
1.Chodniki ul.
Legnicka i Pl.
Wolności wokół
Ratusza
6.
Budowa dróg i
chodników w
strefie "A"
ochrony
zabytków
Nakłady w latach 2004-2008
Lata
realizacji
w tym, w poszczególnych budżetach:
Ogółem
2004
2005
2006
2007
2008
8
9
10
11
12
13
2 106 174
306 174
500 000
1 225 500
435 500
790 000
1 225 500
435 500
790 000
1 827 005
281 000
260 000
281 000
UG/IZP
2003 2004
281 000
2. Chodniki ul.
Odtworzenie
Legnicka północna
historycznych walorów strona od Rynku do
starówki oraz poprawa UG
UG/IZP
wizerunku miasta.
3. Chodniki
północna strona
Placu Wolności
UG/IZP
2005 2005
260 000
2006 2006
286 005
2007 2008
1 000 000
4. Nawierchnia z
kostki granitowej w
Rynku
UG/IZP
Ogółem program -Renowacja parku miejskiego
Przywrócenie parkowi
Renowacja parku
walorów rekreacyji
7.
świątecznej i poprawa
miejskiego
1.Renowacja parku
wizerunku miasta.
miejskiego
UG/ROL
2004 2008
-
500 000
-
500 000
-
286 005
500 000
500 000
260 000
286 005
500 000
500 000
8 600
-
-
292 500
137 500
438 600
8 600
-
-
292 500
137 500
410 000
110 000
-
-
200 000
100 000
438 600
Ogółem program -Budowa Cmentarza Komunalnego w Srodzie Śląskiej
300 000
Strona 16
Lp. Nazwa programu
Cel programu
Zadania
Koordynator
3
4
5
rozp. zak.
1
8.
2
Poprawa warunków
Budowa
sanitarnych i
Cmentarza
zabezpieczenie miejsc 1. Budowa
Komunalnego w
pochówków w obrębie Cmentarza
Srodzie Śląskiej
starego cmentarza. Komunalnego w
Srodzie Ślaskiej
UG/IZP
6
7
2002 2010
Ogółem program -Rozbudowa i modernizacja sieci dróg gminnych
9.
Rozbudowa i
modernizacja
sieci dróg
gminnych
Poprawa bepieczeństwa
ruchu kołowego i
pieszego na terenie
gminy, stworzenie
dogodnej sieci dróg
gminnych w realacji z
drogami powiatowymi,
Nakłady w latach 2004-2008
Lata
realizacji
w tym, w poszczególnych budżetach:
Ogółem
2004
2005
2006
2007
2008
8
9
10
11
12
13
410 000
110 000
8 153 423
777 776
1. Ul. Wierzbowa w
Środzie Sląskiej
UG/IZP
2003 2004
272 524
272 524
2. Droga Środa
Śląska - Komorniki UG/IZP
2004 2005
796 129
18 300
3. Ul. Kilińskiego w
Srodzie Śląskiej
UG/IZP
2004 2004
208 000
208 000
4. Ulice: Św.
Andrzeja, Ogrody
Zamkowe, 1-go
Maja, Kościelna,
Spokojna, Korwina
+ chodniki
UG/IZP
2006 2007
1 670 067
5. Rzeczyca i
Szczepanów droga transportu
rolnego
UG/IZP
2004 2007
588 845
10 345
6. Ul. Działkowa i
Słoneczna w
miejscowości
Ciechów
UG/IZP
2004 2005
799 877
148 444
7. Ul. Flamandzka
w Środzie Śląskiej UG/IZP
2003 2004
20 880
20 880
Strona 17
2 545 762
200 000
100 000
1 905 885
-
1 597 000
1 327 000
1 170 067
500 000
478 500
100 000
-
777 829
-
651 433
Lp. Nazwa programu
Cel programu
Zadania
Koordynator
3
4
5
rozp. zak.
1
9.
2
Rozbudowa i
modernizacja
sieci dróg
gminnych
Nakłady w latach 2004-2008
Lata
realizacji
6
7
w tym, w poszczególnych budżetach:
Ogółem
2004
2005
2006
2007
2008
8
9
10
11
12
13
8. Ul. Piastów
Śląskich w Środzie
Śląskiej
UG/IZP
2003 2004
14 283
14 283
9. Ul. Łanowa i
Słowackiego w
Środzie Śląskiej
2004 2004
85 000
85 000
2005 2005
590 000
-
590 000
11. Ul. Cmentarna
w Środzie Śląskiej UG/IZP
2005 2005
185 000
-
185 000
12.Ul.
