Strona 1 L.p. I 1 2 - historii sztuki

Transkrypt

Strona 1 L.p. I 1 2 - historii sztuki
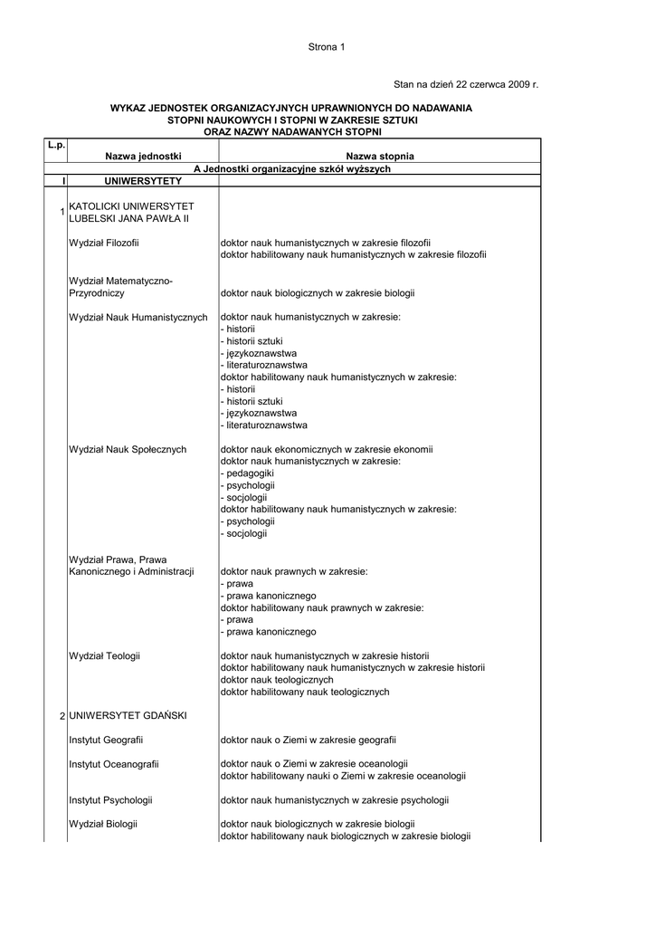
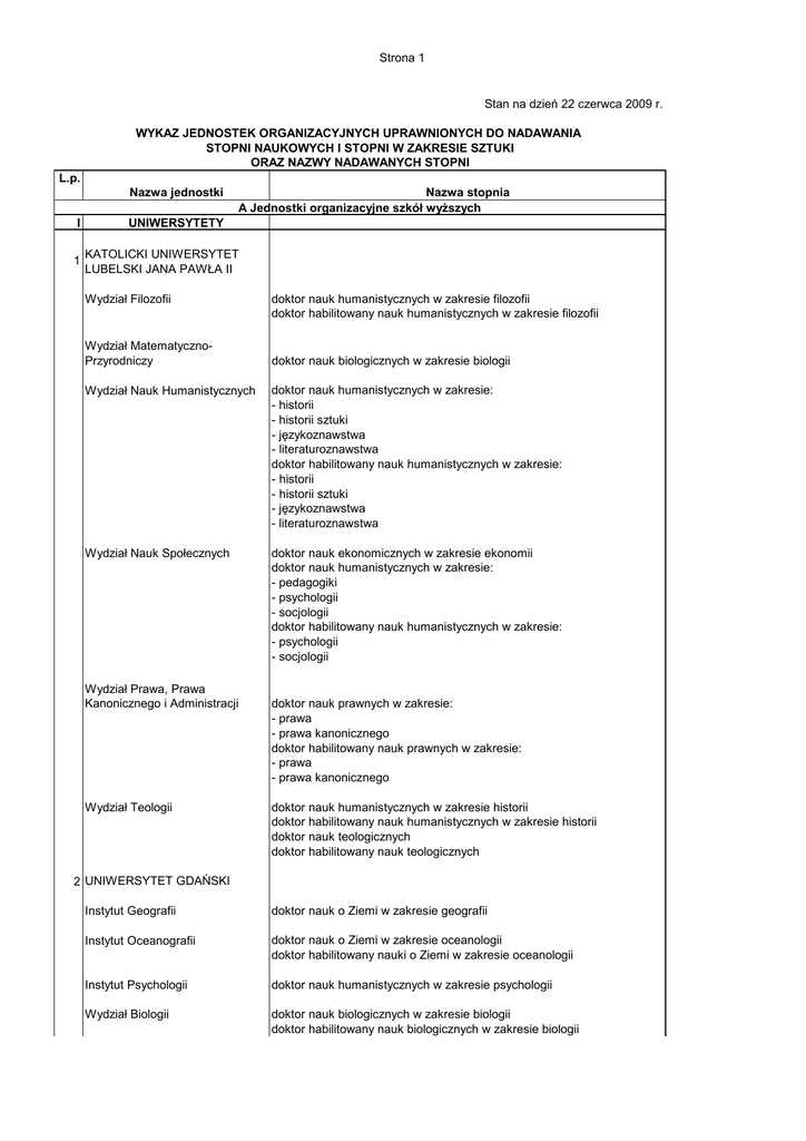
Strona 1
Stan na dzień 22 czerwca 2009 r.
WYKAZ JEDNOSTEK ORGANIZACYJNYCH UPRAWNIONYCH DO NADAWANIA
STOPNI NAUKOWYCH I STOPNI W ZAKRESIE SZTUKI
ORAZ NAZWY NADAWANYCH STOPNI
L.p.
Nazwa jednostki
I
1
Nazwa stopnia
A Jednostki organizacyjne szkół wyższych
UNIWERSYTETY
KATOLICKI UNIWERSYTET
LUBELSKI JANA PAWŁA II
Wydział Filozofii
Wydział MatematycznoPrzyrodniczy
doktor nauk humanistycznych w zakresie filozofii
doktor habilitowany nauk humanistycznych w zakresie filozofii
doktor nauk biologicznych w zakresie biologii
Wydział Nauk Humanistycznych
doktor nauk humanistycznych w zakresie:
- historii
- historii sztuki
- językoznawstwa
- literaturoznawstwa
doktor habilitowany nauk humanistycznych w zakresie:
- historii
- historii sztuki
- językoznawstwa
- literaturoznawstwa
Wydział Nauk Społecznych
doktor nauk ekonomicznych w zakresie ekonomii
doktor nauk humanistycznych w zakresie:
- pedagogiki
- psychologii
- socjologii
doktor habilitowany nauk humanistycznych w zakresie:
- psychologii
- socjologii
Wydział Prawa, Prawa
Kanonicznego i Administracji
Wydział Teologii
doktor nauk prawnych w zakresie:
- prawa
- prawa kanonicznego
doktor habilitowany nauk prawnych w zakresie:
- prawa
- prawa kanonicznego
doktor nauk humanistycznych w zakresie historii
doktor habilitowany nauk humanistycznych w zakresie historii
doktor nauk teologicznych
doktor habilitowany nauk teologicznych
2 UNIWERSYTET GDAŃSKI
Instytut Geografii
doktor nauk o Ziemi w zakresie geografii
Instytut Oceanografii
doktor nauk o Ziemi w zakresie oceanologii
doktor habilitowany nauki o Ziemi w zakresie oceanologii
Instytut Psychologii
doktor nauk humanistycznych w zakresie psychologii
Wydział Biologii
doktor nauk biologicznych w zakresie biologii
doktor habilitowany nauk biologicznych w zakresie biologii
Strona 2
L.p.
Nazwa jednostki
Wydział Chemii
doktor nauk chemicznych w zakresie chemii
doktor habilitowany nauk chemicznych w zakresie chemii
Wydział Ekonomiczny
doktor nauk ekonomicznych w zakresie ekonomii
doktor habilitowany nauk ekonomicznych w zakresie ekonomii
Wydział Filologiczny
doktor nauk humanistycznych w zakresie:
- językoznawstwa
- literaturoznawstwa
doktor habilitowany nauk humanistycznych w zakresie:
- językoznawstwa
- literaturoznawstwa
Wydział Historyczny
doktor nauk humanistycznych w zakresie historii
doktor habilitowany nauk humanistycznych w zakresie historii
Wydział Matematyki, Fizyki
i Informatyki
3
Nazwa stopnia
doktor nauk fizycznych w zakresie fizyki
doktor habilitowany nauk fizycznych w zakresie fizyki
doktor nauk matematycznych w zakresie matematyki
Wydział Nauk Społecznych
doktor nauk humanistycznych w zakresie:
- nauki o polityce
- pedagogiki
doktor habilitowany nauk humanistycznych w zakresie:
- pedagogiki
- psychologii
Wydział Prawa i Administracji
doktor nauk prawnych w zakresie prawa
doktor habilitowany nauk prawnych w zakresie prawa
Wydział Zarządzania
doktor nauk ekonomicznych w zakresie:
- ekonomii
- nauki o zarządzaniu
doktor habilitowany nauk ekonomicznych w zakresie:
- ekonomii
- nauki o zarządzaniu
UNIWERSYTET IM. ADAMA
MICKIEWICZA W POZNANIU
Instytut Filologii Angielskiej
doktor nauk humanistycznych w zakresie:
- językoznawstwa
- literaturoznawstwa
doktor habilitowany nauk humanistycznych w zakresie językoznawstwa
Instytut Filozofii
doktor nauk humanistycznych w zakresie filozofii
doktor habilitowany nauk humanistycznych w zakresie filozofii
Instytut Historii
doktor nauk humanistycznych w zakresie historii
doktor habilitowany nauk humanistycznych w zakresie historii
Instytut Kulturoznawstwa
doktor nauk humanistycznych w zakresie kulturoznawstwa
Instytut Psychologii
doktor nauk humanistycznych w zakresie:
- nauki o poznaniu i komunikacji społecznej
- psychologii
Instytut Socjologii
doktor nauk humanistycznych w zakresie socjologii
Strona 3
L.p.
Nazwa jednostki
Wydział Biologii
Nazwa stopnia
doktor nauk biologicznych w zakresie :
- biologii
- ekologii
doktor habilitowany nauk biologicznych w zakresie:
- biologii
- ekologii
Wydział Chemii
doktor nauk chemicznych w zakresie chemii
doktor habilitowany nauk chemicznych w zakresie chemii
Wydział Filologii Polskiej
i Klasycznej
doktor nauk humanistycznych w zakresie:
- językoznawstwa
- literaturoznawstwa
doktor habilitowany nauk humanistycznych w zakresie:
- językoznawstwa
- literaturoznawstwa
Wydział Fizyki
doktor nauk fizycznych w zakresie:
- astronomii
- biofizyki
- fizyki
doktor habilitowany nauk fizycznych w zakresie fizyki
Wydział Historyczny
doktor nauk humanistycznych w zakresie:
- archeologii
- etnologii
- historii
- historii sztuki
doktor habilitowany nauk humanistycznych w zakresie:
- archeologii
- etnologii
- historii
- historii sztuki
Wydział Matematyki
i Informatyki
Wydział Nauk Geograficznych
i Geologicznych
Wydział Nauk Politycznych
i Dziennikarstwa
doktor nauk matematycznych w zakresie:
- informatyki
- matematyki
doktor habilitowany nauk matematycznych w zakresie:
- informatyki
- matematyki
doktor nauk o Ziemi w zakresie:
- geografii
- geologii
doktor habilitowany nauk o Ziemi w zakresie:
- geografii
- geologii
doktor nauk humanistycznych w zakresie nauki o polityce
doktor habilitowany nauk humanistycznych w zakresie nauki o polityce
Wydział Nauk Społecznych
doktor habilitowany nauk humanistycznych w zakresie:
- nauki o poznaniu i komunikacji społecznej
- psychologii
- socjologii
Wydział Neofilologii
doktor nauk humanistycznych w zakresie:
Strona 4
L.p.
