TURBO Pascal - zadania ( ) { }i

Transkrypt

TURBO Pascal - zadania ( ) { }i
Zadania z TURBO Pascal
Tomasz Sitek
Strona 1 z 2
TURBO Pascal - zadania
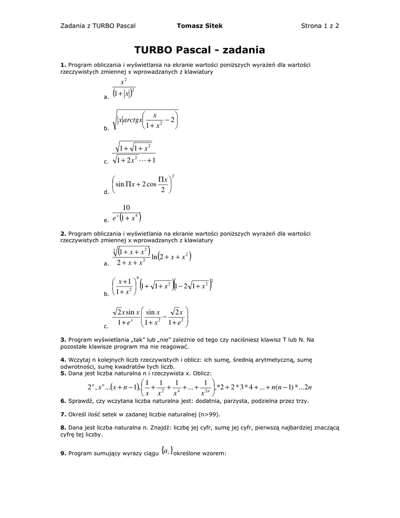
1. Program obliczania i wyświetlania na ekranie wartości poniższych wyrażeń dla wartości
rzeczywistych zmiennej x wprowadzanych z klawiatury
x2
(1 + x )
2
a.
 x

x arctgx
− 2
2
1
+
x


b.
1 + 1 + x2
1 + 2x 2 L + 1
c.
d.
Πx 

 sin Π x + 2 cos

2 

e.
10
e 1 + x4
x
(
2
)
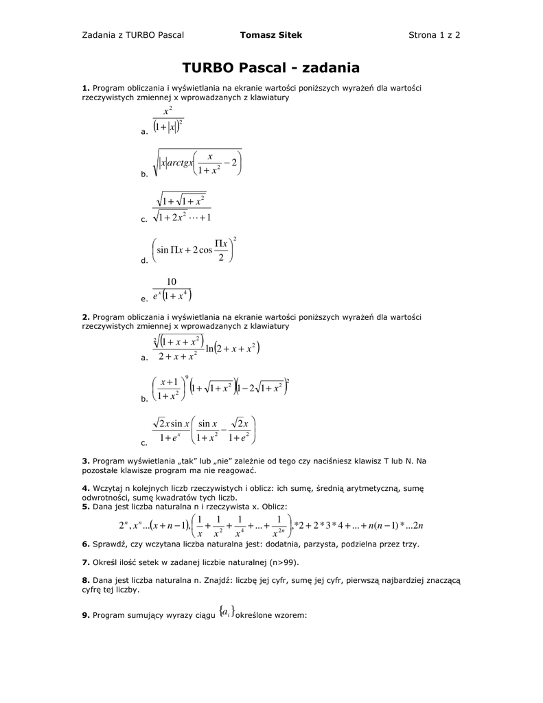
2. Program obliczania i wyświetlania na ekranie wartości poniższych wyrażeń dla wartości
rzeczywistych zmiennej x wprowadzanych z klawiatury
2
(1 + x + x ) ln(2 + x + x )
2+ x+ x
2
2
a.
2
9
b.
c.
 x +1 
1 + 1 + x2 1 − 2 1 + x2

2 
1+ x 
(
)(
)
2
2 x sin x  sin x
2x 


−
x
2
1 + e  1 + x 1 + e 2 
3. Program wyświetlania „tak” lub „nie” zależnie od tego czy naciśniesz klawisz T lub N. Na
pozostałe klawisze program ma nie reagować.
4. Wczytaj n kolejnych liczb rzeczywistych i oblicz: ich sumę, średnią arytmetyczną, sumę
odwrotności, sumę kwadratów tych liczb.
5. Dana jest liczba naturalna n i rzeczywista x. Oblicz:
1
1 
1 1
2 n , x n ...( x + n − 1),  + 2 + 4 + ... + 2 n ,*2 + 2 * 3 * 4 + ... + n(n − 1) * ...2n
x
x 
x x
6. Sprawdź, czy wczytana liczba naturalna jest: dodatnia, parzysta, podzielna przez trzy.
7. Określ ilość setek w zadanej liczbie naturalnej (n>99).
8. Dana jest liczba naturalna n. Znajdź: liczbę jej cyfr, sumę jej cyfr, pierwszą najbardziej znaczącą
cyfrę tej liczby.
9. Program sumujący wyrazy ciągu
{ai }określone wzorem:
Zadania z TURBO Pascal
Strona 2 z 2
Tomasz Sitek
an =
n +1
1 + 2n + n 2
(
)
n=1, 2, ...
{ }
10. Dany jest ciąg liczb rzeczywistych a n . Program, który wyznacza wartość maksymalną tego
ciągu, sumę elementów parzystych tego ciągu (tj. dla i=2, 4, 6,...) oraz ilość elementów dodatnich
tego ciągu. Program w procedurach ma mieć możliwości wczytania ciągu z dowolnego zbioru
dyskowego, wyznaczania wartości maksymalnej, sumy elementów parzystych, obliczania ilości
elementów dodatnich w ciągu, zakończenia pracy, wyboru odpowiedniego polecenia menu.
3x 5
sin x
y=
11. Program wyznaczający funkcji
o 0,1.
dla wartości x z przedziału (1-5), gdzie x zmienia się
12. Program wyświetlający wartość sumy k początkowych wyrazów danego ciągu
(n=1,2,...), k- dana liczba całkowita wczytywana z klawiatury.
an =
{a n }
(n + 4)2
2
2n 5 + (n + 4 )
13. Dana jest macierz A n- tego stopnia oraz n- wymiarowy wektor b. Program wyznacza iloczyn
macierzy przez wektor:
n
z1 = ∑ a y * b j
Z= A * b
j =1
S=
14. Program, który dla danego ciągu
xi
także wartość maksymalną MA=max
xi .
15. Dane są dwa ciągi liczbowe
i=1, 2, .., n
i=1, 2, ..., k wyznacza wartość średnią:
1 k
∑ xi
k i =1
ai , bi , i= 1, 2, .., m. Program wyznacza iloczyn skalarny:
n
z1 = ∑ a y * b j
j =1
i odległości między wektorami.
16. Program, który dla danego ciągu liczbowego
S=
1 k
∑ xi
k i =1
z1 =
xi , i =1, 2, ..., k wyznacza:
xi
S
oraz ciąg znormalizowany
, gdzie S- średnia wartość, i=1, 2 ......, k
Program zawiera możliwość wyboru wariantów pracy.
X
ij (i=1, 2, ..., n; j=1, 2, ..., n). Napisać program, który wyznacza:
17. Dana jest macierz
a) wartości maksymalne kolumn macierzy: c[j]=max x [i, j] j=1, 2, ..., n
n
S = ∑ x[i, i ]
b) ślad macierzy
i =1
,a