Nr. Nazwisko i imię Szkoła Nazwisko i imię

Transkrypt

Nr. Nazwisko i imię Szkoła Nazwisko i imię
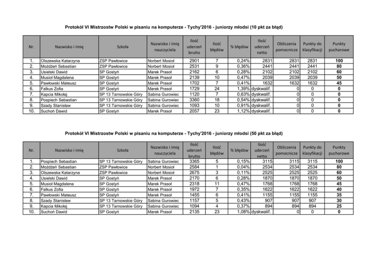
Protokół VI Mistrzostw Polski w pisaniu na komputerze - Tychy'2016 - juniorzy młodsi (10 pkt za błąd)
Nr.
1.
2.
3.
4.
5.
6.
7.
8.
9.
10.
Nazwisko i imię
Olszewska Katarzyna
Możdżeń Sebastian
Usielski Dawid
Musioł Magdalena
Pawłowski Mateusz
Falkus Zofia
Kapcia Mikołaj
Pospiech Sebastian
Szady Stanisław
Suchoń Dawid
Szkoła
ZSP Pawłowice
ZSP Pawłowice
SP Gostyń
SP Gostyń
SP Gostyń
SP Gostyń
SP 13 Tarnowskie Góry
SP 13 Tarnowskie Góry
SP 13 Tarnowskie Góry
SP Gostyń
Nazwisko i imię
nauczyciela
Norbert Mosioł
Norbert Mosioł
Marek Prasoł
Marek Prasoł
Marek Prasoł
Marek Prasoł
Sabina Gurowiec
Sabina Gurowiec
Sabina Gurowiec
Marek Prasoł
Ilość
uderzeń
brutto
Ilość
błędów
2901
2531
2162
2139
1702
1729
1120
3360
1093
2057
7
9
6
10
7
24
7
18
10
23
% błędów
0,24%
0,36%
0,28%
0,47%
0,41%
1,39%
0,63%
0,54%
0,91%
1,12%
Ilość
uderzeń
netto
Obliczenia
pomocnicze
2831
2441
2102
2039
1632
dyskwalif.
dyskwalif.
dyskwalif.
dyskwalif.
dyskwalif.
2831
2441
2102
2039
1632
0
0
0
0
0
Punkty do
klasyfikacji
Punkty
pucharowe
2831
2441
2102
2039
1632
0
0
0
0
0
100
80
60
50
45
0
0
0
0
0
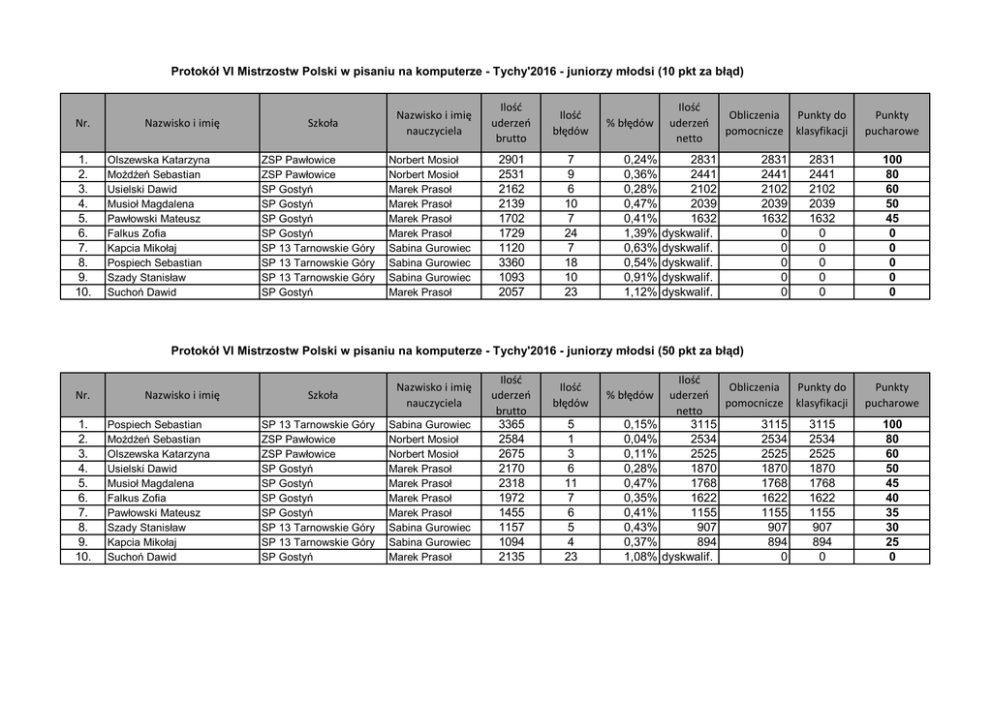
Protokół VI Mistrzostw Polski w pisaniu na komputerze - Tychy'2016 - juniorzy młodsi (50 pkt za błąd)
Nr.