Nazwa jednostki
4
Nazwa stopnia
- językoznawstwa
- literaturoznawstwa
doktor habilitowany nauk humanistycznych w zakresie:
- językoznawstwa
- literaturoznawstwa
Wydział Prawa i Administracji
doktor nauk prawnych w zakresie:
- nauki o administracji
- prawa
doktor habilitowany nauk prawnych w zakresie:
- nauki o administracji
- prawa
Wydział Studiów Edukacyjnych
doktor nauk humanistycznych w zakresie pedagogiki
doktor habilitowany nauk humanistycznych w zakresie pedagogiki
Wydział Teologiczny
doktor nauk teologicznych
doktor habilitowany nauk teologicznych
UNIWERSYTET JAGIELLOŃSKI
W KRAKOWIE
Instytut Nauk Politycznych
i Stosunków Międzynarodowych
doktor nauk humanistycznych w zakresie nauki o polityce
Instytut Nauk o Środowisku
doktor nauk biologicznych w zakresie ekologii
Wydział Biochemii, Biofizyki
i Biotechnologii
doktor nauk biologicznych w zakresie:
- biochemii
- biofizyki
- biologii
doktor habilitowany nauk biologicznych w zakresie:
- biochemii
- biofizyki
Wydział Biologii i Nauk o Ziemi
doktor nauk biologicznych w zakresie biologii
doktor habilitowany nauk biologicznych w zakresie biologii
doktor nauk o Ziemi w zakresie:
- geografii
- geologii
doktor habilitowany nauk o Ziemi w zakresie:
- geografii
- geologii
Wydział Chemii
doktor nauk chemicznych w zakresie chemii
doktor habilitowany nauk chemicznych w zakresie chemii
Wydział Farmaceutyczny
doktor nauk farmaceutycznych
doktor habilitowany nauk farmaceutycznych
Wydział Filologiczny
doktor nauk humanistycznych w zakresie:
- językoznawstwa
- literaturoznawstwa
doktor habilitowany nauk humanistycznych w zakresie:
- językoznawstwa
- literaturoznawstwa
Wydział Filozoficzny
doktor nauk humanistycznych w zakresie:
- filozofii
- pedagogiki
Strona 5
L.p.
Nazwa jednostki
Wydział Fizyki, Astronomii
i Informatyki Stosowanej
Nazwa stopnia
- psychologii
- socjologii
- religioznawstwa
doktor habilitowany nauk humanistycznych w zakresie:
- filozofii
- pedagogiki
- psychologii
- socjologii
- religioznawstwa
doktor nauk fizycznych w zakresie:
- astronomii
- biofizyki
- fizyki
doktor habilitowany nauk fizycznych w zakresie :
- astronomii
- fizyki
Wydział Historyczny
doktor nauk humanistycznych w zakresie:
- archeologii
- etnologii
- historii
- historii sztuki
- nauki o sztuce
doktor habilitowany nauk humanistycznych w zakresie:
- archeologii
- historii
- historii sztuki
- nauki o sztuce
Wydział Lekarski
doktor nauk medycznych w zakresie:
- biologii medycznej
- medycyny
- stomatologii
doktor habilitowany nauk medycznych w zakresie:
- biologii medycznej
- medycyny
- stomatologii
Wydział Matematyki i Informatyki
doktor nauk matematycznych w zakresie:
- informatyki
- matematyki
doktor habilitowany nauk matematycznych w zakresie:
- informatyki
- matematyki
Wydział Nauk o Zdrowiu
doktor nauk medycznych w zakresie:
- biologii medycznej
- medycyny
Wydział Polonistyki
doktora nauk humanistycznych w zakresie:
- językoznawstwa
- literaturoznawstwa
doktora habilitowanego nauk humanistycznych w zakresie:
- językoznawstwa
- literaturoznawstwa
Wydział Prawa i Administracji
doktor nauk prawnych w zakresie prawa
doktor habilitowany nauk prawnych w zakresie prawa
Strona 6
L.p.
Nazwa jednostki
Wydział Studiów
Międzynarodowych i Politycznych
Wydział Zarządzania
i Komunikacji Społecznej
Nazwa stopnia
doktor habilitowany nauk humanistycznych w zakresie
nauki o polityce
doktor nauk ekonomicznych w zakresie nauki o zarządzaniu
doktor nauk humanistycznych w zakresie:
- bibliologii
- nauki o sztuce
- nauki o zarządzaniu
doktor habilitowany nauk humanistycznych w zakresie:
- nauki o sztuce
- nauki o zarządzaniu
UNIWERSYTET KARDYNAŁA
5 STEFANA WYSZYŃSKIEGO
W WARSZAWIE
Wydział Filozofii Chrześcijańskiej
Wydział MatematycznoPrzyrodniczy
Wydział Nauk Historycznych
i Społecznych
6
doktor nauk humanistycznych w zakresie:
- filozofii
- psychologii
doktor habilitowany nauk humanistycznych w zakresie:
- filozofii
- psychologii
doktor nauk fizycznych w zakresie fizyki
doktor nauk matematycznych w zakresie matematyki
doktor nauk humanistycznych w zakresie:
- historii
- nauki o polityce
- socjologii
doktor habilitowany nauk humanistycznych w zakresie:
- historii
- socjologii
Wydział Nauk Humanistycznych
doktor nauk humanistycznych w zakresie literaturoznawstwa
Wydział Prawa i Administracji
doktor nauk prawnych w zakresie prawa
Wydział Prawa Kanonicznego
doktor nauk prawnych w zakresie prawa kanonicznego
doktor habilitowany nauk prawnych w zakresie prawa kanonicznego
Wydział Teologiczny
doktor nauk teologicznych
doktor habilitowany nauk teologicznych
UNIWERSYTET KAZIMIERZA
WIELKIEGO W BYDGOSZCZY
Instytut Edukacji Muzycznej
doktor sztuk muzycznych w zakresie dyrygentury
Wydział Humanistyczny
doktor nauk humanistycznych w zakresie:
- historii
- językoznawstwa
Strona 7
L.p.
Nazwa jednostki
Wydział Nauk Przyrodniczych
Wydział Pedagogiki i Psychologii
Nazwa stopnia
- literaturoznawstwa
- nauk o polityce
doktor habilitowany nauk humanistycznych w zakresie historii
doktor nauk biologicznych w zakresie biologii
doktor nauk humanistycznych w zakresie:
- pedagogiki
- psychologii
doktor habilitowany nauk humanistycznych w zakresie pedagogiki
7 UNIWERSYTET ŁÓDZKI
Wydział Biologii i Ochrony
Środowiska
Wydział Chemii
Wydział Ekonomiczno Socjologiczny
Wydział Filologiczny
doktor nauk biologicznych w zakresie:
- biochemii
- biofizyki
- biologii
- ekologii
- mikrobiologii
doktor habilitowany nauk biologicznych w zakresie:
- biochemii
- biofizyki
- biologii
- ekologii
doktor nauk chemicznych z zakresie chemii
doktor habilitowany nauk chemicznych w zakresie chemii
doktor nauk ekonomicznych w zakresie ekonomii
doktor habilitowany nauk ekonomicznych w zakresie ekonomii
doktor nauk humanistycznych w zakresie socjologii
doktor habilitowany nauk humanistycznych w zakresie socjologii
doktor nauk humanistycznych w zakresie:
- kulturoznawstwo
- językoznawstwa
- literaturoznawstwa
doktor habilitowany nauk humanistycznych w zakresie:
- językoznawstwa
- literaturoznawstwa
Wydział Filozoficzno - Historyczny doktor nauk humanistycznych w zakresie:
- archeologii
- etnologii
- filozofii
- historii
doktor habilitowany nauk humanistycznych w zakresie:
- archeologii
- filozofii
- historii
Wydział Fizyki i Informatyki
Stosowanej
doktor nauk fizycznych w zakresie fizyki
doktor habilitowany nauk fizycznych w zakresie fizyki
Strona 8
L.p.
Nazwa jednostki
Wydział Matematyki i Informatyki
Nazwa stopnia
doktor nauk matematycznych w zakresie matematyki
doktor habilitowany nauk matematycznych w zakresie matematyki
Wydział Nauk Geograficznych
doktor nauk o Ziemi w zakresie geografii
doktor habilitowany nauk o Ziemi w zakresie geografii
Wydział Nauk o Wychowaniu
doktor nauk humanistycznych w zakresie pedagogiki
Wydział Prawa i Administracji
doktor nauk prawnych w zakresie prawa
doktor habilitowany nauk prawnych w zakresie prawa
Wydział Studiów
Międzynarodowych i
Politologicznych
doktor nauk humanistycznych w zakresie nauki o polityce
Wydział Zarządzania
doktor nauk ekonomicznych w zakresie nauki o zarządzaniu
doktor habilitowany nauk ekonomicznych w zakresie nauki o zarządzaniu
UNIWERSYTET MARII CURIE 8 SKŁODOWSKIEJ
W LUBLINIE
Wydział Artystyczny
doktor sztuk plastycznych w zakresie sztuk pięknych
Wydział Biologii i Nauk o Ziemi
doktor nauk biologicznych w zakresie:
- biologii
- biotechnologii
doktor habilitowany nauk biologicznych w zakresie biologii
doktor nauk o Ziemi w zakresie geografii
doktor habilitowany nauk o Ziemi w zakresie geografii
Wydział Chemii
doktor nauk chemicznych w zakresie chemii
doktor habilitowany nauk chemicznych w zakresie chemii
Wydział Ekonomiczny
doktor nauk ekonomicznych w zakresie ekonomii
doktor habilitowany nauk ekonomicznych w zakresie ekonomii
Wydział Filozofii i Socjologii
doktor nauk humanistycznych w zakresie:
- filozofii
- nauki o poznaniu i komunikacji społecznej
- socjologii
doktor habilitowany nauk humanistycznych w zakresie:
- filozofii
- nauki o poznaniu i komunikacji społecznej
Wydział Humanistyczny
doktor nauk humanistycznych w zakresie:
- historii
- językoznawstwa
- kulturoznawstwo
- literaturoznawstwa
doktor habilitowany nauk humanistycznych w zakresie:
- historii
- językoznawstwa
- literaturoznawstwa
Wydział Matematyki, Fizyki
i Informatyki
doktor nauk fizycznych w zakresie fizyki
doktor habilitowany nauk fizycznych w zakresie fizyki
doktor nauk matematycznych w zakresie matematyki
Strona 9
L.p.