Strzeleckiego w
Srodzie Śląskiej
UG/IZP
2005 2005
341 500
13.Budowa
parkingu na ul.
Kilińskiego
UG/IZP
2006 2006
150 000
14.Ul. Mleczarska
w Środzie Śląskiej UG/IZP
2007 2007
100 000
15. Budowa
chodnika
(jednostronnego)
na ul. Oławskiej po
stronie zachodniej
na przeciw Urzędu
Skarbowego
UG/IZP
2006 2006
107 318
UG/IZP
Poprawa bepieczeństwa
ruchu kołowego i
pieszego na terenie
gminy, stworzenie
dogodnej sieci dróg
gminnych w realacji z 10.Ul. Partyzantów,
drogami powiatowymi, Wąska, Strzelecka,
Daszyńskiego,
wojewódzkimi i
Słowackiego wraz
krajowymi.
zchodnikami w
Środzie Śląskiej
UG/IZP
Strona 18
341 500
-
-
150 000
-
107 318
100 000
Lp. Nazwa programu
Cel programu
Zadania
Koordynator
3
4
5
rozp. zak.
1
2
6
7
10.
Budowa tras
rowerowych
13.
2006
2007
2008
10
11
12
13
17.Drogi Osiedla
Zachodniego w
Srodzie Śląskiej
UG/IZP
2007 2008
1 010 000
18.Ul. Kilińskiego odcinek od
Przedszkola nr 3
do OSW w Środzie
Śl.
UG/IZP
2008 2008
663 000
UG/IZP
2004 2005
Poprawa standardów
1. Modernizacja SP
nauczania.
w Ciechowie
UG/IZP
2003 2004
Poprawa warunków do
rekreacji i aktywnego
1. Budowa tras
wypoczynku.
rowerowych
UG/ROL
Poprawa standardów 1. Budowa hali
nauczania.
sportowej przy SP
w Rakoszycach
UG/IZP
-
2007 2008
2004 2006
-
224 000
327 000
673 000
337 000
663 000
-
-
-
-
-
-
-
-
-
-
-
100 000
50 000
-
100 000
50 000
921 700
921 700
921 700
921 700
150 000
Ogółem program - Budowa hali sportowej przy SP w Rakoszycach
Budowa hali
sportowej przy
SP w
Rakoszycach
2005
9
551 000
Ogółem program - Budowa tras rowerowych
12.
2004
8
2007 2008
Podniesienie standardu
oświetlenia gminy i
zmniejszenie kosztów
związanych z
eksploatacją poprzez 1.Modernizacja i
zastosowanie lamp rozbudowa
enegooszczędnych. oświetlenia
ulicznego
Modernizacja SP
w Ciechowie
Ogółem
UG/IZP
Ogółem program - Remont SP w Ciechowie
11.
w tym, w poszczególnych budżetach:
16. Droga we wsi
Gozdawa
Ogółem program -Modernizacja i rozbudowa oświetlenia ulicznego
Modernizacja i
rozbudowa
oświetlenia
ulicznego
Nakłady w latach 2004-2008
Lata
realizacji
-
150 000
-
2 377 577
45 973
290 000
2 041 604
2 377 577
45 973
290 000
2 041 604
Strona 19
-
-
Lp. Nazwa programu
Cel programu
Zadania
Koordynator
3
4
5
rozp. zak.
1
2
Nakłady w latach 2004-2008
Lata
realizacji
6
7
w tym, w poszczególnych budżetach:
Ogółem
2004
2005
2006
2007
8
9
10
11
12
Ogółem program - Budowa sieci publicznego dostepu do internetu na bazie świetlic wiejskich 295 345
14.
Budowa sieci
publicznego
dostępu do
internetu na
bazie świetlic
wiejskich
Umożliwienie
powszechnego dostepu
do internetu
mieszkańcom gminy.
