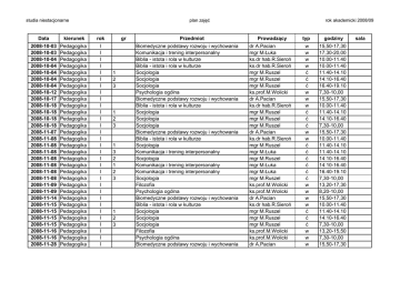
Data kierunek rok gr Przedmiot Prowadzący typ godziny sala 2008

Transkrypt

Data kierunek rok gr Przedmiot Prowadzący typ godziny sala 2008
studia niestacjonarne
plan zajęć
Data
kierunek
rok
2008-10-03
2008-10-03
2008-10-04
2008-10-04
2008-10-04
2008-10-04
2008-10-04
2008-10-12
2008-10-17
2008-10-18
2008-10-18
2008-10-18
2008-10-18
2008-11-07
2008-11-08
2008-11-08
2008-11-08
2008-11-08
2008-11-08
2008-11-08
2008-11-08
2008-11-09
2008-11-09
2008-11-14
2008-11-15
2008-11-15
2008-11-15
2008-11-15
2008-11-16
2008-11-16
2008-11-28
Pedagogika
Pedagogika
Pedagogika
Pedagogika
Pedagogika
Pedagogika
Pedagogika
Pedagogika
Pedagogika
Pedagogika
Pedagogika
Pedagogika
Pedagogika
Pedagogika
Pedagogika
Pedagogika
Pedagogika
Pedagogika
Pedagogika
Pedagogika
Pedagogika
Pedagogika
Pedagogika
Pedagogika
Pedagogika
Pedagogika
Pedagogika
Pedagogika
Pedagogika
Pedagogika
Pedagogika
I
I
I
I
I
I
I
I
I
I
I
I
I
I
I
I
I
I
I
I
I
I
I
I
I
I
I
I
I
I
I
gr
1
2
3
1
2
3
1
3
2
1
2
3
1
2
3
Przedmiot
Biomedyczne podstawy rozwoju i wychowania
Komunikacja i trening interpersonalny
Biblia - istota i rola w kulturze
Biblia - istota i rola w kulturze
Socjologia
Socjologia
Socjologia
Psychologia ogólna
Biomedyczne podstawy rozwoju i wychowania
Biblia - istota i rola w kulturze
Socjologia
Socjologia
Socjologia
Biomedyczne podstawy rozwoju i wychowania
Biblia - istota i rola w kulturze
Socjologia
Komunikacja i trening interpersonalny
Socjologia
Komunikacja i trening interpersonalny
Komunikacja i trening interpersonalny
Socjologia
Filozofia
Psychologia ogólna
Biomedyczne podstawy rozwoju i wychowania
Biblia - istota i rola w kulturze
Socjologia
Socjologia
Socjologia
Filozofia
Psychologia ogólna
Biomedyczne podstawy rozwoju i wychowania
rok akademicki 2008/09
Prowadzący
dr A.Pacian
mgr M.Łuka
ks.dr hab.R.Sieroń
ks.dr hab.R.Sieroń
mgr M.Ruszel
mgr M.Ruszel
mgr M.Ruszel
ks.prof.M.Wolicki
dr A.Pacian
ks.dr hab.R.Sieroń
mgr M.Ruszel
mgr M.Ruszel
mgr M.Ruszel
dr A.Pacian
ks.dr hab.R.Sieroń
mgr M.Ruszel
mgr M.Łuka
mgr M.Ruszel
mgr M.Łuka
mgr M.Łuka
mgr M.Ruszel
ks.prof.M.Wolicki
ks.prof.M.Wolicki
dr A.Pacian
ks.dr hab.R.Sieroń
mgr M.Ruszel
mgr M.Ruszel
mgr M.Ruszel
ks.prof.M.Wolicki
ks.prof.M.Wolicki
dr A.Pacian
typ
godziny
w
w
w
w
ć
ć
ć
w
w
w
ć
ć
ć
w
w
ć
ć
ć
ć
ć
ć
w
w
w
w
ć
ć
ć
w
w
w
15,50-17,30
17,30-20,00
10.00-11.40
10.00-11.40
11.40-14.10
14.10-16.40
16.40-19.10
7,30-10,00
15,50-17,30
10.00-11.40
11.40-14.10
14.10-16.40
7,30-10,00
15,50-17,30
10.00-11.40
11.40-14.10
11.40-14.10
14.10-16.40
14.10-16.40
16.40-19.10
7,30-10,00
13,20-17,30
8,20-10,00
15,50-17,30
10.00-11.40
11.40-14.10
14.10-16.40
7,30-10,00
13,20-15,50
7,30-10,00
15,50-17,30
sala
studia niestacjonarne
plan zajęć
Data
kierunek
rok
2008-11-29
2008-11-29
2008-11-29
2008-11-29
2008-11-30
2008-12-05
2008-12-05
2008-12-06
2008-12-06
2008-12-06
2008-12-06
2008-12-06
2008-12-06
2008-12-06
2008-12-07
2008-12-07
2008-12-07
2008-12-19
2008-12-20
2008-12-20
2008-12-20
2008-12-20
2008-12-20
2008-12-20
2008-12-20
2008-12-21
2008-12-21
2009-01-10
2009-01-10
2009-01-10
2009-01-10
Pedagogika
Pedagogika
Pedagogika
Pedagogika
Pedagogika
Pedagogika
Pedagogika
Pedagogika
Pedagogika
Pedagogika
Pedagogika
Pedagogika
Pedagogika
Pedagogika
Pedagogika
