↓ 1 ↓ 4

Transkrypt

↓ 1 ↓ 4
ZADANIE BRZEGOWE LINIOWEJ TEORII SPRĘŻYSTOŚCI
1
ZADANIE : dla ciała obciążonego na powierzchni Sq i posiadającego więzy na powierzchni Su
wyznaczyć tensor naprężenia Tσ , tensor odkształcenia Tε i wektor przemieszczenia u .
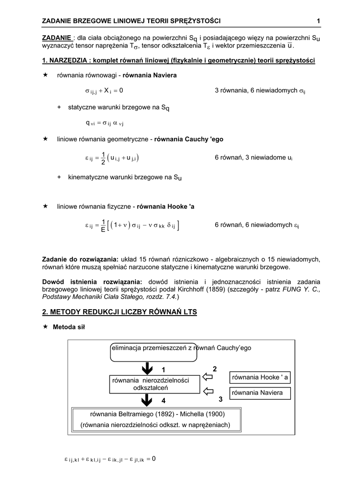
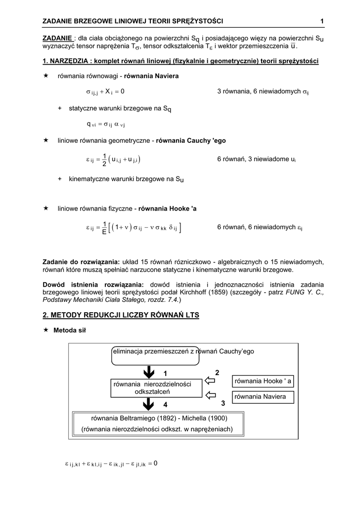
1. NARZĘDZIA : komplet równań liniowej (fizykalnie i geometrycznie) teorii sprężystości

równania równowagi - równania Naviera
σ i j, j + X i = 0
+
3 równania, 6 niewiadomych σij
statyczne warunki brzegowe na Sq
q νi = σ i j α ν j

liniowe równania geometryczne - równania Cauchy 'ego
ε i j = 1 ( u i, j + u j, i )
2
+