Nazwa jednostki
Wydział Pedagogiki i Psychologii
9
Nazwa stopnia
doktor habilitowany nauk matematycznych w zakresie matematyki
doktor nauk humanistycznych w zakresie:
- pedagogiki
- psychologii
doktor habilitowany nauk humanistycznych w zakresie pedagogiki
Wydział Politologii
doktor nauk humanistycznych w zakresie nauki o polityce
doktor habilitowany nauk humanistycznych w zakresie nauki o polityce
Wydział Prawa i Administracji
doktor nauk prawnych w zakresie prawa
doktor habilitowany nauk prawnych w zakresie prawa
UNIWERSYTET MIKOŁAJA
KOPERNIKA W TORUNIU
Instytut Fizyki
Instytut Zabytkoznawstwa
i Konserwatorstwa
doktor nauk fizycznych w zakresie fizyki
doktor habilitowany nauk fizycznych w zakresie fizyki
doktor nauk humanistycznych w zakresie nauki o sztuce
Wydział Biologii i Nauk o Ziemi
doktor nauk biologicznych w zakresie biologii
doktor habilitowany nauk biologicznych w zakresie biologii
doktor nauk o Ziemi w zakresie geografii
doktor habilitowany nauk o Ziemi w zakresie geografii
Wydział Chemii
doktor nauk chemicznych w zakresie chemii
doktor habilitowany nauk chemicznych w zakresie chemii
Wydział Filologiczny
doktor nauk humanistycznych w zakresie:
- językoznawstwa
- literaturoznawstwa
doktor habilitowany nauk humanistycznych w zakresie:
- językoznawstwa
- literaturoznawstwa
Wydział Fizyki, Astronomii
i Informatyki Stosowanej
doktor nauk fizycznych w zakresie astronomii
doktor habilitowany nauk fizycznych w zakresie astronomii
Wydział Humanistyczny
doktor nauk humanistycznych w zakresie:
- filozofii
- nauki o polityce
- socjologii
doktor habilitowany nauk humanistycznych w zakresie:
- filozofii
- socjologii
Wydział Lekarski
doktor nauk medycznych w zakresie:
- biologii medycznej
- medycyny
doktor habilitowany nauk medycznych w zakresie:
- biologii medycznej
- medycyny
Wydział Matematyki i Informatyki
doktor nauk matematycznych w zakresie matematyki
doktor habilitowany nauk matematycznych w zakresie matematyki
Strona 10
L.p.
Nazwa jednostki
Wydział Nauk Ekonomicznych
i Zarządzania
Nazwa stopnia
doktor nauk ekonomicznych w zakresie:
- ekonomii
- nauki o zarządzaniu
doktor habilitowany nauk ekonomicznych w zakresie:
- ekonomi
- nauki o zarządzaniu
Wydział Nauk Historycznych
doktor nauk humanistycznych w zakresie:
- archeologii
- bibliologii
- historii
doktor habilitowany nauk humanistycznych w zakresie:
- archeologii
- historii
Wydział Nauk Pedagogicznych
doktor nauk humanistycznych w zakresie pedagogiki
doktor habilitowany nauk humanistycznych w zakresie pedagogiki
Wydział Nauk o Zdrowiu
doktor nauk medycznych w dyscyplinie medycyna
Wydział Prawa i Administracji
doktor nauk prawnych w zakresie prawa
doktor habilitowany nauk prawnych w zakresie prawa
Wydział Sztuk Pięknych
doktor sztuk plastycznych w zakresie:
- sztuk pięknych
- sztuk projektowych
doktor habilitowany sztuk plastycznych w zakresie:
- sztuk pięknych
- sztuk projektowych
doktor habilitowany nauk humanistycznych w zakresie nauki o sztuce
Wydział Teologiczny
doktor nauk teologicznych
10 UNIWERSYTET OPOLSKI
Wydział Chemii
doktor nauk chemicznych w zakresie chemii
Wydział Ekonomiczny
doktor nauk ekonomicznych w zakresie ekonomii
Wydział Filologiczny
doktor nauk humanistycznych w zakresie:
- językoznawstwa
- kulturoznawstwa
- literaturoznawstwa
doktor habilitowany nauk humanistycznych w zakresie:
- językoznawstwa
- literaturoznawstwa
Wydział Historyczno Pedagogiczny
doktor nauk humanistycznych w zakresie:
- filozofii
- historii
- nauki o polityce
- pedagogiki
doktor habilitowany nauk humanistycznych w zakresie historii
Wydział Matematyki, Fizyki
i Informatyki
doktor nauk fizycznych w zakresie fizyki
Wydział Przyrodniczo Techniczny
doktor nauk biologicznych w zakresie biologii
Strona 11
L.p.
Nazwa jednostki
Wydział Teologiczny
Nazwa stopnia
doktor nauk teologicznych
doktor habilitowany nauk teologicznych
11 UNIWERSYTET RZESZOWSKI
Wydział Biologiczno - Rolniczy
doktor nauk biologicznych w zakresie biologii
doktor nauk rolniczych w zakresie agronomii
Wydział Filologiczny
doktor nauk humanistycznych w zakresie:
- językoznawstwa
- literaturoznawstwa
Wydział MatematycznoPrzyrodniczy
Wydział Socjologiczno Historyczny
doktor nauk fizycznych w zakresie fizyki
doktor nauk humanistycznych w zakresie:
- archeologii
- historii
- socjologii
doktor habilitowany nauk humanistycznych w zakresie historii
12 UNIWERSYTET SZCZECIŃSKI
Instytut Fizyki
doktor nauk fizycznych w zakresie fizyki
Wydział Filologiczny
doktor nauk humanistycznych w zakresie:
- językoznawstwa
- literaturoznawstwa
Wydział Humanistyczny
doktor nauk humanistycznych w zakresie:
- filozofii
- historii
- pedagogiki
doktor habilitowany nauk humanistycznych w zakresie historii
Wydział Nauk Ekonomicznych
i Zarządzania
doktor nauk ekonomicznych w zakresie:
- ekonomii
- nauki o zarządzaniu
doktor habilitowany nauk ekonomicznych w zakresie ekonomii
Wydział Nauk o Ziemi
doktor nauk o Ziemi w zakresie geografii
Wydział Nauk Przyrodniczych
doktor nauk biologicznych w zakresie biologii
doktor habilitowany nauk biologicznych w zakresie biologii
Wydział Prawa i Administracji
doktor nauk prawnych w zakresie prawa
doktor habilitowany nauk prawnych w zakresie prawa
Wydział Teologiczny
doktor nauk teologicznych
Wydział Zarządzania i Ekonomiki
Usług
doktor nauk ekonomicznych w zakresie ekonomii
doktor habilitowany nauk ekonomicznych w zakresie ekonomii
13
UNIWERSYTET ŚLĄSKI
W KATOWICACH
Strona 12
L.p.
Nazwa jednostki
Nazwa stopnia
Instytut Fizyki
doktor nauk fizycznych w zakresie fizyki
doktor habilitowany nauk fizycznych w zakresie fizyki
Instytut Matematyki
doktor nauk matematycznych w zakresie matematyki
doktor habilitowany nauk matematycznych w zakresie matematyki
Instytut Sztuki Wydziału
Artystycznego w Cieszynie
Wydział Biologii i Ochrony
Środowiska
Wydział Filologiczny
Wydział Informatyki i Nauki
o Materiałach
Wydział Matematyki, Fizyki
i Chemii
doktor sztuk plastycznych w zakresie sztuk pięknych
doktor habilitowany sztuk plastycznych w zakresie sztuk pięknych
doktor nauk biologicznych w zakresie biologii
doktor habilitowany nauk biologicznych w zakresie biologii
doktor nauk humanistycznych w zakresie:
- bibliologii
- językoznawstwa
- kulturoznawstwa
- literaturoznawstwa
doktor habilitowany nauk humanistycznych w zakresie:
- bibliologii
- językoznawstwa
- literaturoznawstwa
doktor nauk technicznych w zakresie:
- informatyki
- inżynierii materiałowej
doktor habilitowany nauk technicznych w zakresie
inżynierii materiałowej
doktor nauk chemicznych w zakresie chemii
Wydział Nauk o Ziemi
doktor nauk o Ziemi w zakresie:
- geografii
- geologii
doktor habilitowany nauk o Ziemi w zakresie:
- geografii
- geologii
Wydział Nauk Społecznych
doktor nauk humanistycznych w zakresie:
- filozofii
- historii
- nauki o polityce
- socjologii
doktor habilitowany nauk humanistycznych w zakresie:
- filozofii
- historii
- nauki o polityce
- socjologii
Wydział Pedagogiki i Psychologii
doktor nauk humanistycznych w zakresie:
- pedagogiki
- psychologii
doktor habilitowany nauk humanistycznych w zakresie pedagogiki
Wydział Prawa i Administracji
doktor nauk prawnych w zakresie prawa
doktor habilitowany nauk prawnych w zakresie prawa
Strona 13
L.p.
Nazwa jednostki
14
Nazwa stopnia
Wydział Radia i Telewizji
doktor sztuk filmowych
Wydział Teologiczny
doktor nauk teologicznych
doktor habilitowany nauk teologicznych
UNIWERSYTET WARMIŃSKO MAZURSKI W OLSZTYNIE
Wydział Bioinżynierii Zwierząt
doktor nauk rolniczych w zakresie zootechniki
doktor habilitowany nauk rolniczych w zakresie zootechniki
Wydział Biologii
doktor nauk biologicznych w zakresie biologii
doktor habilitowany nauk biologicznych w zakresie biologii
Wydział Geodezji i Gospodarki
Przestrzennej
Wydział Humanistyczny
Wydział Kształtowania
Środowiska i Rolnictwa
doktor nauk technicznych w zakresie geodezji i kartografii
doktor habilitowany nauk technicznych w zakresie geodezji i kartografii
doktor nauk humanistycznych w zakresie:
- filozofii
- historii
- językoznawstwa
- literaturoznawstwa
doktor habilitowany nauk humanistycznych w zakresie historii
doktor nauk biologicznych w zakresie biologii
doktor nauk rolniczych w zakresie:
- agronomii
- kształtowania środowiska
doktor habilitowany nauk rolniczych w zakresie:
- agronomii
- kształtowania środowiska
Wydział Matematyki i Informatyki doktor nauk matematycznych w zakresie matematyki
Wydział Medycyny
Weterynaryjnej
doktor nauk weterynaryjnych
doktor habilitowany nauk weterynaryjnych
Wydział Nauk Ekonomicznych
doktor nauk ekonomicznych w zakresie ekonomii
Wydział Nauk Społecznych
doktor nauk humanistycznych w zakresie pedagogiki
doktor nauk humanistycznych w zakresie nauki o polityce
doktor habilitowany nauk humanistycznych w zakresie pedagogiki
Wydział Nauk Technicznych
doktor nauk rolniczych w zakresie inżynierii rolniczej
doktor habilitowany nauk rolniczych w zakresie inżynierii rolniczej
doktor nauk technicznych w zakresie budowy i eksploatacji maszyn
Wydział Nauki o Żywności
doktor nauk rolniczych w zakresie technologii żywności i żywienia
doktor habilitowany nauk rolniczych w zakresie technologii żywności i
żywienia
Wydział Ochrony Środowiska
i Rybactwa
doktor nauk rolniczych w zakresie rybactwa
doktor habilitowany nauk rolniczych w zakresie rybactwa
Strona 14
L.p.
