Plan wydawniczy_P.93_DW - Uniwersytet Przyrodniczy w Poznaniu

Transkrypt

Plan wydawniczy_P.93_DW - Uniwersytet Przyrodniczy w Poznaniu
KARTA PROCEDURY
P.93_DW
Procedura: P.93
Zakres przedmiotowy: plan wydawniczy
Formularz: druk zgłoszenia do planu,
Uczestnicy procesu:
1. pracownicy: jednostki organizacyjne, Dział Wydawnictw (DW),
2. komisje/rady: Komitet Redakcyjny (przewodniczący i członkowie-redaktorzy działu lub serii),
rada wydziału,
Właściciel procesu: Dział Wydawnictw (DW),
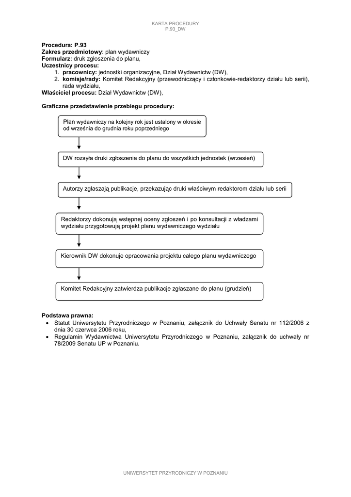
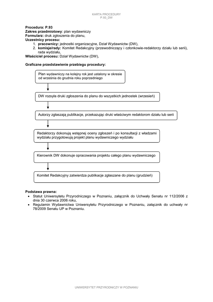
Graficzne przedstawienie przebiegu procedury:
Plan wydawniczy na kolejny rok jest ustalony w okresie
od września do grudnia roku poprzedniego
DW rozsyła druki zgłoszenia do planu do wszystkich jednostek (wrzesień)
Autorzy zgłaszają publikacje, przekazując druki właściwym redaktorom działu lub serii
Redaktorzy dokonują wstępnej oceny zgłoszeń i po konsultacji z władzami
wydziału przygotowują projekt planu wydawniczego wydziału
Kierownik DW dokonuje opracowania projektu całego planu wydawniczego
Komitet Redakcyjny zatwierdza publikacje zgłaszane do planu (grudzień)
Podstawa prawna:
• Statut Uniwersytetu Przyrodniczego w Poznaniu, załącznik do Uchwały Senatu nr 112/2006 z
dnia 30 czerwca 2006 roku,
• Regulamin Wydawnictwa Uniwersytetu Przyrodniczego w Poznaniu, załącznik do uchwały nr
78/2009 Senatu UP w Poznaniu.
UNIWERSYTET PRZYRODNICZY W POZNANIU