Dział Księgowości i Rozliczeń - Kadry dla gospodarki

Transkrypt

Dział Księgowości i Rozliczeń - Kadry dla gospodarki
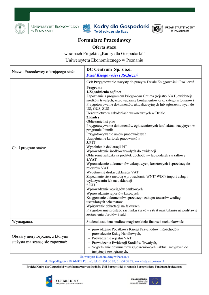
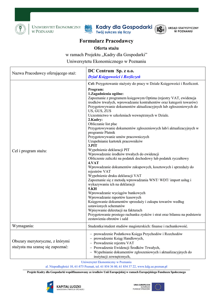
Formularz Pracodawcy
Oferta stażu
w ramach Projektu „Kadry dla Gospodarki”
Uniwersytetu Ekonomicznego w Poznaniu
Nazwa Pracodawcy oferującego staż:
DC Centrum Sp. z o.o.
Dział Księgowości i Rozliczeń
Cel: Przygotowanie stażysty do pracy w Dziale Księgowości i Rozliczeń.
Cel i program stażu:
Program:
1.Zagadnienia ogólne:
Zapoznanie z programem księgowym Optima (rejestry VAT, ewidencja
środków trwałych, wprowadzanie kontrahentów oraz kategorii towarów)
Przygotowywanie dokumentów aktualizacyjnych lub zgłoszeniowych do
US, GUS, ZUS
Uczestnictwo w szkoleniach wewnętrznych w Dziale.
2.Kadry:
Obliczanie list płac
Przygotowywanie dokumentów zgłoszeniowych lub/i aktualizacyjnych w
programie Płatnik
Przygotowywanie umów pracowniczych
Uzupełnianie kartotek pracowników
3.PIT
Wypełnienie deklaracji PIT
Wprowadzenie środków trwałych do ewidencji
Obliczenie zaliczki na podatek dochodowy lub podatek ryczałtowy
4.VAT
Wprowadzanie dokumentów zakupowych, kosztowych i sprzedaży do
rejestrów VAT
Wypełnienie druku deklaracji VAT
Zapoznanie się z metodą wprowadzania WNT/ WDT/ import usług i
wykazywaniu ich na deklaracji
5.KH
Wprowadzanie wyciągów bankowych
Wprowadzanie raportów kasowych
Księgowanie dokumentów sprzedaży i zakupu towarów według
ustawionych schematów
Wpisywanie dekretacji na fakturach
Przygotowanie prostego rachunku zysków i strat oraz bilansu na podstawie
zestawienia obrotów i sald
Studentka/student studiów magisterskich: finanse i rachunkowość.
Wymagania:
Obszary merytoryczne, z którymi
stażysta ma szansę się zapoznać:





prowadzenie Podatkowa Księga Przychodów i Rozchodów
prowadzenie Ksiąg Handlowych,
Prowadzenie rejestru VAT
Prowadzenie Ewidencji Środków Trwałych,
Wypełnianie dokumentów zgłoszeniowych i aktualizacyjnych do
instytucji zewnętrznych,
Uniwersytet Ekonomiczny w Poznaniu
al. Niepodległości 10, 61-875 Poznań, tel. 61 854 36 80, 61 854 37 22, www.kdg.ue.poznan.pl
Projekt Kadry dla Gospodarki współfinansowany ze środków Unii Europejskiej w ramach Europejskiego Funduszu Społecznego




Liczba stażystów, którą Pracodawca
może przyjąć:
Obliczanie list płac,
Prowadzenie Kadr,
Praca z programem Comarch Optima
Praca w zespole
2 (dwie osoby)
Miejsce odbywania stażu (w tym miasto): Poznań
Preferowane terminy staży:
Kwiecień - sierpień 2015 r.
Uniwersytet Ekonomiczny w Poznaniu
al. Niepodległości 10, 61-875 Poznań, tel. 61 854 36 80, 61 854 37 22, www.kdg.ue.poznan.pl
Projekt Kadry dla Gospodarki współfinansowany ze środków Unii Europejskiej w ramach Europejskiego Funduszu Społecznego