Nazwa jednostki
Wydział Prawa i Administracji
Nazwa stopnia
doktor nauk prawnych w zakresie prawa
Wydział Teologii
doktor nauk teologicznych
doktor habilitowany nauk teologicznych
15 UNIWERSYTET WARSZAWSKI
Instytut Anglistyki
Instytut Badań
Interdyscyplinarnych "Artes
Liberales"
doktor nauk humanistycznych w zakresie:
- językoznawstwa
- literaturoznawstwa
doktor nauk humanistycznych w zakresie:
- kulturoznawstwa
- literaturoznawstwa
Instytut Filozofii
doktor nauk humanistycznych w zakresie filozofii
Instytut Historii Prawa
doktor nauk prawnych w zakresie prawa
Instytut Nauk o Państwie i Prawie doktor nauk prawnych w zakresie prawa
Instytut Nauk Prawno Administracyjnych
doktor nauk prawnych w zakresie prawa
Instytut - Obserwatorium
Astronomiczne
doktor nauk fizycznych w zakresie astronomii
Instytut Prawa Cywilnego
doktor nauk prawnych w zakresie prawa
Instytut Prawa Karnego
doktor nauk prawnych w zakresie prawa
Instytut Socjologii
doktor nauk humanistycznych w zakresie socjologii
Instytut Stosowanych Nauk
Społecznych
doktor nauk humanistycznych w zakresie socjologii
doktor habilitowany nauk humanistycznych w zakresie socjologii
Wydział Biologii
doktor nauk biologicznych w zakresie biologii
doktor habilitowany nauk biologicznych w zakresie biologii
Wydział Chemii
doktor nauk chemicznych w zakresie chemii
doktor habilitowany nauk chemicznych w zakresie chemii
Wydział Dziennikarstwa i Nauk
Politycznych
doktor nauk humanistycznych w zakresie nauki o polityce
doktor habilitowany nauk humanistycznych w zakresie nauki o polityce
Wydział Filozofii i Socjologii
doktor nauk humanistycznych w zakresie nauki o poznaniu
i komunikacji społecznej
doktor habilitowany nauk humanistycznych w zakresie:
- filozofii
- nauki o poznaniu i komunikacji społecznej
- socjologii
Wydział Fizyki
doktor nauk fizycznych w zakresie fizyki
doktor habilitowany nauk fizycznych w zakresie:
- astronomii
Strona 15
L.p.
Nazwa jednostki
Nazwa stopnia
- fizyki
Wydział Geografii i Studiów
Regionalnych
doktor nauk o Ziemi w zakresie geografii
doktor habilitowany nauk o Ziemi w zakresie geografii
Wydział Geologii
doktor nauk o Ziemi w zakresie geologii
doktor habilitowany nauk o Ziemi w zakresie geologii
Wydział Historyczny
doktor nauk humanistycznych w zakresie:
- archeologii
- bibliologii
- etnologii
- historii
- historia sztuki
- nauki o sztuce
doktor habilitowany nauk humanistycznych w zakresie:
- archeologii
- bibliologii
- etnologii
- historii
- historia sztuki
- nauki o sztuce
Wydział Lingwistyki Stosowanej
i Filologii Wschodniosłowiańskich doktor nauk humanistycznych w zakresie:
- językoznawstwa
- literaturoznawstwa
doktor habilitowany nauk humanistycznych w zakresie:
- językoznawstwa
- literaturoznawstwa
Wydział Matematyki, Informatyki
i Mechaniki
doktor nauk matematycznych w zakresie:
- informatyki
- matematyki
doktor habilitowany nauk matematycznych w zakresie:
- informatyki
- matematyki
Wydział Nauk Ekonomicznych
doktor nauk ekonomicznych w zakresie ekonomii
doktor habilitowany nauk ekonomicznych w zakresie ekonomii
Wydział Neofilologii
doktor nauk humanistycznych w zakresie:
- językoznawstwa
- literaturoznawstwa
doktor habilitowany nauk humanistycznych w zakresie:
- językoznawstwa
- literaturoznawstwa
Wydział Orientalistyczny
doktor nauk humanistycznych w zakresie:
- językoznawstwa
- literaturoznawstwa
doktor habilitowany nauk humanistycznych w zakresie:
- językoznawstwa
- literaturoznawstwa
Wydział Pedagogiczny
doktor nauk humanistycznych w zakresie pedagogiki
doktor habilitowany nauk humanistycznych w zakresie pedagogiki
Strona 16
L.p.
Nazwa jednostki
Wydział Polonistyki
Nazwa stopnia
doktor nauk humanistycznych w zakresie:
- językoznawstwa
- kulturoznawstwa
- literaturoznawstwa
doktor habilitowany nauk humanistycznych w zakresie:
- językoznawstwa
- kulturoznawstwa
- literaturoznawstwa
Wydział Prawa i Administracji
doktor nauk prawnych w zakresie prawa
doktor habilitowany nauk prawnych w zakresie prawa
Wydział Psychologii
doktor nauk humanistycznych w zakresie psychologii
doktor habilitowany nauk humanistycznych w zakresie psychologii
Wydział Zarządzania
doktor nauk ekonomicznych w zakresie nauki o zarządzaniu
doktor habilitowany nauk ekonomicznych w zakresie nauki o zarządzaniu
16
UNIWERSYTET
W BIAŁYMSTOKU
Instytut Biologii
doktor nauk biologicznych w zakresie biologii
Instytut Historii
doktor nauk humanistycznych w zakresie historii
Wydział Biologiczno - Chemiczny doktor nauk chemicznych w zakresie chemii
Wydział Ekonomii i Zarządzania
doktor nauk ekonomicznych w zakresie ekonomii
doktor habilitowany nauk ekonomicznych w zakresie ekonomii
Wydział Filologiczny
doktor nauk humanistycznych w zakresie:
- językoznawstwa
- literaturoznawstwo
Wydział Fizyki
doktor nauk fizycznych w zakresie fizyki
Wydział Historyczno Socjologiczny
doktor nauk humanistycznych w zakresie socjologii
Wydział Pedagogiki i Psychologii
doktor nauk humanistycznych w zakresie pedagogiki
Wydział Prawa
doktor nauk prawnych w zakresie prawa
doktor habilitowany nauk prawnych w zakresie prawa
17 UNIWERSYTET WROCŁAWSKI
Instytut Filologii Germańskiej
doktor nauk humanistycznych w zakresie:
- językoznawstwa
- literaturoznawstwa
doktor habilitowany nauk humanistycznych w zakresie:
- językoznawstwa
- literaturoznawstwa
Instytut Filozofii
doktor nauk humanistycznych w zakresie filozofii
Instytut Fizyki Teoretycznej
doktor nauk fizycznych w zakresie fizyki
doktor habilitowany nauk fizycznych w zakresie fizyki
Strona 17
L.p.
Nazwa jednostki
Instytut Geografii i Rozwoju
Regionalnego
Nazwa stopnia
doktor nauk o Ziemi w zakresie geografii
Instytut Historyczny
doktor nauk humanistycznych w zakresie historii
doktor habilitowany nauk humanistycznych w zakresie historii
Instytut Matematyczny
doktor nauk matematycznych w zakresie matematyki
doktor habilitowany nauk matematycznych w zakresie matematyki
Instytut Nauk Geologicznych
doktor nauk o Ziemi w zakresie geologii
Instytut Politologii
doktor nauk humanistycznych w zakresie nauki o polityce
Wydział Biotechnologii
doktor nauk biologicznych w zakresie :
- biochemii
- biotechnologii
doktor habilitowany nauk biologicznych w zakresie biochemii
Wydział Chemii
doktor nauk chemicznych w zakresie chemii
doktor habilitowany nauk chemicznych w zakresie chemii
Wydział Filologiczny
doktor nauk humanistycznych w zakresie:
- bibliologii
- językoznawstwa
- literaturoznawstwa
doktor habilitowany nauk humanistycznych w zakresie:
- bibliologii
- językoznawstwa
- literaturoznawstwa
Wydział Fizyki i Astronomii
doktor nauk fizycznych w zakresie:
- astronomii
- fizyki
doktor habilitowany nauk fizycznych w zakresie:
- astronomii
- fizyki
Wydział Matematyki i Informatyki doktor nauk matematycznych w zakresie:
- informatyki
- matematyki
doktor habilitowany nauk matematycznych w zakresie:
- informatyki
- matematyki
Wydział Nauk Biologicznych
Wydział Nauk Historycznych
i Pedagogicznych
doktor nauk biologicznych w zakresie biologii
doktor habilitowany nauk biologicznych w zakresie biologii
doktor nauk humanistycznych w zakresie:
- archeologii
- kulturoznawstwa
- nauki o sztuce
- pedagogiki
- psychologii
doktor habilitowany nauk humanistycznych w zakresie:
-archeologii
- nauki o sztuce
- pedagogiki
Strona 18
L.p.
Nazwa jednostki
Wydział Nauk o Ziemi
i Kształtowania Środowiska
Wydział Nauk Społecznych
Wydział Prawa, Administracji
i Ekonomii
18
Nazwa stopnia
doktor habilitowany nauk o Ziemi w zakresie:
- geografii
- geologii
doktor nauk humanistycznych w zakresie socjologii
doktor habilitowany nauk humanistycznych w zakresie:
- filozofii
- nauki o polityce
- socjologii
doktor nauk prawnych w zakresie:
- nauki o administracji
- prawa
doktor habilitowany nauk prawnych w zakresie:
- nauki o administracji
- prawa
UNIWERSYTET
ZIELONOGÓRSKI
`
Instytut Filozofii
doktor nauk humanistycznych w zakresie filozofii
Instytut Fizyki
doktor nauk fizycznych w zakresie fizyki
Wydział Elektrotechniki,
Informatyki i Telekomunikacji
doktor nauk technicznych w zakresie:
- elektrotechniki
- informatyki
doktor habilitowany nauk technicznych w zakresie elektrotechniki
Wydział Fizyki i Astronomii
doktor nauk fizycznych w zakresie astronomii
Wydział Humanistyczny
doktor nauk humanistycznych w zakresie historii
doktor habilitowany nauk humanistycznych w zakresie historii
Wydział Inżynierii Lądowej
i Środowiska
Wydział Matematyki, Informatyki
i Ekonometrii
doktor nauk technicznych w zakresie:
- budownictwa
- inżynierii środowiska
doktor nauk matematycznych w zakresie matematyki
doktor habilitowany nauk matematycznych w zakresie matematyki
Wydział Mechaniczny
doktor nauk technicznych w zakresie budowy i eksploatacji maszyn
Wydział Pedagogiki, Socjologii
i Nauk o Zdrowiu
doktor nauk humanistycznych w zakresie pedagogiki
II UCZELNIE TECHNICZNE
AKADEMIA TECHNICZNO 1 HUMANISTYCZNA
W BIELSKU-BIAŁEJ
Wydział Budowy Maszyn
i Informatyki
doktor nauk technicznych w zakresie budowy i eksploatacji maszyn
Strona 19
L.p.