6 równań, 3 niewiadome ui
kinematyczne warunki brzegowe na Su
liniowe równania fizyczne - równania Hooke 'a
ε ij = 1
E
[ ( 1+ ν ) σ i j − ν σ kk δ i j ]
6 równań, 6 niewiadomych εij
Zadanie do rozwiązania: układ 15 równań rózniczkowo - algebraicznych o 15 niewiadomych,
równań które muszą spełniać narzucone statyczne i kinematyczne warunki brzegowe.
Dowód istnienia rozwiązania: dowód istnienia i jednoznaczności istnienia zadania
brzegowego liniowej teorii sprężystości podał Kirchhoff (1859) (szczegóły - patrz FUNG Y. C.,
Podstawy Mechaniki Ciała Stałego, rozdz. 7.4.)
2. METODY REDUKCJI LICZBY RÓWNAŃ LTS
 Metoda sił
eliminacja przemieszczeń z równań Cauchy’ego
Ð
1
Ð
4
równania nierozdzielności
odkształceń
2
Õ
Õ3
równania Beltramiego (1892) - Michella (1900)
(równania nierozdzielności odkszt. w naprężeniach)
ε i j,k l + ε k l,i j − ε i k , j l − ε
jl,ik
=0
równania Hooke ' a
równania Naviera
ZADANIE BRZEGOWE LINIOWEJ TEORII SPRĘŻYSTOŚCI
2
ε i j = 1+ ν σ i j − ν σ kk δ i j
E
E
σ i j,k l + σ k l,i j − σ i k , j l − σ
=
jl,ik
σ i j, jk = − X i,k
⇒
zrównujemy wskaźniki
k=l
∇ 2 σ i j + 1 σ, i j − ν ∇ 2 σ δ, i j = − ( X i , j + X
1+ ν
1+ ν
zrównujemy wskaźniki
+
j,i
)
2
2
2
∇2 = ∂ 2 + ∂ 2 + ∂ 2
∂x1 ∂x 2 ∂x 3
gdzie
∇ 2σ i j +
jl
σ = σkk
gdzie
σ i j, j + X i = 0
ν σ δ +σ δ −σ δ −σ δ
( ,k l i j ,i j k l , jl i k ,i k
1+ ν
i=j
∇ 2 σ = − 1 + ν X i, i
1− ν
⇒
1 σ
ν δ X − X +X
( i, j j,i
k k ,i j = −
ij
i,i
1+ ν
1− ν
)
statyczne i kinematyczne warunki brzegowe
 Metoda przemieszczeń
równania równowagi
Ð3
Õ1
Õ2
równania Hooke ' a
równania geometryczne
równania Naviera (1820 ?)
(równania równowagi w przemieszczeniach)
σ i j, j + X i = 0
σ ij = 2G ε ij + λ ε kk δ ij
2 G ε i j, j + λ ε k k , j δ i j + X i = 0
ε i j = 1 ( u i, j + u j,i )
2
G u i , j j + ( G + λ ) u j , ji + X i = 0
∂u 1 ∂u 2 ∂u 3
+
+
= u j, j
∂x1 ∂x 2 ∂x 3
dywergencja pola wektorowego u
div u =
gradient pola skalarnego ϕ
 ∂ϕ ∂ϕ
∂ϕ 
grad ϕ = 
,
,
 = ϕ, i
 ∂x1 ∂x 2 ∂x 3 
laplasjan pola skalarnego ϕ
∇ 2ϕ =
∂ 2ϕ
∂ x 12
+
∂ 2ϕ
∂ x 22
+
∂ 2ϕ
∂ x 23
= ϕ, i i
G ∇ 2u i + ( G + λ ) grad div u + X i = 0
+
statyczne i kinematyczne warunki brzegowe
3. METODY ROZWIĄZANIA ZADANIA BRZEGOWEGO
)
ZADANIE BRZEGOWE LINIOWEJ TEORII SPRĘŻYSTOŚCI
3
 metoda bezpośrednia rozwiązania równań Beltramiego-Michella lub Naviera : metoda
ogólna, ale b. trudna,
 metoda "półodwrotna" : możliwa do wykorzystania jedynie w szczególnych przypadkach,
niekiedy "zadowala się" przybliżeniami, ale stosunkowo prosta
METODA PÓŁODWROTNA
Podejście statyczne
(analogia do met. przemieszczeń)
"wymyślić" Tσ
sprawdzić stat. war. brzeg.
sprawdzić równ. Naviera
"wymyślić" u 1 , u 2 , u 3
sprawdzić kinematyczne war. brzeg.
wyznaczyć odkształcenia
ε
ε
Podejście kinematyczne
(analogia do met. sił)
(σ )
ij =
ij
ij
sprawdzić równ. nierozdz. odkszt.
wyznaczyć odkształcenia
ε = 1 ( u i, j + u j, i )
ij
2
wyznaczyć naprężenia
wyznaczyć przemieszczenia
ε = 1 ( u i, j + u j, i )
ij
2
σ
σ
( ε
)
ij =
ij
ij
+ statyczne war. brzegowe
+ równania Naviera
+ kinematyczne war. brzegowe
Jeżeli przemieszczenia wynikające z
rozwiązania równań geometrycznych nie
spełniają
kinematycznych
warunków
brzegowych, to przyjęta macierz naprężeń
nie opisuje rzeczywistego pola naprężeń.
Należy znaleźć inną macierz i ponownie
przebyć całą procedurę.
4. ZASADA SUPERPOZYCJI
ZADANIE : ciało o ustalonych więzach kinematycznych obciążono układem obciążenia
( q (1) , X (1) )
i otrzymano rozwiązanie zadania brzegowego T σ(1) , T ε(1) , u (1) . Następnie to samo
ciało obciążono układem obciążenia
( q (2) , X (2) ) i uzyskano rozwiązanie T σ(2) , T ε(2) , u (2) . Jakie
jest rozwiązanie zadania brzegowego przy łącznym obciążeniu ciała obydwoma układami
obciążeń ?
ROZWIĄZANIE : rozwiązanie dla łącznego układu obciążenia
q = q (1) + q ( 2)
X = X (1) + X (1)
jest sumą rozwiązań dla układu (1) i (2), tzn.:
T σ = T σ(1) + T σ( 2)
T ε = T ε(1) + T ε( 2)
u = u (1) + u ( 2)
DOWÓD : wszystkie równania teorii sprężystości, łącznie z warunkami brzegowymi są
równaniami liniowymi, a dla zależności liniowych zawsze obowiązuje zasada superpozycji.
PRZYKŁAD : równania Naviera
ZADANIE BRZEGOWE LINIOWEJ TEORII SPRĘŻYSTOŚCI
σ i(j2, )j + X i( 2) = 0
Założenie :
(1)
σ i(1)
j, j + X i = 0
Teza :
(σ
Dowód:
( 2)
(1)
( 2)
σ (1)
=0
i j, j + σ i j, j + X i + X i
(1)
ij
+ σ i( 2j )
) +( X
,j
4
(1)
i
)
+ X (i 2) = 0
⇒
(σ
(1)
ij
+ σ i( 2j )
) +( X
,j
(1)
i
)
+ X (i 2) = 0
5. ZASADA de SAINT-VENANTA (1855)

Zasada intuicyjno - empiryczna, bez istnienia ogólnego dowodu teoretycznego jej
słuszności,

Dla bryły obciążonej na niewielkiej powierzchni w porównaniu z całkowitą powierzchnią
ciała znane jest rozwiązanie zagadnienia brzegowego. Zmieniamy obciążenie na tej
powierzchni, ale tak, aby oba obciążenia były statycznie równoważne (S(1)=S(2), M(1)=M(2)).
Zasada de Saint-Venanta mówi, że rozwiązanie dla nowego obciążenia różni się od
wyjściowego dowolnie mało, poza niewielkim obszarem w pobliżu obciążonej powierzchni.