(za\263.3-formularz cenowy oferty.xls)

Transkrypt

(za\263.3-formularz cenowy oferty.xls)
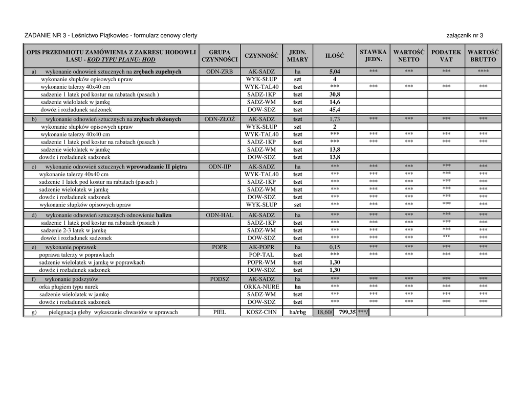
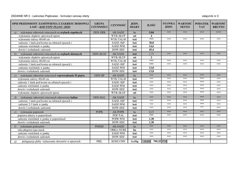
ZADANIE NR 3 - Leśnictwo Piątkowiec - formularz cenowy oferty
załącznik nr 3
STAWKA
JEDN.
WARTOŚĆ
NETTO
PODATEK
VAT
WARTOŚĆ
BRUTTO
5,04
4
***
30,8
14,6
45,4
***
***
***
****
***
***
***
***
tszt
szt
tszt
tszt
tszt
tszt
1,73
2
***
***
13,8
13,8
***
***
***
***
***
***
***
***
***
***
***
***
AK-SADZ
WYK-TAL40
SADZ-1KP
SADZ-WM
DOW-SDZ
WYK-SŁUP
ha
tszt
tszt
tszt
tszt
szt
***
***
***
***
***
***
***
***
***
***
***
***
***
***
***
***
***
***
***
***
***
***
***
***
***
***
***
***
***
***
ODN-HAL
AK-SADZ
SADZ-1KP
SADZ-WM
DOW-SDZ
ha
tszt
tszt
tszt
***
***
***
***
***
***
***
***
***
***
***
***
***
***
***
***
***
***
***
***
POPR
AK-POPR
POP-TAL
POPR-WM
DOW-SDZ
ha
tszt
tszt
tszt
0,15
***
1,30
1,30
***
***
***
***
***
***
***
***
PODSZ
AK-SADZ
ORKA-NURE
SADZ-WM
DOW-SDZ
ha
ha
tszt
tszt
***
***
***
***
***
***
***
***
***
***
***
***
***
***
***
***
***
***
***
***
PIEL
KOSZ-CHN
ha/rbg
OPIS PRZEDMIOTU ZAMÓWIENIA Z ZAKRESU HODOWLI
GRUPA
LASU - KOD TYPU PLANU: HOD
CZYNNOŚCI
a)
b)
JEDN.
MIARY
ILOŚĆ
AK-SADZ
WYK-SŁUP
WYK-TAL40
SADZ-1KP
SADZ-WM
DOW-SDZ
ha
szt
tszt
tszt
tszt
tszt
AK-SADZ
WYK-SŁUP
WYK-TAL40
SADZ-1KP
SADZ-WM
DOW-SDZ
ODN-IIP
wykonanie odnowień sztucznych na zrębach zupełnych
wykonanie słupków opisowych upraw
wykonanie talerzy 40x40 cm
sadzenie 1 latek pod kostur na rabatach (pasach )
sadzenie wielolatek w jamkę
dowóz i rozładunek sadzonek
ODN-ZRB
wykonanie odnowień sztucznych na zrębach złożonych
wykonanie słupków opisowych upraw
wykonanie talerzy 40x40 cm
sadzenie 1 latek pod kostur na rabatach (pasach )
sadzenie wielolatek w jamkę
dowóz i rozładunek sadzonek
ODN-ZŁOŻ
c)
wykonanie odnowień sztucznych wprowadzanie II piętra
wykonanie talerzy 40x40 cm
sadzenie 1 latek pod kostur na rabatach (pasach )
sadzenie wielolatek w jamkę
dowóz i rozładunek sadzonek
wykonanie słupków opisowych upraw
d)
wykonanie odnowień sztucznych odnowienie halizn
sadzenie 1 latek pod kostur na rabatach (pasach )
sadzenie 2-3 latek w jamkę
dowóz i rozładunek sadzonek
e)
wykonanie poprawek
poprawa talerzy w poprawkach
sadzenie wielolatek w jamkę w poprawkach
dowóz i rozładunek sadzonek
f)
wykonanie podszytów
orka pługiem typu nurek
sadzenie wielolatek w jamkę
dowóz i rozładunek sadzonek
g)
CZYNNOŚĆ
pielęgnacja gleby wykaszanie chwastów w uprawach
18,60/
799,35 ***/
OPIS PRZEDMIOTU ZAMÓWIENIA Z ZAKRESU
POZYSKANIA I ZRYWKI - KOD TYPU PLANU: POZ
Pozyskanie drewna
Zrywka drewna
Utrzymanie linii oddziałowych
GRUPA
CZYNNOŚCI
CZYNNOŚĆ
JEDN.
MIARY
ILOŚĆ
CWDPN
ZM
UT-L.ODDZ
***
***
***
rbg
m3
rbg
5707,46
3889,7
116
CZYNNOŚĆ
JEDN.
MIARY
ILOŚĆ
SZUK-OWAD
ODN-PASYS
REM-ROGAT
prób
KMTR
SZT
17
3
10
OPIS PRZEDMIOTU ZAMÓWIENIA Z ZAKRESU OCHRONY
GRUPA
LASU - KOD TYPU PLANU: OCHRL, OCHRP
CZYNNOŚCI
Wykonanie jesiennych poszukiwań szkodnikow so.
mineralizacja pasow p-poż
remont rogatek leśnych
O-PROGNŚ
P-PASYS
O-POZ
STAWKA
JEDN.
WARTOŚĆ
NETTO
PODATEK
VAT
WARTOŚĆ
BRUTTO
STAWKA
JEDN.
WARTOŚĆ
NETTO
PODATEK
VAT
WARTOŚĆ
BRUTTO
Ogółem wartość zadania netto ………………………..zł, podatek VAT ……………….. zł, wartość brutto ………………………. zł
Słownie wartość netto: ……………………………………..……………………………………………………………..
Miejscowość dnia:……………………………………..
Podpis…………………………………..