Nazwa jednostki
Wydział Nauk o Materiałach
i Środowisku
Nazwa stopnia
doktor habilitowany nauk technicznych w zakresie budowy i eksploatacji
maszyn
doktor nauk technicznych w zakresie włókiennictwa
AKADEMIA GÓRNICZO 2 HUTNICZA IM. STANISŁAWA
STASZICA W KRAKOWIE
Wydział Elektrotechniki,
Automatyki, Informatyki
i Elektroniki
doktor nauk technicznych w zakresie:
- automatyki i robotyki
- biocybernetyki i inżynierii biomedycznej
- elektroniki
- elektrotechniki
- informatyki
- telekomunikacji
doktor habilitowany nauk technicznych w zakresie:
- automatyki i robotyki
- elektroniki
- elektrotechniki
- informatyki
- telekomunikacji
Wydział Energetyki i Paliw
Wydział Fizyki i Informatyki
Stosowanej
Wydział Geodezji Górniczej
i Inżynierii Środowiska
Wydział Geologii, Geofizyki
i Ochrony Środowiska
doktor nauk technicznych w zakresie technologii chemicznej
doktor nauk fizycznych w zakresie fizyki
doktor habilitowany nauk fizycznych w zakresie fizyki
doktor nauk technicznych w zakresie:
- geodezji i kartografii
- inżynierii środowiska
doktor habilitowany nauk technicznych w zakresie:
- geodezji i kartografii
- inżynierii środowiska
doktor nauk o Ziemi w zakresie:
- geofizyki
- geologii
doktor habilitowany nauk o Ziemi w zakresie:
- geofizyki
- geologii
Wydział Górnictwa i Geoinżynierii doktor nauk technicznych w zakresie górnictwa i geologii inżynierskiej
inżynierskiej
doktor habilitowany nauk technicznych w zakresie górnictwa
i geologii inżynierskiej
Wydział Inżynierii Materiałowej
i Ceramiki
doktor nauk chemicznych w zakresie chemii
doktor habilitowany nauk chemicznych w zakresie chemii
doktor nauk technicznych w zakresie:
- inżynierii materiałowej
- technologii chemicznej
Strona 20
L.p.
Nazwa jednostki
Wydział Inżynierii Metali
i Informatyki Przemysłowej
Wydział Inżynierii Mechanicznej
i Robotyki
Nazwa stopnia
doktor habilitowany nauk technicznych w zakresie:
- inżynierii materiałowej
- technologii chemicznej
doktor nauk technicznych w zakresie:
- inżynierii materiałowej
- metalurgii
doktor habilitowany nauk technicznych w zakresie:
- inżynierii materiałowej
- metalurgii
doktor nauk technicznych w zakresie:
- automatyki i robotyki
- budowy i eksploatacji maszyn
- mechaniki
doktor habilitowany nauk technicznych w zakresie:
- automatyki i robotyki
- budowy i eksploatacji maszyn
- mechaniki
Wydział Matematyki Stosowanej
doktor nauk matematycznych w zakresie matematyki
Wydział Metali Nieżelaznych
doktor nauk technicznych w zakresie:
- inżynierii materiałowej
- metalurgii
doktor habilitowany nauk technicznych w zakresie:
- inżynierii materiałowej
- metalurgii
Wydział Odlewnictwa
doktor nauk technicznych w zakresie metalurgii
doktor habilitowany nauk technicznych w zakresie metalurgii
Wydział Wiertnictwa, Nafty i Gazu doktor nauk technicznych w zakresie górnictwa i geologii
inżynierskiej
doktor habilitowany nauk technicznych w zakresie górnictwa
i geologii inżynierskiej
Wydział Zarządzania
doktor nauk ekonomicznych w zakresie nauki o zarządzaniu
AKADEMIA MARYNARKI
3 WOJENNEJ IM. BOHATERÓW
WESTERPLATTE W GDYNI
4
Wydział Dowodzenia i Operacji
Morskich
doktor nauk wojskowych
Wydział Mechaniczno Elektryczny
doktor nauk technicznych w zakresie budowy i eksploatacji maszyn
Wydział Nawigacji i Uzbrojenia
Okrętowego
doktor nauk technicznych w zakresie geodezji i kartografii
AKADEMIA MORSKA
W GDYNI
Wydział Elektryczny
doktor nauk technicznych w zakresie elektrotechniki
Strona 21
L.p.
5
Nazwa jednostki
Wydział Mechaniczny
Nazwa stopnia
doktor nauk technicznych w zakresie budowy i eksploatacji maszyn
Wydział Przedsiębiorczości
i Towaroznawstwa
doktor nauk ekonomicznych w zakresie towaroznawstwa
AKADEMIA MORSKA
W SZCZECINIE
Wydział Mechaniczny
doktor nauk technicznych w zakresie budowy i eksploatacji maszyn
Wydział Nawigacyjny
doktor nauk technicznych w zakresie geodezji i kartografii
6 POLITECHNIKA BIAŁOSTOCKA
Wydział Budownictwa i Inżynierii
Środowiska
7
doktor nauk technicznych w zakresie:
- budownictwa
- inżynierii środowiska
doktor habilitowany nauk technicznych w zakresie budownictwa
Wydział Elektryczny
doktor nauk technicznych w zakresie elektrotechniki
doktor habilitowany nauk technicznych w zakresie elektrotechniki
Wydział Informatyki
doktor nauk technicznych w zakresie informatyki
Wydział Mechaniczny
doktor nauk technicznych w zakresie:
- budowy i eksploatacji maszyn
- mechaniki
doktor habilitowany nauk technicznych w zakresie:
- budowy i eksploatacji maszyn
- mechaniki
POLITECHNIKA
CZĘSTOCHOWSKA
Wydział Budownictwa
doktor nauk technicznych w zakresie budownictwa
Wydział Elektryczny
doktor nauk technicznych w zakresie elektrotechniki
Wydział Inżynierii i Ochrony
Środowiska
Wydział Inżynierii Mechanicznej
i Informatyki
Wydział Inżynierii Procesowej,
Materiałowej i Fizyki Stosowanej
doktor nauk technicznych w zakresie inżynierii środowiska
doktor habilitowany nauk technicznych w zakresie inżynierii środowiska
doktor nauk technicznych w zakresie:
- budowy i eksploatacji maszyn
- informatyki
- mechaniki
doktor habilitowany nauk technicznych w zakresie:
- budowy i eksploatacji maszyn
- mechaniki
doktor nauk technicznych w zakresie:
- inżynierii materiałowej
- metalurgii
doktor habilitowany nauk technicznych w zakresie:
- inżynierii materiałowej
- metalurgii
Strona 22
L.p.
Nazwa jednostki
Wydział Zarządzania
Nazwa stopnia
doktor nauk ekonomicznych w zakresie nauki o zarządzaniu
8 POLITECHNIKA GDAŃSKA
Wydział Architektury
doktor nauk technicznych w zakresie architektury i urbanistyki
Wydział Chemiczny
doktor nauk chemicznych w zakresie:
- chemii
- biotechnologii
doktor habilitowany nauk chemicznych w zakresie chemii
doktor nauk technicznych w zakresie technologii chemicznej
doktor habilitowany nauk technicznych w zakresie technologii chemicznej
Wydział Elektroniki,
Telekomunikacji i Informatyki
Wydział Elektrotechniki
i Automatyki
Wydział Fizyki Technicznej
i Matematyki Stosowanej
Wydział Inżynierii Lądowej
i Środowiska
Wydział Mechaniczny
Wydział Oceanotechniki
i Okrętownictwa
Wydział Zarządzania i Ekonomii
9 POLITECHNIKA KOSZALIŃSKA
doktor nauk technicznych w zakresie:
- automatyki i robotyki
- elektroniki
- informatyki
- telekomunikacji
doktor habilitowany nauk technicznych w zakresie:
- elektroniki
- informatyki
- telekomunikacji
doktor nauk technicznych w zakresie:
- automatyki i robotyki
- elektrotechniki
doktor habilitowany nauk technicznych w zakresie elektrotechniki
doktor nauk fizycznych w zakresie fizyki
doktor habilitowany nauk fizycznych w zakresie fizyki
doktor nauk technicznych w zakresie:
- budownictwa
- inżynierii środowiska
doktor habilitowany nauk technicznych w zakresie:
- budownictwa
- inżynierii środowiska
doktor nauk technicznych w zakresie :
- budowy i eksploatacji maszyn
- inżynierii materiałowej
doktor habilitowany nauk technicznych w zakresie budowy
eksploatacji maszyn
doktor nauk technicznych w zakresie budowy i eksploatacji
maszyn
doktor habilitowany nauk technicznych w zakresie budowy
eksploatacji maszyn
doktor nauk ekonomicznych w zakresie ekonomii
i
i
Strona 23
L.p.
Nazwa jednostki
Wydział Budownictwa i Inżynierii
Środowiska
10
Nazwa stopnia
doktor nauk technicznych w zakresie:
- budownictwa
- inżynierii środowiska
doktor habilitowany nauk technicznych w zakresie budownictwa
Wydział Elektroniki i Informatyki
doktor nauk technicznych w zakresie:
- elektroniki
- informatyki
Wydział Mechaniczny
doktor nauk technicznych w zakresie budowy i eksploatacji
maszyn
doktor habilitowany nauk technicznych w zakresie budowy
eksploatacji maszyn
doktor nauk rolniczych w zakresie inżynierii rolniczej
POLITECHNIKA KRAKOWSKA
IM. TADEUSZA KOŚCIUSZKI
Wydział Architektury
Wydział Inżynierii Elektrycznej
i Komputerowej
Wydział Inżynierii i Technologii
Chemicznej
doktor nauk technicznych w zakresie architektury i urbanistyki
doktor habilitowany nauk technicznych w zakresie architektury
i urbanistyki
doktor nauk technicznych w zakresie elektrotechniki
doktor nauk chemicznych w zakresie chemii
doktor nauk technicznych w zakresie:
- inżynierii chemicznej
- technologii chemicznej
Wydział Inżynierii Lądowej
doktor nauk technicznych w zakresie:
- budownictwa
- mechaniki
- transportu
doktor habilitowany nauk technicznych w zakresie:
- budownictwa
- mechaniki
Wydział Inżynierii Środowiska
doktor nauk technicznych w zakresie inżynierii środowiska
doktor habilitowany nauk technicznych w zakresie inżynierii środowiska
Wydział Mechaniczny
doktor nauk technicznych w zakresie:
- budowy i eksploatacji maszyn
- inżynierii materiałowej
- mechaniki
doktor habilitowany nauk technicznych w zakresie:
- budowy i eksploatacji maszyn
- mechaniki
11 POLITECHNIKA LUBELSKA
Wydział Elektrotechniki
i Informatyki
Wydział Inżynierii Budowlanej
i Sanitarnej
doktor nauk technicznych w zakresie elektrotechniki
doktor habilitowany nauk technicznych w zakresie elektrotechniki
doktor nauk technicznych w zakresie budownictwa
i
Strona 24
L.p.
Nazwa jednostki
Wydział Inżynierii Środowiska
Nazwa stopnia
doktor nauk technicznych w zakresie inżynierii środowiska
Wydział Mechaniczny
doktor nauk technicznych w zakresie:
- budowy i eksploatacji maszyn
- mechaniki
doktor habilitowany nauk technicznych w zakresie budowy
i eksploatacji maszyn
12 POLITECHNIKA ŁÓDZKA
Wydział Biotechnologii i Nauk
o Żywności
doktor nauk technicznych w zakresie:
- biotechnologii
- technologii chemicznej
doktor habilitowany nauk technicznych w zakresie technologii chemicznej
Wydział Budownictwa,
Architektury i Inżynierii
Środowiska
Wydział Chemiczny
doktor nauk technicznych w zakresie:
- architektury i urbanistyki
- budownictwa
- inżynierii środowiska
doktor habilitowany nauk technicznych w zakresie budownictwa
doktor nauk chemicznych w zakresie chemii
doktor habilitowany nauk chemicznych w zakresie chemii
doktor nauk technicznych w zakresie technologii chemicznej
doktor habilitowany nauk technicznych w zakresie technologii chemicznej
Wydział Elektrotechniki,
Elektroniki, Informatyki
i Automatyki
Wydział Fizyki Technicznej,
Informatyki i Matematyki
Stosowanej
Wydział Inżynierii Procesowej
i Ochrony Środowiska
Wydział Mechaniczny
doktor nauk technicznych w zakresie:
- automatyki i robotyki
- elektroniki
- elektrotechniki
- informatyki
doktor habilitowany nauk technicznych w zakresie:
- automatyki i robotyki
- elektroniki
- elektrotechniki
doktor nauk fizycznych w zakresie fizyki
doktor nauk matematycznych w zakresie matematyki
doktor nauk technicznych w zakresie informatyki
doktor nauk technicznych w zakresie:
- inżynierii chemicznej
- inżynierii środowiska
doktor habilitowany nauk technicznych w zakresie:
- inżynierii chemicznej
- inżynierii środowiska
doktor nauk technicznych w zakresie:
- budowy i eksploatacji maszyn
- inżynierii materiałowej
Strona 25
L.p.