1.
2.
3.
4.
5.
6.
7.
8.
9.
10.
Nazwisko i imię
Pospiech Sebastian
Możdżeń Sebastian
Olszewska Katarzyna
Usielski Dawid
Musioł Magdalena
Falkus Zofia
Pawłowski Mateusz
Szady Stanisław
Kapcia Mikołaj
Suchoń Dawid
Szkoła
SP 13 Tarnowskie Góry
ZSP Pawłowice
ZSP Pawłowice
SP Gostyń
SP Gostyń
SP Gostyń
SP Gostyń
SP 13 Tarnowskie Góry
SP 13 Tarnowskie Góry
SP Gostyń
Nazwisko i imię
nauczyciela
Sabina Gurowiec
Norbert Mosioł
Norbert Mosioł
Marek Prasoł
Marek Prasoł
Marek Prasoł
Marek Prasoł
Sabina Gurowiec
Sabina Gurowiec
Marek Prasoł
Ilość
uderzeń
brutto
3365
2584
2675
2170
2318
1972
1455
1157
1094
2135
Ilość
błędów
5
1
3
6
11
7
6
5
4
23
% błędów
0,15%
0,04%
0,11%
0,28%
0,47%
0,35%
0,41%
0,43%
0,37%
1,08%
Ilość
Obliczenia
Punkty do
uderzeń
pomocnicze klasyfikacji
netto
3115
3115
3115
2534
2534
2534
2525
2525
2525
1870
1870
1870
1768
1768
1768
1622
1622
1622
1155
1155
1155
907
907
907
894
894
894
dyskwalif.
0
0
Punkty
pucharowe
100
80
60
50
45
40
35
30
25
0
Protokół VI Mistrzostw Polski w pisaniu na komputerze - Tychy'2016 - juniorzy młodsi (minutka)
Nr.
Nazwisko i imię
Szkoła
Nazwisko i imię
nauczyciela
Ilość
uderzeń
brutto
345
Punkty do
klasyfikacji
Punkty
pucharowe
345
100
80
60
1.
Pospiech Sebastian
SP 13 Tarnowskie Góry
Sabina Gurowiec
2.
Olszewska Katarzyna
ZSP Pawłowice
Norbert Mosioł
344
344
3.
4.
5.
6.
7.
8.
9.
10.
Możdżeń Sebastian
Usielski Dawid
Musioł Magdalena
Falkus Zofia
Pawłowski Mateusz
Suchoń Dawid
Kapcia Mikołaj
Szady Stanisław
ZSP Pawłowice
SP Gostyń
SP Gostyń
SP Gostyń
SP Gostyń
SP Gostyń
SP 13 Tarnowskie Góry
SP 13 Tarnowskie Góry
Norbert Mosioł
Marek Prasoł
Marek Prasoł
Marek Prasoł
Marek Prasoł
Marek Prasoł
Sabina Gurowiec
Sabina Gurowiec
277
262
242
210
204
165
142
140
277
262
242
210
204
165
142
140
50
45
40
35
30
25
20
Protokół VI Mistrzostw Polski w pisaniu na komputerze - Tychy'2016 - juniorzy młodsi (klasyfikacja generalna)
Nr.
1.
2.
3.
4.
5.
6.
7.
8.
9.
10.
Nazwisko i imię ucznia
Olszewska Katarzyna
Możdżeń Sebastian
Pospiech Sebastian
Usielski Dawid
Musioł Magdalena
Pawłowski Mateusz
Falkus Zofia
Kapcia Mikołaj
Szady Stanisław
Suchoń Dawid
Szkoła
Imię i nazwisko
nauczyciela
10 pkt
50 pkt
Minutka
Razem
Miejsce
I
II
III
ZSP Pawłowice
Norbert Mosioł
100
60
80
240
ZSP Pawłowice
Norbert Mosioł
80
80
60
220
SP 13 Tarnowskie Góry
SP Gostyń
SP Gostyń
SP Gostyń
SP Gostyń
SP 13 Tarnowskie Góry
SP 13 Tarnowskie Góry
SP Gostyń
Sabina Gurowiec
Marek Prasoł
Marek Prasoł
Marek Prasoł
Marek Prasoł
Sabina Gurowiec
Sabina Gurowiec
Marek Prasoł
0
60
50
45
0
0
0
0
100
50
45
35
40
25
30
0
100
50
45
35
40
25
20
30
200
160
140
115
80
50
50
30
IV
V
VI
VII
VIII
VIII
IX