Pedagogika
Pedagogika
Pedagogika
Pedagogika
Pedagogika
Pedagogika
Pedagogika
Pedagogika
Pedagogika
Pedagogika
Pedagogika
Pedagogika
Pedagogika
Pedagogika
Pedagogika
Pedagogika
I
I
I
I
I
I
I
I
I
I
I
I
I
I
I
I
I
I
I
I
I
I
I
I
I
I
I
I
I
I
I
gr
1
2
3
1
3
2
1
2
3
1
3
2
1
2
3
1
2
3
Przedmiot
Biblia - istota i rola w kulturze
Socjologia
Socjologia
Socjologia
Psychologia ogólna
Biomedyczne podstawy rozwoju i wychowania
Komunikacja i trening interpersonalny
Biblia - istota i rola w kulturze
Socjologia
Komunikacja i trening interpersonalny
Socjologia
Komunikacja i trening interpersonalny
Komunikacja i trening interpersonalny
Socjologia
Filozofia
Filozofia
Psychologia ogólna
Biomedyczne podstawy rozwoju i wychowania
Biblia - istota i rola w kulturze
Socjologia
Komunikacja i trening interpersonalny
Socjologia
Komunikacja i trening interpersonalny
Komunikacja i trening interpersonalny
Socjologia
Filozofia
Psychologia ogólna
Biblia - istota i rola w kulturze
Socjologia
Socjologia
Socjologia
rok akademicki 2008/09
Prowadzący
ks.dr hab.R.Sieroń
mgr M.Ruszel
mgr M.Ruszel
mgr M.Ruszel
ks.prof.M.Wolicki
dr A.Pacian
mgr M.Łuka
ks.dr hab.R.Sieroń
mgr M.Ruszel
mgr M.Łuka
mgr M.Ruszel
mgr M.Łuka
mgr M.Łuka
mgr M.Ruszel
ks.prof.M.Wolicki
16,40ks.prof.M.Wolicki
dr A.Pacian
ks.dr hab.R.Sieroń
mgr M.Ruszel
mgr M.Łuka
mgr M.Ruszel
mgr M.Łuka
mgr M.Łuka
mgr M.Ruszel
ks.prof.M.Wolicki
ks.prof.M.Wolicki
ks.dr hab.R.Sieroń
mgr M.Ruszel
mgr M.Ruszel
mgr M.Ruszel
typ
godziny
w
ć
ć
ć
w
w
w
w
ć
ć
ć
ć
ć
ć
w
w
w
w
w
ć
ć
ć
ć
ć
ć
w
w
w
ć
ć
ć
10.00-11.40
11.40-14.10
14.10-16.40
7,30-10,00
7,30-10,00
15,50-17,30
17,30-20,00
10.00-11.40
11.40-14.10
11.40-14.10
14.10-16.40
14.10-16.40
16.40-19.10
7,30-10,00
13,20-15,50
15.50-19.10
7,30-10,00
15,50-17,30
10.00-11.40
11.40-14.10
11.40-14.10
14.10-16.40
14.10-16.40
16.40-19.10
7,30-10,00
13,20-17,30
7,30-10,00
10.00-11.40
11.40-14.10
14.10-16.40
7,30-10,00
sala
studia niestacjonarne
plan zajęć
Data
kierunek
rok
2009-01-11
2009-01-11
2009-01-16
2009-01-16
2009-01-17
2009-01-17
2009-01-17
2009-01-17
2009-01-18
2009-01-23
2009-01-24
2009-01-24
2009-01-24
2009-01-25
2009-01-25
2008-10-26*
2008-10-26*
Pedagogika
Pedagogika
Pedagogika
Pedagogika
Pedagogika
Pedagogika
Pedagogika
Pedagogika
Pedagogika
Pedagogika
Pedagogika
Pedagogika
Pedagogika
Pedagogika
Pedagogika
Pedagogika
Pedagogika
I
I
I
I
I
I
I
I
I
I
I
I
I
I
I
I
I
gr
1
2
3
1
2
3
Przedmiot
Filozofia
Psychologia ogólna
Biomedyczne podstawy rozwoju i wychowania
Komunikacja i trening interpersonalny
Biblia - istota i rola w kulturze
Socjologia
Socjologia
Socjologia
Psychologia ogólna
Biomedyczne podstawy rozwoju i wychowania
Socjologia
Socjologia
Socjologia
Filozofia
Psychologia ogólna
Filozofia
Psychologia ogólna
rok akademicki 2008/09
Prowadzący
ks.prof.M.Wolicki
ks.prof.M.Wolicki
dr A.Pacian
mgr M.Łuka
ks.dr hab.R.Sieroń
mgr M.Ruszel
mgr M.Ruszel
mgr M.Ruszel
ks.prof.M.Wolicki
dr A.Pacian
mgr M.Ruszel
mgr M.Ruszel
mgr M.Ruszel
ks.prof.M.Wolicki
ks.prof.M.Wolicki
ks.prof.M.Wolicki
ks.prof.M.Wolicki
typ
godziny
w
w
w
w
w
ć
ć
ć
w
w
ć
ć
ć
w
w
w
w
13,20-17,30
7,30-10,00
15,50-17,30
17,30-20,00
10.00-11.40
11.40-14.10
14.10-16.40
7,30-10,00
7,30-10,00
15,50-17,30
11.40-14.10
14.10-16.40
7,30-10,00
13,20-17,30
7,30-10,00
13,20-16,40
8,20-11,40
sala