Nazwa jednostki
Nazwa stopnia
- mechaniki
doktor habilitowany nauk technicznych w zakresie:
- budowy i eksploatacji maszyn
- inżynierii materiałowej
- mechaniki
Wydział Organizacji i Zarządzania doktor nauk ekonomicznych w zakresie nauki o zarządzaniu
Wydział Technologii
Materiałowych i Wzornictwa
Tekstyliów
doktor nauk technicznych w zakresie włókiennictwa
doktor habilitowany nauk technicznych w zakresie włókiennictwa
13 POLITECHNIKA OPOLSKA
Wydział Budownictwa
Wydział Elektrotechniki,
Automatyki i Informatyki
Wydział Mechaniczny
doktor nauk technicznych w zakresie budownictwa
doktor habilitowany nauk technicznych w zakresie budownictwa
doktor nauk technicznych w zakresie:
- automatyki i robotyki
- elektrotechniki
doktor habilitowany nauk technicznych w zakresie:
- automatyki i robotyki
- elektrotechniki
doktor nauk technicznych w zakresie budowy i eksploatacji maszyn
doktor habilitowany nauk technicznych w zakresie budowy
i eksploatacji maszyn
14 POLITECHNIKA POZNAŃSKA
Wydział Architektury
Wydział Budownictwa i Inżynierii
Środowiska
Wydział Budowy Maszyn
i Zarządzania
Wydział Elektroniki
i Telekomunikacji
Wydział Elektryczny
doktor nauk technicznych w zakresie architektury i urbanistyki
doktor nauk technicznych w zakresie:
- budownictwa
- inżynierii środowiska
doktor habilitowany nauk technicznych w zakresie:
- budownictwa
- inżynierii środowiska
doktor nauk technicznych w zakresie:
- budowy i eksploatacji maszyn
- inżynierii materiałowej
- mechaniki
doktor habilitowany nauk technicznych w zakresie:
- budowy i eksploatacji maszyn
- mechaniki
doktor nauk technicznych w zakresie telekomunikacji
doktor habilitowany nauk technicznych w zakresie telekomunikacji
doktor nauk technicznych w zakresie:
- automatyki i robotyki
- elektrotechniki
Strona 26
L.p.
Nazwa jednostki
Wydział Fizyki Technicznej
Nazwa stopnia
doktor habilitowany nauk technicznych w zakresie:
- automatyki i robotyki
- elektrotechniki
doktor nauk fizycznych w zakresie fizyki
doktor habilitowany nauk fizycznych w zakresie fizyki
Wydział Informatyki i Zarządzania doktor nauk ekonomicznych w zakresie nauki o zarządzaniu
doktor nauk technicznych w zakresie:
- automatyki i robotyki
- budowy i eksploatacji maszyn
- informatyki
doktor habilitowany nauk technicznych w zakresie:
- automatyki i robotyki
- informatyki
Wydział Maszyn Roboczych
i Transportu
Wydział Technologii Chemicznej
doktor nauk technicznych w zakresie:
- budowy i eksploatacji maszyn
- transportu
doktor habilitowany nauk technicznych w zakresie budowy
i eksploatacji maszyn
doktor nauk chemicznych w zakresie:
- chemii
- technologii chemicznej
doktor habilitowany nauk chemicznych w zakresie technologii chemicznej
doktor nauk technicznych w zakresie technologii chemicznej
15 POLITECHNIKA RADOMSKA
16
Wydział Ekonomiczny
doktor nauk ekonomicznych w zakresie ekonomii
Wydział Mechaniczny
doktor nauk technicznych w zakresie:
- budowy i eksploatacji maszyn
- mechanika
doktor habilitowany nauk technicznych w zakresie budowy i eksploatacji
maszyn
Wydział Sztuki
doktor sztuk plastycznych w zakresie sztuk pięknych
Wydział Transportu
i Elektrotechniki
doktor nauk technicznych w zakresie transportu
POLITECHNIKA RZESZOWSKA
IM. IGNACEGO ŁUKASIEWICZA
Wydział Budownictwa i Inżynierii
Środowiska
Wydział Budowy Maszyn
i Lotnictwa
Wydział Chemiczny
doktor nauk technicznych w zakresie budownictwa
doktor nauk technicznych w zakresie:
- budowy i eksploatacji maszyn
- mechaniki
doktor habilitowany nauk technicznych w zakresie:
- budowy i eksploatacji maszyn
- mechaniki
doktor nauk chemicznych w zakresie technologii chemicznej
Strona 27
L.p.
Nazwa jednostki
Wydział Elektrotechniki
i Informatyki
17
Nazwa stopnia
doktor nauk technicznych w zakresie inżynierii chemicznej
doktor nauk technicznych w zakresie elektrotechniki
POLITECHNIKA ŚLĄSKA
W GLIWICACH
Wydział Architektury
Wydział Automatyki, Elektroniki
i Informatyki
doktor nauk technicznych w zakresie architektury i urbanistyki
doktor nauk technicznych w zakresie:
- automatyki i robotyki
- biocybernetyki i inżynierii biomedycznej
- elektroniki
- informatyki
doktor habilitowany nauk technicznych w zakresie:
- automatyki i robotyki
- elektroniki
- informatyki
Wydział Budownictwa
doktor nauk technicznych w zakresie budownictwa
doktor habilitowany nauk technicznych w zakresie budownictwa
Wydział Chemiczny
doktor nauk chemicznych w zakresie chemii
doktor habilitowany nauk chemicznych w zakresie chemii
doktor nauk technicznych w zakresie:
- inżynierii chemicznej
- technologii chemicznej
doktor habilitowany nauk technicznych w zakresie:
- inżynierii chemicznej
- technologii chemicznej
Wydział Elektryczny
doktor nauk technicznych w zakresie elektrotechniki
doktor habilitowany nauk technicznych w zakresie elektrotechniki
Wydział Górnictwa i Geologii
doktor nauk technicznych w zakresie górnictwa i geologii
inżynierskiej
doktor habilitowany nauk technicznych w zakresie górnictwa
i geologii inżynierskiej
Wydział Inżynierii Materiałowej
i Metalurgii
Wydział Inżynierii Środowiska
i Energetyki
doktor nauk technicznych w zakresie:
- inżynierii materiałowej
- metalurgii
doktor habilitowany nauk technicznych w zakresie:
- inżynierii materiałowej
- metalurgii
doktor nauk technicznych w zakresie:
- budowy i eksploatacji maszyn
- inżynierii środowiska
doktor habilitowany nauk technicznych w zakresie:
- budowy i eksploatacji maszyn
- inżynierii środowiska
Wydział Matematyczno - Fizyczny doktor nauk fizycznych w zakresie fizyki
Strona 28
L.p.
Nazwa jednostki
Wydział Mechaniczny
Technologiczny
Nazwa stopnia
doktor nauk technicznych w zakresie:
- budowy i eksploatacji maszyn
- inżynierii materiałowej
- mechaniki
doktor habilitowany nauk technicznych w zakresie:
- budowy i eksploatacji maszyn
- inżynierii materiałowej
- mechaniki
Wydział Organizacji i Zarządzania doktor nauk ekonomicznych w zakresie nauki o zarządzaniu
Wydział Transportu
doktor nauk technicznych w zakresie budowy i eksploatacji maszyn
POLITECHNIKA
18 ŚWIĘTOKRZYSKA
W KIELCACH
Wydział Budownictwa i Inżynierii
Środowiska
Wydział Elektrotechniki,
Automatyki i Informatyki
Wydział Mechatroniki i Budowy
Maszyn
19
doktor nauk technicznych w zakresie:
- budownictwa
- inżynierii środowiska
doktor habilitowany nauk technicznych w zakresie w zakresie
budownictwa
doktor nauk technicznych w zakresie elektrotechniki
doktor nauk technicznych w zakresie:
- automatyki i robotyki
- budowy i eksploatacji maszyn
- mechaniki
doktor habilitowany nauk technicznych w zakresie budowy
i eksploatacji maszyn
POLITECHNIKA WARSZAWSKA
Wydział Architektury
Wydział Budownictwa ,
Mechaniki i Petrochemii
w Płocku
doktor nauk technicznych w zakresie architektury i urbanistyki
doktor habilitowany nauk technicznych w zakresie architektury
i urbanistyki
doktor nauk technicznych w zakresie:
- budownictwa
- budowy i eksploatacji maszyn
Wydział Chemiczny
doktor nauk chemicznych w zakresie:
- chemii
- technologii chemicznej
doktor habilitowany nauk chemicznych w zakresie:
- chemii
- technologii chemicznej
doktor nauk technicznych w zakresie technologii chemicznej
doktor habilitowany nauk technicznych w zakresie technologii chemicznej
Strona 29
L.p.
Nazwa jednostki
Wydział Elektroniki i Technik
Informacyjnych
Nazwa stopnia
doktor nauk technicznych w zakresie:
- automatyki i robotyki
- elektroniki
- informatyki
- telekomunikacji
doktor habilitowany nauk technicznych w zakresie:
- automatyki i robotyki
- elektroniki
- informatyki
- telekomunikacji
Wydział Elektryczny
doktor nauk technicznych w zakresie:
- automatyki i robotyki
- elektrotechniki
doktor habilitowany nauk technicznych w zakresie elektrotechniki
Wydział Fizyki
doktor nauk fizycznych w zakresie fizyki
doktor habilitowany nauk fizycznych w zakresie fizyki
Wydział Geodezji i Kartografii
doktor nauk technicznych w zakresie geodezji i kartografii
doktor habilitowany nauk technicznych w zakresie geodezji i kartografii
Wydział Inżynierii Chemicznej
i Procesowej
doktor nauk technicznych w zakresie inżynierii chemicznej
doktor habilitowany nauk technicznych w zakresie inżynierii chemicznej
Wydział Inżynierii Lądowej
doktor nauk technicznych w zakresie budownictwa
doktor habilitowany nauk technicznych w zakresie budownictwa
Wydział Inżynierii Materiałowej
doktor nauk technicznych w zakresie inżynierii materiałowej
doktor habilitowany nauk technicznych w zakresie inżynierii materiałowej
Wydział Inżynierii Produkcji
doktor nauk ekonomicznych w zakresie nauki o zarządzaniu
doktor nauk technicznych w zakresie:
- budowy i eksploatacji maszyn
- mechaniki
doktor habilitowany nauk technicznych w zakresie:
- budowy i eksploatacji maszyn
- mechaniki
Wydział Inżynierii Środowiska
doktor nauk technicznych w zakresie inżynierii środowiska
doktor habilitowany nauk technicznych w zakresie inżynierii środowiska
Wydział Matematyki i Nauk
Informacyjnych
doktor nauk matematycznych w zakresie matematyki
doktor habilitowany nauk matematycznych w zakresie matematyki
Wydział Mechaniczny Energetyki i
Lotnictwa
doktor nauk technicznych w zakresie:
- automatyki i robotyki
- budowy i eksploatacji maszyn
- mechaniki
doktor habilitowany nauk technicznych w zakresie:
- automatyki i robotyki
- budowy i eksploatacji maszyn
- mechaniki
Wydział Mechatroniki
doktor nauk technicznych w zakresie:
Strona 30
L.p.
