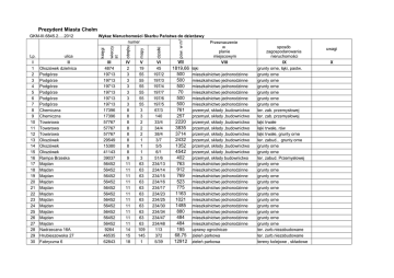
Prezydent Miasta Chełm

Transkrypt

Prezydent Miasta Chełm
Prezydent Miasta Chełm
mapy
działki
pow. w m2
III
4874
19713
19713
19713
19713
19713
19713
17396
17396
57767
57767
57767
29549
15380
41143
39037
56452
56452
56452
56452
56452
56452
56452
56452
56452
56452
56452
9264
46535
62843
obrębu
ulica
II
Okszówek dzielnica
Podgórze
Podgórze
Podgórze
Podgórze
Podgórze
Podgórze
Chemiczna
Chemiczna
Towarowa
Towarowa
Towarowa
Okszówek
Okszówek
Okszówek
Rampa Brzeska
Majdan
Majdan
Majdan
Majdan
Majdan
Majdan
Majdan
Majdan
Majdan
Majdan
Majdan
Nadrzeczna 16A
Hrubieszowska 27
Fabryczna 6
wieczy
st
Lp.
I
1
2
3
4
5
6
7
8
9
10
11
12
13
14
15
16
17
18
19
20
21
22
23
24
25
26
27
28
29
30
Wykaz Nieruchomości Skarbu Państwa do dzierżawy
numer
księgi
GKM-III.6845.2.....2012
IV
2
3
3
3
3
3
3
8
8
8
8
8
8
8
8
9
11
11
11
11
11
11
11
11
11
11
11
14
15
18
V
19
55
55
55
55
55
55
3
3
2
2
2
1
1
1
3
63
63
63
63
63
63
63
63
63
63
63
109
145
1
VI
45
197/2
197/3
197/4
197/7
197/6
197/5
67/3
140
33/4
34/4
38/4
3/7
5/5
6/1
51/6
234/13
234/14
234/15
234/16
234/17
234/23
234/25
234/30
234/34
234/47
234/48
113
372
5/39
VII
1819,66
500
500
500
70
500
500
761
257
2220
3835
3714
2432
1352
4542
402
763
912
769
523
775
1163
1021
1485
880
484
484
195
68,75
12912
Przeznaczenie
w
planie
miejscowym
VIII
łąki
mieszkalnictwo jednorodzinne
mieszkalnictwo jednorodzinne
mieszkalnictwo jednorodzinne
mieszkalnictwo jednorodzinne
mieszkalnictwo jednorodzinne
mieszkalnictwo jednorodzinne
przemysł, składy ,budownictwo
przemysł, składy ,budownictwo
przemysł, składy ,budownictwo
przemysł, składy ,budownictwo
przemysł, składy ,budownictwo
przemysł, składy ,budownictwo
przemysł, składy ,budownictwo
przemysł, składy ,budownictwo
przemysł, składy budownictwo
mieszkalnictwo jednorodzinne
mieszkalnictwo jednorodzinne
mieszkalnictwo jednorodzinne
mieszkalnictwo jednorodzinne
mieszkalnictwo jednorodzinne
mieszkalnictwo jednorodzinne
mieszkalnictwo jednorodzinne
mieszkalnictwo jednorodzinne
mieszkalnictwo jednorodzinne
mieszkalnictwo jednorodzinne
mieszkalnictwo jednorodzinne
uprawy ogrodnicze
zieleń parkowa
zieleń parkowa
sposób
zagospodarowania
nieruchomości
IX
grunty orne, łąki, pastw.
grunty orne
grunty orne
grunty orne
grunty orne
grunty orne
grunty orne
ter. zab. przemysłowej
ter. zab. przemysłowej
łąki trwałe
łąki trwałe, rów
łąki trwałe, grunty orne
ter. zabud., grunty orne
grunty orne
grunty orne
ter. zabud. Przemysłowej
grunty orne
grunty orne
grunty orne
grunty orne
grunty orne
grunty orne
grunty orne
grunty orne
grunty orne
grunty orne
grunty orne
ter. zurb.niezabudowane
ter. zurb.niezabudowane
tereny kolejowe , składowe
uwagi
X
31
32
33
Al. I Armii Wojska Polskiego
Wolwinów
Wolwinów
19442
43274
18710
23
29
29
2
1
1
181
58
135
571
4897
6691
mieszk. wysokie, usługi
uprawy polowe, łąki
uprawy polowe, łąki
ter. zurb.niezabudowane
łąki trwałe
łąki trwałe
Umowy dzierżawy zawierane są na okres do 3-ch lat
Termin płatności czynszu dzierżawnego do 25- każdego miesiąca, 31 marca ( za garaże do 30 kwietnia i 30 września) każdego roku
Minimalny czynsz dzierżawy :
garaże i grunty zajęte pod parkingi – 6,92zł/m2 półroczny czynsz dzierżawy + podatek VAT wg obowiązującej stawki
uprawy ogrodnicze – roczny czynsz dzierżawy wynosi – 0,06 zł za 1 m2 dla upraw do 500 m2 + opłata stała 26 zł + podatek VAT jw.,
tablice reklamowe (poza pasem drogowym) – roczny czynsz dzierżawny za pow. do 5 m2 wynosi 259 zł oraz za każdy dodatkowy 1 m2 39 zł + podatek VAT jw.
uprawy rolne – roczny czynsz dzierżawny za grunty orne 1,64 zł /100m2 , zaś za łąki 0,83 zł/100m2
grunty pod obiektami handlowymi zajęte pod prowadzenie działalności gospodarczej w zależności od położenia nieruchomości (w I,II lub III strefie)
stawka do 100 m2 zajmowanej powierzchni wynosi od 6,04 zł do 2,59 zł za 1 m2 , ponadto od 101 do 500 m2 zajmowanej powierzchni od 2,59 zł do 1,37 zł
oraz ponad 501 m2 zajmowanej powierzchni od 0,86 zł do 0,59 zł za 1m2 +
podatek VAT jw .
2
grunty zajęte pod budownictwo mieszkaniowe–stawka za 1 m ustalona w wys. 1% od wartości gruntu do ustalenia opłat za użytkowanie wieczyste + podatek VAT jw.
Bliższych informacji w sprawie dzierżawy gruntów, wysokości czynszu udziela Wydział Geodezji, Kartografii i Mienia Komunalnego, pokój 40, III piętro.
Z up. Prezydenta Miasta
/-/ mgr inż. Józef Górny
Zastępca Prezydenta
na 1 rok