Pobierz - Kamsoft

Transkrypt

Pobierz - Kamsoft
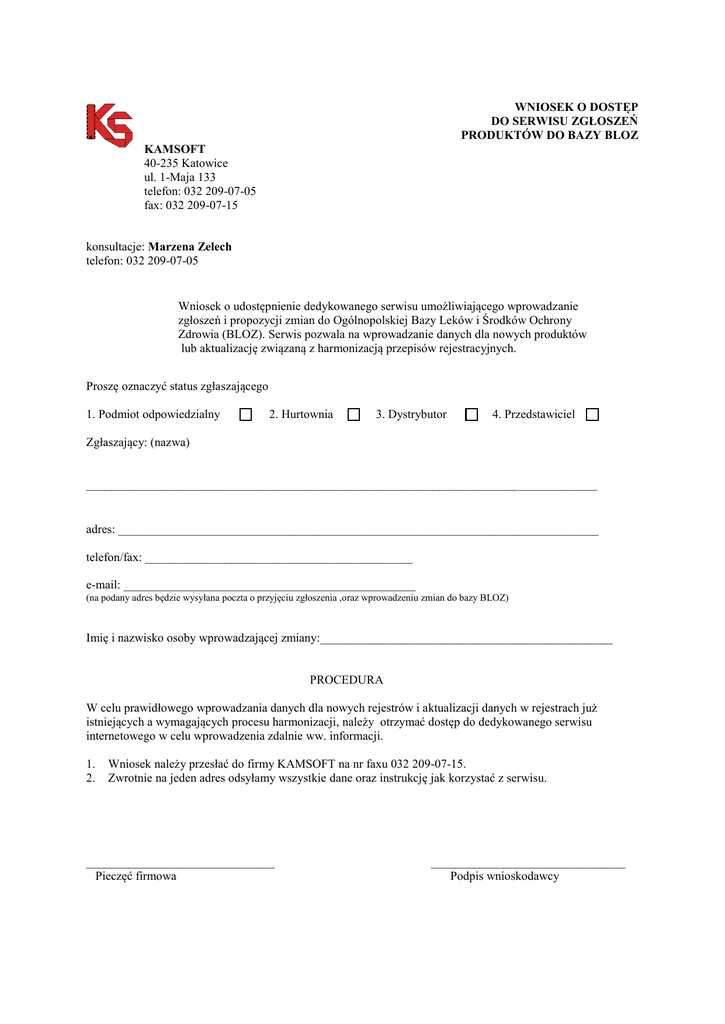
WNIOSEK O DOSTĘP
DO SERWISU ZGŁOSZEŃ
PRODUKTÓW DO BAZY BLOZ
KAMSOFT
40-235 Katowice
ul. 1-Maja 133
telefon: 032 209-07-05
fax: 032 209-07-15
konsultacje: Marzena Zelech
telefon: 032 209-07-05
Wniosek o udostępnienie dedykowanego serwisu umożliwiającego wprowadzanie
zgłoszeń i propozycji zmian do Ogólnopolskiej Bazy Leków i Środków Ochrony
Zdrowia (BLOZ). Serwis pozwala na wprowadzanie danych dla nowych produktów
lub aktualizację związaną z harmonizacją przepisów rejestracyjnych.
Proszę oznaczyć status zgłaszającego
1. Podmiot odpowiedzialny
2. Hurtownia
3. Dystrybutor
4. Przedstawiciel
Zgłaszający: (nazwa)
____________________________________________________________________________________
adres: _______________________________________________________________________________
telefon/fax: ____________________________________________
e-mail: ________________________________________________
(na podany adres będzie wysyłana poczta o przyjęciu zgłoszenia ,oraz wprowadzeniu zmian do bazy BLOZ)
Imię i nazwisko osoby wprowadzającej zmiany:________________________________________________
PROCEDURA
W celu prawidłowego wprowadzania danych dla nowych rejestrów i aktualizacji danych w rejestrach już
istniejących a wymagających procesu harmonizacji, należy otrzymać dostęp do dedykowanego serwisu
internetowego w celu wprowadzenia zdalnie ww. informacji.
1.
2.
Wniosek należy przesłać do firmy KAMSOFT na nr faxu 032 209-07-15.
Zwrotnie na jeden adres odsyłamy wszystkie dane oraz instrukcję jak korzystać z serwisu.
_______________________________
Pieczęć firmowa
________________________________
Podpis wnioskodawcy