Nazwa jednostki
Wydział Samochodów i Maszyn
Roboczych
Wydział Transportu
20
Nazwa stopnia
- automatyki i robotyki
- biocybernetyki i inżynierii biomedycznej
- budowy i eksploatacji maszyn
doktor habilitowany nauk technicznych w zakresie:
- biocybernetyki i inżynierii biomedycznej
- budowy i eksploatacji maszyn
doktor nauk technicznych w zakresie:
- budowy i eksploatacji maszyn
- mechaniki
doktor habilitowany nauk technicznych w zakresie:
- budowy i eksploatacji maszyn
- mechaniki
doktor nauk technicznych w zakresie transportu
doktor habilitowany nauk technicznych w zakresie transportu
POLITECHNIKA WROCŁAWSKA
Instytut Budownictwa
doktor nauk technicznych w zakresie budownictwa
Instytut Energoelektryki
doktor nauk technicznych w zakresie elektrotechniki
Instytut Fizyki
doktor nauk fizycznych w zakresie fizyki
doktor habilitowany nauk fizycznych w zakresie fizyki
Instytut Geotechniki
i Hydrotechniki
doktor nauk technicznych w zakresie górnictwa i geologii
inżynierskiej
Instytut Informatyki, Automatyki
i Robotyki
doktor nauk technicznych w zakresie automatyki i robotyki
Instytut Inżynierii Lądowej
doktor nauk technicznych w zakresie budownictwa
Instytut Inżynierii Ochrony
Środowiska
doktor nauk technicznych w zakresie inżynierii środowiska
Instytut Konstrukcji i Eksploatacji
Maszyn
doktor nauk technicznych w zakresie budowy i eksploatacji maszyn
Instytut Maszyn, Napędów
i Pomiarów Elektrycznych
Instytut Matematyki i Informatyki
doktor nauk technicznych w zakresie elektrotechniki
doktor nauk matematycznych w zakresie matematyki
doktor habilitowany nauk matematycznych w zakresie matematyki
Instytut Materiałoznawstwa
i Mechaniki Technicznej
doktor nauk technicznych w zakresie mechaniki
Instytut Techniki Cieplnej
i Mechaniki Płynów
doktor nauk technicznych w zakresie mechaniki
Instytut Technologii Maszyn
i Automatyzacji
doktor nauk technicznych w zakresie budowy i eksploatacji maszyn
Instytut Telekomunikacji,
Teleinformatyki i Akustyki
doktor nauk technicznych w zakresie telekomunikacji
Strona 31
L.p.
Nazwa jednostki
Wydział Architektury
Nazwa stopnia
doktor nauk technicznych w zakresie architektury i urbanistyki
doktor habilitowany nauk technicznych w zakresie architektury
i urbanistyki
Wydział Budownictwa Lądowego
i Wodnego
doktor nauk technicznych w zakresie budownictwa
doktor habilitowany nauk technicznych w zakresie budownictwa
Wydział Chemiczny
Wydział Elektroniki
Mikrosystemów i Fotoniki
doktor nauk chemicznych w zakresie:
- biotechnologii
- chemii
- technologii chemicznej
doktor habilitowany nauk chemicznych w zakresie chemii
doktor nauk technicznych w zakresie:
- inżynierii chemicznej
- technologii chemicznej
doktor habilitowany nauk technicznych w zakresie:
- inżynierii chemicznej
- technologii chemicznej
doktor nauk technicznych w zakresie elektroniki
doktor habilitowany nauk technicznych w zakresie elektroniki
Wydział Elektroniki
doktor nauk technicznych w zakresie:
- elektroniki
- informatyki
doktor habilitowany nauk technicznych w zakresie:
- automatyki i robotyki
- elektroniki
- informatyki
- telekomunikacji
Wydział Elektryczny
doktor nauk technicznych w zakresie elektrotechniki
doktor habilitowany nauk technicznych w zakresie elektrotechniki
Wydział Geoinżynierii, Górnictwa i
Geologii
doktor nauk technicznych w zakresie górnictwa i geologii
inżynierskiej
doktor habilitowany nauk technicznych w zakresie górnictwa
i geologii inżynierskiej
Wydział Informatyki i Zarządzania doktor nauk ekonomicznych w zakresie nauki o zarządzaniu
doktor nauk technicznych w zakresie informatyki
doktor habilitowany nauk technicznych w zakresie informatyki
Wydział Inżynierii Środowiska
Wydział Mechaniczno Energetyczny
Wydział Mechaniczny
doktor habilitowany nauk technicznych w zakresie inżynierii
środowiska
doktor nauk technicznych w zakresie budowy i eksploatacji maszyn
doktor habilitowany nauk technicznych w zakresie budowy
i eksploatacji maszyn
doktor nauk technicznych w zakresie mechaniki
doktor habilitowany nauk technicznych w zakresie:
- budowy i eksploatacji maszyn
- mechaniki
Strona 32
L.p.
Nazwa jednostki
Nazwa stopnia
WOJSKOWA AKADEMIA
21 TECHNICZNA IM. JAROSŁAWA
DĄBROWSKIEGO
W WARSZAWIE
Instytut Optoelektroniki
doktor nauk technicznych w zakresie elektroniki
Wydział Cybernetyki
doktor nauk technicznych w zakresie informatyki
doktor habilitowany nauk technicznych w zakresie informatyki
Wydział Elektroniki
doktor nauk technicznych w zakresie:
- elektroniki
- telekomunikacji
doktor habilitowany nauk technicznych w zakresie:
- elektroniki
- telekomunikacji
Wydział Inżynierii Lądowej
i Geodezji
doktor nauk technicznych w zakresie:
- budownictwa
- geodezji i kartografii
Wydział Mechaniczny
doktor nauk technicznych w zakresie:
- budowy i eksploatacji maszyn
- mechaniki
doktor habilitowany nauk technicznych w zakresie:
- budowy i eksploatacji maszyn
- mechaniki
Wydział Mechatroniki
doktor nauk technicznych w zakresie mechaniki
doktor habilitowany nauk technicznych w zakresie mechaniki
Wydział Nowych Technologii
i Chemii
doktor nauk chemicznych w zakresie chemii
doktor nauk technicznych w zakresie inżynierii materiałowej
doktor habilitowany nauk technicznych w zakresie inżynierii materiałowej
ZACHODBNIOPOMORSKI
22 UNIWERSYTET
TECHNOLOGICZNY
W SZCZECINIE
Wydział Biotechnologii i Hodowli
Zwierząt
Wydział Budownictwa
i Architektury
doktor nauk rolniczych w zakresie zootechniki
doktor habilitowany nauk rolniczych w zakresie zootechniki
doktor nauk technicznych w zakresie budownictwa
Wydział Elektryczny
doktor nauk technicznych w zakresie:
- automatyki i robotyki
- elektrotechniuki
doktor habilitowany nauk technicznych w zakresie elektrotechniki
Wydział Ekonomiczny
doktor nauk ekonomicznych w zakresie ekonomii
Wydział Informatyki
doktor nauk technicznych w zakresie informatyki
doktor habilitowany nauk technicznych w zakresie informatyki
Strona 33
L.p.
Nazwa jednostki
Nazwa stopnia
Wydział Inżynierii Mechanicznej i
Mechatroniki
doktor nauk technicznych w zakresie:
- budowy i eksploatacji maszyn
- inżynierii materiałowej
doktor habilitowany nauk technicznych w zakresie budowy
i eksploatacji maszyn
Wydział Kształtowania
Środowiska i Rolnictwa
Wydział Nauk o Żywności i
Rybactwa
Wydział Techniki Morskiej
Wydział Technologii i Inżynierii
Chemicznej
doktor nauk rolniczych w zakresie:
- agronomii
- inżynierii rolniczej
- kształtowania środowiska
- ogrodnictwa
doktor habilitowany nauk rolnioczych w zakresie agronomii
doktor nauk rolniczych w zakresie:
- rybactwa
- technologii żywności i żywienia
doktor habilitowany nauk rolniczych w zakresie:
- rybactwa
- technologii żywności i żywienia
doktor nauk technicznych w zakresie budowy i eksloatacji maszyn
doktor nauk technicznych w zakresie:
- inżynierii chemicznej
- technologii chemicznej
doktor habilitowany nauk technicznych w zakresie:
- inżynierii chemicznej
- technologii chemicznej
III UCZELNIE EKONOMICZNE
AKADEMIA EKONOMICZNA
1 IM. KAROLA ADAMIECKIEGO
W KATOWICACH
Wydział Ekonomii
doktor nauk ekonomicznych w zakresie ekonomii
doktor habilitowany nauk ekonomicznych w zakresie ekonomii
Wydział Finansów i Ubezpieczeń doktor nauk ekonomicznych w zakresie ekonomii
doktor habilitowany nauk ekonomicznych w zakresie ekonomii
Wydział Zarządzania
doktor nauk ekonomicznych w zakresie:
- ekonomii
- nauki o zarządzaniu
doktor habilitowany nauk ekonomicznych w zakresie:
- ekonomii
- nauki o zarządzaniu
2 UNIWERSYTET EKONOMICZNY
W POZNANIU
Wydział Ekonomii
doktor nauk ekonomicznych w zakresie ekonomii
doktor habilitowany nauk ekonomicznych w zakresie ekonomii
Strona 34
L.p.
Nazwa jednostki
Wydział Gospodarki
Międzynarodowej
Nazwa stopnia
doktor nauk ekonomicznych w zakresie ekonomii
doktor habilitowany nauk ekonomicznych w zakresie ekonomii
Wydział Informatyki i Gospodarki
Elektronicznej
doktor nauk ekonomicznych w zakresie ekonomii
Wydział Towaroznawstwa
doktor nauk ekonomicznych w zakresie towaroznawstwa
doktor habilitowany nauk ekonomicznych w zakresie towaroznawstwa
Wydział Zarządzania
doktor nauk ekonomicznych w zakresie:
- ekonomii
- nauki o zarządzaniu
doktor habilitowany nauk ekonomicznych w zakresie:
- ekonomii
- nauki o zarządzaniu
3 UNIWERSYTET EKONOMICZNY
W KRAKOWIE
Wydział Ekonomii i Stosunków
Międzynarodowych
doktor nauk ekonomicznych w zakresie:
- ekonomii
- nauki o zarządzaniu
doktor habilitowany nauk ekonomicznych w zakresie:
- ekonomii
- nauki o zarządzaniu
Wydział Finansów
doktor nauk ekonomicznych w zakresie ekonomii
doktor habilitowany nauk ekonomicznych w zakresie ekonomii
Wydział Towaroznawstwa
doktor nauk ekonomicznych w zakresie towaroznawstwa
doktor habilitowany nauk ekonomicznych w zakresie towaroznawstwa
Wydział Zarządzania
doktor nauk ekonomicznych w zakresie:
- ekonomii
- nauki o zarządzaniu
doktor habilitowany nauk ekonomicznych w zakresie:
- ekonomii
- nauki o zarządzaniu
4 UNIWERSYTET EKONOMICZNY
WE WROCŁAWIU
Wydział Gospodarki Regionalnej
i Turystyki w Jeleniej Górze
Wydział Inżynieryjno Ekonomiczny
Wydział Nauk Ekonomicznych
doktor nauk ekonomicznych w zakresie ekonomii
doktor habilitowany nauk ekonomicznych w zakresie ekonomii
doktor nauk ekonomicznych w zakresie ekonomii
doktor nauk rolniczych w zakresie technologii żywności i żywienia
doktor nauk ekonomicznych w zakresie:
- ekonomii
- nauki o zarządzaniu
doktor habilitowany nauk ekonomicznych w zakresie ekonomii
Strona 35
L.p.