-
291 441
-
295 345
3 904
-
291 441
-
336 000
96 000
2004 2004
96 000
96 000
UG/GNA
2005 2005
90 000
3. Rewitalizacja ul.
Mleczarskiej w
Środzie Śląskiej
UG/GNA
2006 2006
50 000
4. Rekonstrukcja
murów obronnych
2007 2008
1. Budowa
Punktów
Publicznego
Dostępu do
Internetu oraz
uruchomienie
usługi e-Biblioteka UG/PPG
1. Rekonstrukcja
muru oporowego
przy kosciele św.
Andrzeja w Środzie
Śląskiej
UG/GNA
15.
2004 2006
2. Rekonstrukcja
Przywrócenie walorów dzwonnicy przy
historycznych miastu. kościele
św.Andrzeja
UG/GNA
Ogółem program - Adaptacja obiektów komunalnych na cele mieszkalne
16.
Adaptacja
obiektów
komunalnych na
cele mieszkalne
Zwiększenie bazy
zasobów mieszkań
socjalnych dla
mieszkańców gminy.
13
3 904
Ogółem program - Ochrona zabytków
Ochrona
zabytków
2008
20 000
70 000
20 000
70 000
-
100 000
1 135 290
425 262
1. Modernizacja
budynku po
Meprozecie
UG/IZP
2003 2004
12 730
12 730
2. Biurowiec
Ciechów
UG/IZP
2004 2004
276 332
276 332
3. Świetlica
Proszków
UG/IZP
2004 2004
136 200
136 200
Strona 20
100 000
-
210 028
-
100 000
-
50 000
50 000
50 000
50 000
200 000
200 000
Lp. Nazwa programu
Cel programu
Zadania
Koordynator
3
Zwiększenie
bazy
zasobów mieszkań
socjalnych dla
mieszkańców gminy.
4
5
rozp. zak.
1
2
Adaptacja
obiektów
16.
komunalnych na
cele mieszkalne
6
7
Budowa stołówki
przy SP w
Szczepanowie
Uzbrojenie
terenów pod
usługi i przemysł
Odnowa wsi
2005
2006
2007
2008
9
10
11
12
13
5. Adaptacja
budynku po SP Nr
3 w Środzie
Śląskiej u.
Wrocłwaska 17
UG/IZP
2007 2008
400 000
400 000
2006 2007
1. PT i wykonastwo
i wykonastwo
uzbrojenia terenów
uniwersalnych w
Komornikach
UG/IZP
2005 2006
1 087 500
2. Budowa
kanalizacji
deszczowej i
sanitarnej dla
terenów
uniwersalnych w
Komornikach
2006 2006
870 000
UG/IZP
1. Odnowa wsi
Poprawa standardów Bukówek
życia mieszkańców wsi.
2. Odnowa wsi
Szczepanów
100 000
600 000
210 028
-
-
400 000
1 957 500
Ogółem program - Odnowa wsi
19.
2004
8
310 028
Poprawa standardów 1. Budowa stołówki
nauczania.
przy SP w
Szczepanowie
UG/IZP
Zwiększenie
atracyjności terenów
pod inwestycje.
Ogółem
2005 2006
Ogółem program - Uzbrojenie terenów pod usługi i przemysł
18.
w tym, w poszczególnych budżetach:
4. Adaptacja
budynku po SP we
Wrocisławicach
UG/IZP
Ogółem program - Budowa stołówki przy SP w Szczepanowie
17.
Nakłady w latach 2004-2008
Lata
realizacji
-
-
200 000
200 000
-
100 000
300 000
-
100 000
300 000
430 000
1 527 500
-
430 000
657 500
-
-
870 000
-
600 000
-
-
UG/IZP
2005 2005
300 000
300 000
-
-
UG/IZP
2005 2005
300 000
300 000
-
-
Strona 21
-
-
Lp. Nazwa programu
Cel programu
Zadania
Koordynator
3
4
5
rozp. zak.
1
2
Nakłady w latach 2004-2008
Lata
realizacji
6
w tym, w poszczególnych budżetach:
Ogółem
2004
2005
2006
2007
8
9
10
11
12
7
Ogółem limity na Wieloletnie Programy Inwestycyjne
53 259 194
4 708 392
9 858 703
9 082 099
14 439 500
2008
13
15 170 500
Limity wydatków na programy i projekty relizowane ze środków pochodzących ze źródeł zagranicznych niepodlegających zwrotowi (art. 5 ust.1 pkt.3 u.o.f.p)
1.
Budowa
kanalizacji na
terenie gminy
Poprawa stanu
sanitarnego gminy
poprzez podłączenie do
kanalizacji ściekowej
terenów
mieszkaniowych i
przemysłowych.
1. Budowa
kanalizacji w
miejscowościach:
Rakoszyce,
Gozdawa i Kulin
oraz wodociagu w
Gozdawie.
UG/IZP
2004 2008
Ogółem limity na programy i projekty relizowane ze środków pochodzących ze źródeł
zagranicznych niepodlegających zwrotowi (art. 5 ust.1 pkt.3 u.o.f.p)
8 302 031
8 302 031
32 140
32 140
-
-
757 739
757 739
4 592 272
4 592 272
2 919 880
2 919 880
Limity wydatków na programy i projekty wynikajace z kontraktrów wojewódzkich
Ogółem limity na programy i projekty wynikajace z kontraktrów wojewódzkich
Ogółem limity wydatków
-
-
-
-
-
-
61 561 225
4 740 532
9 858 703
9 839 838
19 031 772
18 090 380
Objaśnienia:
u.o.f.p. - Ustawa z dnia 30 czerwca 2005 roku o finansach publicznych (Dz. U. z 2005 roku Nr 249, poz. 2104)
Strona 22
Załacznik nr 4
do Uchwały nr XLV/407/06
Rady Miejskiej w Środzie Śląskiej
z dnia 24 maja 2006 roku
Wydatki na programy i projekty relizowane ze środków pochodzących z funduszy strukturalnych i Funduszu Spójności
Wydatki
Program
Priorytet
Działanie
Poddziałanie
Kategoria
1
2
Zadanie
3
Rozdział
4
Koszty
Rok 2004
Źródło
Struktura
kwalifikowan.
5
6
Kwota w zł.
(8+9+10)
7
ZPORR - Zintegrowany Program Operacyjny Rozwoju Regionalnego
1. Kwalifikowane (a+b+c)
3
3.1
353
3
3.2
345
3
3.2
312
3
3.1
312
3
3.5
3.5.1
36
Objaśnienia:
Program
Priorytet
Działanie
Poddziałanie
Kategoria interwencji
1 323 193
a) BG
b) UE
c) BP
2. Niekwalifikowane
Razem (1+2)
1. Kwalifikowane (a+b+c)
15%
75%
10%
2. Kanalizacja w ulicy
a) BG
Wrocłwaskiej,
b) UE
Dojazdowej, Wiśniowej i 90001
c) BP
Różanej w Środzie
Śląskiej
2. Niekwalifikowane
Razem (1+2)
1. Kwalifikowane (a+b+c)
3. Rozbudowa i
a) BG
modernizacja sieci dróg
b) UE
gminnych - ulica
60016
Działkowa i Słoneczna
c) BP
w miejscowości
2. Niekwalifikowane
Ciechów
Razem (1+2)
1. Kwalifikowane (a+b+c)
a) BG
4. Rozbudowa i
b) UE
modernizacja sieci dróg
60016
gminnych -droga Środa
c) BP
Śląska - Komorniki
2. Niekwalifikowane
Razem (1+2)
1. Kwalifikowane (a+b+c)
5. Budowa Punktów
a) BG
Publicznego dostepu do
b) UE
internetu oraz
92109
c) BP
uruchomienie usługi eBiblioteka
2. Niekwalifikowane
Razem (1+2)
1. Kwalifikowane (a+b+c)
a) BG
b) UE
Razem wydatki
bieżące
c) BP
2. Niekwalifikowane
Razem (1+2)
1. Kwalifikowane (a+b+c)
a) BG
b) UE
Razem wydatki
majątkowe
c) BP
2. Niekwalifikowane
Razem (1+2)
1. Kwalifikowane (a+b+c)
a) BG
b) UE
Ogółem wydatki
c) BP
2. Niekwalifikowane
Razem (1+2)
27%
63%
10%
1. Ochrona wód akwenu
Kajaki wraz z
90001
przebudową cieku
Rokitnik
15%
75%
10%
15%
75%
10%
25%
75%
0%
0%
0%
0%
19%
71%
9%
19%
71%
9%
194 938
995 535
132 720
207 276
1 530 469
1 307 659
Wykonanie w Przewidywane
zł.
wykonanie w zł.
8
74 847
11 227
56 135
7 485
6 828
81 675
-
Rok 2006
Plan w zł.
9
1 248 346
183 711
939 400
125 235
190 812
1 439 158
1 307 659
354 114
822 779
130 766
1 307 659
495 436
148 444
354 114
822 779
130 766
1 307 659
346 992
74 315
371 577
49 544
495 436
796 129
119 419
597 097
79 613
796 129
295 345
73 837
221 508
295 345
4 217 762
816 623
3 008 496
392 643
207 276
4 425 038
4 217 762
816 623
3 008 496
392 643
207 276
4 425 038
22 267
111 333
14 844
148 444
18 300
2 745
13 725
1 830
18 300
3 904
976
2 928
3 904
245 495
37 215
184 121
24 159
6 828
252 323
245 495
37 215
184 121
24 159
6 828
252 323
52 048
260 244
34 700
346 992
777 829
116 674
583 372
77 783
777 829
3 680 826
706 547
2 605 795
368 484
190 812
3 871 638
3 680 826
706 547
2 605 795
368 484
190 812
3 871 638
ZPORR - Zintegrowany Program Operacyjny Rozwoju Regionalnego
1 - Rozbudowa i modernizacja infrastruktury służącej wzmacnianiu konkurencyjności regionów.
3 - Rozwój lokalny
1.5 - Infrastruktura społeczeństwa informatycznego.
3.1 - Obszary wiejskie.
3.2 - Obszary podlegające restrukturyzacji.
3.5 - Lokalna infrastruktura społeczna.
3.5.1 - Lokalna infrastruktura edukacyjna i sportowa.
36 - Infrastruktura społeczna i ochrona zdrowia.
312 - Drogi.
323 - Usługi i projekty wdrożeniowe dla obywateli (zdrowie, administracja, edukacja).
345 - Oczyszczanie ścieków.
353 - Ochrona, poprawa i odtwarzanie środowiska naturalnego.
Strona 23
Rok 2005
10
-
9 636
9 636
-
-
291 441
72 861
218 580
291 441
-
291 441
72 861
218 580
9 636
301 077
291 441
72 861
218 580
9 636
301 077
Załacznik nr 5
do Uchwały nrXLV/407/06
Rady Miejskiej w Środzie Śląskiej
z dnia 24 maja 2006 roku
Przychody i rozchody związane z finansowaniem niedoboru i rozdysponowaniem nadwyżki
budżetowej oraz z prywatyzacji majątku j.s.t.
Kwota w zł.
Pargrafy przychodów i rozchodów klasyfikacji budżetowej
Symbol
1
931
952
992
955
Nazwa
2
Przychody ze sprzedaży innych papierów wartościowych
Przychody z zaciągnietych pożyczek i kredytów na rynku krajowym
Spłaty otrzymanych krajowych pożyczek i kredytów
Przychody z tytułu innych rozliczeń krajowych
Ogółem:
Strona 24
Przychody
Rozchody
Różnica
3
2 750 000
1 486 128
4
5
2 750 000
1 486 128
-1 643 214
1 818 902
4 411 816
1 643 214
1 818 902
6 055 030
1 643 214
Załacznik nr 6
do Uchwały nr XLV/407/06
Rady Miejskiej w Środzie Śląskiej
Prognoza kwoty długu na 2006 rok i lata następne
z dnia 24 maja 2006 roku
6
-
7
1 616 344
2 557 925
1 773 825
1 355 691
1 017 307
771 923
593 539
445 155
296 771
148 387
9
-
Ogółem
Krótkoterminowe
Długoterminowe
8
1 616 344
2 557 925
1 773 825
1 355 691
1 017 307
771 923
593 539
445 155
296 771
148 387
10
-
Pozostałych jednostek sektora finansów
publicznych oraz poręczenia i gwarancje
5
1 624 216
525 549
-
Krótkoterminowe
Długoterminowe
Ogółem
4
1 624 216
525 549
-
z tytułu składek na ubezp. Społ. I FP
3
5 950 000
8 700 000
8 700 000
8 350 000
7 000 000
5 650 000
4 200 000
2 750 000
1 200 000
-
Wymagalne zobowiązania
Jednostek
budżetowych
z tytułu dostaw towarów i usług
2
9 190 560
11 783 474
10 473 825
9 705 691
8 017 307
6 421 923
4 793 539
3 195 155
1 496 771
148 387
Wyemitowane papiery wartościowe
Ogółem
Stan na dzień 31 grudnia
1
2005
2006
2007
2008
2009
2010
2011
2012
2013
2014
Ogółem
Kwota zadłużenia w zł.
Pożyczki
Kredyty
11
-
12
-
13
-
2015
cd. Załacznik nr 6
do Uchwały nr XLV/407/06
Rady Miejskiej w Środzie Śląskiej
Prognoza kwoty długu na 2006 rok i lata następne c.d.
350 000
1 350 000
1 350 000
1 450 000
1 450 000
1 550 000
1 200 000
17
271 000
500 512
498 459
478 560
403 872
327 434
244 205
161 084
70 967
18
1 163 866
1 098 667
525 549
-
19
181 876
96 691
26 000
-
20
881 897
544 547
784 100
418 134
338 384
245 384
178 384
148 384
148 384
148 384
21
65 720
53 182
92 361
69 400
56 000
44 000
31 000
23 000
15 000
9 000
22
30 000
Prognozowane dochody budżetowe
odsetki
raty
odsetki
raty
odsetki
wykup
16
Pożyczki
23
37 128 696
40 644 550
43 848 263
43 183 521
34 213 908
34 953 147
35 713 269
36 494 859
37 298 519
38 124 874
Relacja obsługi długu do dochodów w %
15
2 293 359
2 094 087
1 928 522
1 335 993
2 222 944
2 043 256
1 986 818
1 865 589
1 874 468
1 428 351
Obsługa długu w zł.
Kredyty
Relacja długu do dochodów w %
14
-
Ogółem
Przyjęte depozyty
Papiery wartościowe
Potencjalne spłaty kwot wynikające z
udzielonych przez JST poręczeń i gwarancji
z dnia 24 maja 2006 roku
24
24,75
28,99
23,89
22,48
23,43
18,37
13,42
8,76
4,01
0,39
25
6,18
5,15
4,40
3,09
6,50
5,85
5,56
5,11
5,03
3,75
152 387
148 387
4 000
38 120 094
-
0,40
Załacznik nr 7
do Uchwały nr XLV/407/06
Rady Miejskiej w Środzie Śląskiej
z dnia 24 maja 2006 roku
Zakres i kwoty dotacji udzielanych przez budżet gminy.
Wyszczególnienie
Rodzaj dotacji
1
Dotacje podmiotowe
Zakres dotacji
2
Prowadzenie placówek upowszechniania kultury,
promocja gminy
Prowadzenie przedszkoli samorządowych
Prowadzenie przedszkoli niepublicznych
Dotacje celowe
Dotacje przedmiotowe
Krzewienie kultury fizycznej i turystyki,
przeciwdziałanie patologiom społecznycm,
ochrona zdrowia, edukacja publicznej,
dziedzictwo kulturowe
Ochrona zabytków
Ogółem:
Strona 29
Kwota dotacji
w zł.
3
1 274 300
1 726 000
379 248
428 200
140 000
3 947 748
UZASADNIENIE
Dokonane zmiany w uchwale budżetowej dotyczą korekt zwiazanych z realizacją zadań dofinansowywanych z ZPORR
i wprowadzeniem nowych zadań oraz zaciągnięciem preferencyjnych pożyczek w WFOŚiGW we Wrocławiu.
W wyniku zmian ustalono deficyt budżetowy w wysokości 4.411.816,- zł.
gdzie żródłem finansowania jego będą:
- przychody ze sprzedaży obligacji komunalnych
2 750 000 zł (Uchwała nr XLII/374/06 01.03.06r.)
- przychody z pożyczki z WFOŚiGW we Wrocławiu
602 859 zł (Uchwała nr XLII/383/06 01.03.06r. - wielkość kredytu po przetargu)
- przychody z pożyczki z WFOŚiGW we Wrocławiu
150 000 zł (Uchwała nr XLV/399/06 24.05.06r.)
- przychody z pożyczki z WFOŚiGW we Wrocławiu
733 269 zł (Uchwała nr XLV/398/06 24.05.06r.)
- wolne środki
1 818 902 zł
- razem
6 055 030 zł
- spłata rat kapitałowych w 2006 roku
1 643 214 zł
- środki do finansowania deficytu
4 411 816 zł
Strona 30
Wykaz zmian do załącznika nr 2 Uchwały Nr XLV/407/06 RM w ŚŚ z dnia 24 maja 2006 roku
Rozdzi
ał
Symbol klasyfi
Grupa zadań
zadania kacji
budżet
owej
1
2
3
Plan budżetu na 2005 rok
Nazwa zadania
4
Programy i
Budowa Punktów Publicznego
projekty
Dostepu do Internetu oraz
dofinansow
ywane ze IZP/035 92109 uruchomienie usługi e-Biblioteka
środków UE
(art.184
Ochrona wód akwenu Kajaki
ust.1 pkt. 6
wraz z przebudową cieku
u.o.f.p)
IZP/039 90001 Rokitnik
Zadania wynikające z WPI nie ujęte w innych grupach
Programy i
projekty
dofinansow
ywane ze
środków
pochodzący
ch ze źródeł
zagraniczny
ch
niepodlegaj
acych
zwrotowi
(art.5 ust.1
pkt.3 u.o.f.p)
zmiany (+/-)
wyjściowy
5
aktualny
6
dotychczasowe
7
razem (7+8) po zmianach (6+8)
9
10
291 441
291 441
-
9 636
Budowa kanalizacji w
miejscowościach: Rakoszyce,
Gozdawa i Kulin oraz wodociągu
IZP\026 90001 w Gozdawie.
757 739
757 739
-
-
757 739
Budowa parkingu przy ulicy
IZP\017 60016 Kilińskiego w Środzie Śląskiej
150 000
150 000
-
-
150 000
Budowa chodników w strefie "A"
ochrony zabytków - chodnik na
Pl. Wolności na odcinku od Pl.
IZP\018 60016 Solnego
176 005
286 005
Budowa chodnika
(jednostronnego) na ul.
Oławskiej po stronie zachodniej
IZP\019 60016 na przeciw Urzędu Skarbowego
107 318
107 318
-
-
107 318
Modernizacja i rozbudowa dróg
gminnych - ul. 1-go Maja Środa
IZP\020 60016 Sląska
177 412
177 412
-
-
177 412
Modernizacja i rozbudowa dróg
gminnych - ul. Ogrody Zamkowe
IZP\021 60016 Środa Śląska
403 160
403 160
-
-
403 160
Modernizacja i rozbudowa dróg
gminnych - ul. Św. Andrzeja w
IZP\022 60016 Srodzie Ślaskiej
406 862
501 458
Modernizacja i rozbudowa dróg
gminnych - Rzeczyca i
Szczepanów - droga transportu
IZP\023 60016 rolnego
478 500
478 500
-
-
478 500
Modernizacja i rozbudowa dróg
gminnych - ul. Spokojna i
chodnik do ul. Górnej w Środzie
IZP\024 60016 Śląskiej
88 037
88 037
-
-
88 037
PT i wykonanstwo uzbrojenia
terenów uniwersalnych w
IZP\030 60016 Komornikach
657 500
657 500
-
-
657 500
Adaptacja budynku SP we
Wrocisławicach na cele
IZP\034 70004 mieszkalne
210 028
210 028
-
-
210 028
Rewitalizacja zasobów
budynków komunalnych i
WSL\007 70004 wspólnot mieszkaniowych
300 000
300 000
-
-
300 000
Strona 31
-
bieżące
8
9 636
110 000
94 596
-
9 636
110 000
94 596
291 441
9 636
286 005
501 458
Zadania wynikające z WPI nie ujęte w
Rozdzi
ał
Symbol klasyfi
Grupa zadań
zadania kacji
budżet
owej
1
2
3
Plan budżetu na 2005 rok
Nazwa zadania
4
wyjściowy
5
aktualny
6
dotychczasowe
7
bieżące
8
razem (7+8) po zmianach (6+8)
9
10
Budowa hali sportowej przy SP
IZP\033 80101 w Rakoszycach
IZP\031 80110 Gimnazjum z krytym basenem
2 041 604
1 300 000
2 041 604
1 300 000
-
PT sieci kanalizacji sanitarnej i
deszczowej we wsiach:
Chwalimierz, Jugowiec,
IZP/036 90001 Kryniczno i Ciechów
50 000
50 000
-
Kanalizacja sanitarna i
deszczowa wraz z
odtworzeniem nawierzchni - ul.
IZP\027 90001 Mostowa
734 070
734 070
-
Budowa kanalizacji deszczowej i
sanitarnej dla terenów
IZP/044 90001 uniwersalnych w Komornikach
-
1 200 000
1 040 000
1 040 000
-
-
1 040 000
Budowa wiat przystankowych na
IZP\025 60016 terenie gminy
100 000
100 000
-
-
100 000
Pomoc finansowa dla powiatu IZP/038 60014 chodnik Cesarzowice
50 000
50 000
-
Modernizacja dróg przejętych od
ANR w miejscowościach
IZP/041 60016 Komorniki i Ciechów
-
235 000
Budowa drogi wraz z
chodnikami ul. Kilińskiego
IZP/048 60016 (Przedszkole-Ośrodek)
-
-
-
Wykonanie instalacji gazwoych
w budynkach komunalnych i
WSL\008 70004 wspólnot mieszkaniowych
38 000
38 000
-
-
38 000
Zakup ratalny stacji
energomagnetycznej SN kV nr
FIB\001 70005 3527
70 000
70 000
-
-
70 000
Uzbrojenie terenów
przeznaczonych pod
IZP\029 70005 budownictwo - ul. Spółdzielcza
88 680
88 680
-
-
88 680
PT sieci wod-kan do działek
budowlanych ul. Długa w
Szczepanowie i Osiedle
IZP/049 70005 Zachodnie w Środzie Śl.
-
-
-
Wymiana i zakup nowego
ORG\047 75023 sprzętu komputerowego
IZP/043 75023 Zakup dalmierza laserowego
35 000
-
71 630
2 500
Zakup oprogramowania
ORG\048 75023 użytkowego
50 000
50 000
-
Budowa Remizy OSP w
IZP\001 75412 Rakoszycach
196 000
196 000
-
-
196 000
9 000
9 000
-
-
9 000
-
130 000
Knalizacja sanitarna i
deszczowa - ul. Działkowa,
Trauguta, Akacjowa w Środzie
IZP\028 90001 Śl.
Pozostałe zadania inwestycyjne
zmiany (+/-)
Zakup sprzętu na wyposażenie
WSK\036 75414 GZR
Modernizacja budynku ZS w
IZP/045 80101 Szczepanowie
-1 030 000
-1 030 000
-
1 200 000
345 930
1 080 000
-330 000
870 000
870 000
235 000
104 651
25 000
-
60 000
130000
Zakup kosiarki do trawników IZP/050 80101 SP Ciechów
50 000
345 930
-17 305
36 630
2 500
2 041 604
270 000
10 067
-17 305
32 695
235 000
235 000
104 651
104 651
25 000
25 000
36 630
2 500
71 630
2 500
60 000
110 000
130 000
130 000
10 067
10 067
ZOP\009 80114 Zakup sprzętu komputereowego
20 000
20 000
0
-
20 000
PT i wykonawstwo montażu
napowietrzaczy na akwenie
IZP/037 90001 Kajaki
47 000
47 000
0
-
47 000
Strona 32
Pozost
Rozdzi
ał
Symbol klasyfi
Grupa zadań
zadania kacji
budżet
owej
1
Plan budżetu na 2005 rok
Nazwa zadania
zmiany (+/-)
wyjściowy
5
aktualny
6
Przystosowanie sali
IZP\016 92109 widowiskowej DK na cele kina
50 000
50 000
Zakup wieży nagłąśnijącej dla
IZP/042 92109 DK
-
1 249
150 000
175 000
2
3
4
Modernizacja budynku wraz ze
zmianą sposobu użytkowania na
IZP\032 92109 świetlicę wiejską w Jastrzębcach
PT p-poż. I sieci komputerowej
IZP/046 92116 w Bibliotece w Środzie Śląskiej
8 000
Zakup wiat na stadion w Środzie
IZP/051 92695 Śląskiej
Ogółem
10 273 356
12 125 967
Strona 33
dotychczasowe
7
0
bieżące
8
50 000
1 249
25000
razem (7+8) po zmianach (6+8)
9
10
50 000
100 000
1 249
1 249
25 000
175 000
8 000
2 000
10 000
10 000
1 852 611
8 840
-770 817
8 840
1 081 794
8 840
11 355 150