Nazwa jednostki
Nazwa stopnia
Wydział Zarządzania, Informatyki
i Finansów
doktor nauk ekonomicznych w zakresie:
- ekonomii
- nauki o zarządzaniu
doktor habilitowany nauk ekonomicznych w zakresie:
- ekonomii
- nauki o zarządzaniu
5
SZKOŁA GŁÓWNA HANDLOWA
Kolegium Analiz Ekonomicznych
Kolegium Ekonomiczno Społeczne
Kolegium Gospodarki Światowej
Kolegium Nauk
o Przedsiębiorstwie
doktor nauk ekonomicznych w zakresie ekonomii
doktor habilitowany nauk ekonomicznych w zakresie ekonomii
doktor nauk ekonomicznych w zakresie ekonomii
doktor habilitowany nauk ekonomicznych w zakresie ekonomii
doktor nauk ekonomicznych w zakresie ekonomii
doktor habilitowany nauk ekonomicznych w zakresie ekonomii
doktor nauk ekonomicznych w zakresie:
- ekonomii
- nauk o zarządzaniu
doktor habilitowany nauk ekonomicznych w zakresie:
- ekonomii
- nauki o zarządzaniu
Kolegium Zarządzania i Finansów doktor nauk ekonomicznych w zakresie:
- ekonomii
- nauki o zarządzaniu
doktor habilitowany nauk ekonomicznych w zakresie:
- ekonomii
- nauki o zarządzaniu
IV UCZELNIE PEDAGOGICZNE
AKADEMIA
1 IM. JANA DŁUGOSZA
W CZĘSTOCHOWIE
Wydział Filologiczno - Historyczny doktor nauk humanistycznych w zakresie historii
doktor habilitowany nauk humanistycznych w zakresie historii
Wydział Matematyczno Przyrodniczy
doktor nauk fizycznych w zakresie fizyki
UNIWERSYTET
2 PEDAGOGICZNY
IM. KOMISJI EDUKACJI
NARODOWEJ W KRAKOWIE
Wydział Geograficzno Biologiczny
doktor nauk biologicznych w zakresie biologii
doktor habilitowany nauk biologicznych w zakresie biologii
Strona 36
L.p.
Nazwa jednostki
Wydział Humanistyczny
Nazwa stopnia
doktor nauk o Ziemi w zakresie geografii
doktor nauk humanistycznych w zakresie:
- historii
- językoznawstwa
- literaturoznawstwa
- nauki o polityce
doktor habilitowany nauk humanistycznych w zakresie:
- historii
- językoznawstwa
- literaturoznawstwa
Wydział Matematyczno - Fizyczno
- Techniczny
doktor nauk matematycznych w zakresie matematyki
doktor nauk fizycznych w zakresie fizyki
Wydział Pedagogiczny
doktor nauk humanistycznych w zakresie pedagogiki
Wydział Sztuki
doktor sztuk plastycznych w zakresie sztuk pięknych
AKADEMIA PEDAGOGIKI
3 SPECJALNEJ
IM. MARII GRZEGORZEWSKIEJ
W WARSZAWIE
Wydział Nauk Pedagogicznych
4
doktor nauk humanistycznych w zakresie pedagogiki
doktor habilitowany nauk humanistycznych w zakresie pedagogiki
AKADEMIA POMORSKA
W SŁUPSKU
Wydział Filologiczno - Historyczny doktor nauk humanistycznych w zakresie historii
Wydział Matematyczno Przyrodniczy
doktor nauk biologicznych w zakresie biologii
UNIWERSYTET
HUMANISTYCZNO5 PRZYRODNICZY JANA
KOCHANOWSKIEGO
W KIELCACH
Wydział Humanistyczny
Wydział Matematyczno Przyrodniczy
Wydział Pedagogiczny
i Artystyczny
Wydział Zarządzania
i Administracji
doktor nauk humanistycznych w zakresie:
- historii
- językoznawstwa
doktor habilitowany nauk humanistycznych w zakresie historii
doktor nauk biologicznych w zakresie biologii
doktor nauk fizycznych w zakresie fizyki
doktor nauk o Ziemi w zakresie geografii
doktor nauk humanistycznych w zakresie pedagogiki
doktor sztuk plastycznych w zakresie sztuk pięknych
doktor nauk humanistycznych w zakresie nauk o polityce
Strona 37
L.p.
Nazwa jednostki
Nazwa stopnia
V UCZELNIE ROLNICZE
1
AKADEMIA PODLASKA
W SIEDLCACH
Wydział Humanistyczny
doktor nauk humanistycznych w zakresie historii
Wydział Nauk Ścisłych
doktor nauk chemicznych w zakresie chemii
Wydział Przyrodniczy
doktor nauk biologicznych w zakresie biologii
doktor nauk rolniczych w zakresie:
- agronomii
- zootechniki
doktor habilitowany nauk rolniczych w zakresie:
- agronomii
- zootechniki
UNIWERSYTET
2 PRZYRODNICZY
W POZNANIU
Wydział Ekonomiczno Społeczny
Wydział Hodowli i Biologii
Zwierząt
Wydział Leśny
Wydział Melioracji i Inżynierii
Środowiska
doktor nauk ekponomicznych w zakresie ekonomii
doktor nauk rolniczych w zakresie zootechniki
doktor habilitowany nauk rolniczych w zakresie zootechniki
doktor nauk leśnych w zakresie leśnictwa
doktor habilitowany nauk leśnych w zakresie leśnictwa
doktor nauk rolniczych w zakresie kształtowania środowiska
doktor habilitowany nauk rolniczych w zakresie kształtowania środowiska
Wydział Nauk o Żywności
i Żywieniu
doktor nauk rolniczych w zakresie technologii żywności i żywienia
doktor habilitowany nauk rolniczych w zakresie technologii żywności i
żywienia
Wydział Ogrodniczy
doktor nauk rolniczych w zakresie ogrodnictwa
doktor habilitowany nauk rolniczych w zakresie ogrodnictwa
Wydział Rolniczy
doktor nauk rolniczych w zakresie:
- agronomii
- inżynierii rolniczej
doktor habilitowany nauk rolniczych w zakresie:
- agronomii
- inżynierii rolniczej
Wydział Technologii Drewna
doktor nauk leśnych w zakresie drzewnictwa
doktor habilitowany nauk leśnych w zakresie drzewnictwa
UNIWERSYTET ROLNICZY
3 IM. HUGONA KOŁŁĄTAJA
W KRAKOWIE
Strona 38
L.p.
Nazwa jednostki
Wydział Hodowli i Biologii
Zwierząt
Wydział Inżynierii Produkcji
i Energetyki
Wydział Inżynierii Środowiska
i Geodezji
Nazwa stopnia
doktor nauk rolniczych w zakresie:
- rybactwa
- zootechniki
doktor habilitowany nauk rolniczych w zakresie zootechniki
doktor nauk rolniczych w zakresie inżynierii rolniczej
doktor habilitowany nauk rolniczych w zakresie inżynierii rolniczej
doktor nauk rolniczych w zakresie kształtowania środowiska
doktor habilitowany nauk rolniczych w zakresie kształtowania środowiska
Wydział Leśny
doktor nauk leśnych w zakresie leśnictwa
doktor habilitowany nauk leśnych w zakresie leśnictwa
Wydział Ogrodniczy
doktor nauk rolniczych w zakresie ogrodnictwa
doktor habilitowany nauk rolniczych w zakresie ogrodnictwa
Wydział Rolniczo - Ekonomiczny
doktor nauk rolniczych w zakresie agronomii
doktor habilitowany nauk rolniczych w zakresie agronomii
Wydział Technologii Żywności
doktor nauk rolniczych w zakresie technologii żywności i żywienia
doktor habilitowany nauk rolniczych w zakresie technologii żywności i
żywienia
UNIWERSYTET
4 PRZYRODNICZY
W LUBLINIE
Wydział Agrobioinżynierii
Wydział Biologii i Hodowli
Zwierząt
Wydział Inżynierii Produkcji
Wydział Medycyny
Weterynaryjnej
Wydział Nauk Rolniczych w
Zamościu
Wydział Nauk o Żywności
i Biotechnologii
Wydział Ogrodniczy
doktor nauk rolniczych w zakresie:
- agronomii
- kształtowania środowiska
doktor habilitowany nauk rolniczych w zakresie agronomii
doktor nauk rolniczych w zakresie zootechniki
doktor habilitowany nauk rolniczych w zakresie zootechniki
doktor nauk rolniczych w zakresie inżynierii rolniczej
doktor habilitowany nauk rolniczych w zakresie inżynierii rolniczej
doktor nauk weterynaryjnych
doktor habilitowany nauk weterynaryjnych
doktor nauk rolniczych w zakresie agronomii
doktor nauk rolniczych w zakresie technologii żywności i żywienia
doktor habilitowany nauk rolniczych w zakresie technologii żywności i
żywienia
doktor nauk rolniczych w zakresie ogrodnictwa
doktor habilitowany nauk rolniczych w zakresie ogrodnictwa
Strona 39
L.p.
Nazwa jednostki
Nazwa stopnia
UNIWERSYTET
5 PRZYRODNICZY
WE WROCŁAWIU
Wydział Biologii i Hodowli
Zwierząt
Wydział Inżynierii Kształtowania
Środowiska i Geodezji
doktor nauk rolniczych w zakresie zootechniki
doktor habilitowany nauk rolniczych w zakresie zootechniki
doktor nauk rolniczych w zakresie kształtowania środowiska
doktor habilitowany nauk rolniczych w zakresie kształtowania środowiska
doktor nauk technicznych w zakresie geodezji i kartografii
Wydział Medycyny
Weterynaryjnej
Wydział Nauk o Żywności
Wydział PrzyrodniczoTechnologiczny
doktor nauk weterynaryjnych
doktor habilitowany nauk weterynaryjnych
doktor nauk biologicznych w zakresie biotechnologii
doktor nauk rolniczych w zakresie technologii żywności i żywienia
doktor habilitowany nauk biologicznych w zakresie biotechnologii
doktor habilitowany nauk rolniczych w zakresie technologii żywności i
żywienia
doktor nauk rolniczych w zakresie:
- agronomii
- inżynierii rolniczej
- ogrodnictwo
doktor habilitowany nauk rolniczych w zakresie:
- agronomii
- inżynierii rolniczej
UNIWERSYTET
TECHNOLOGICZNO 6 PRZYRODNICZY IM. JANA
I JĘDRZEJA ŚNIADECKICH
W BYDGOSZCZY
Wydział Budownictwa i Inżynierii
Środowiska
Wydział Hodowli i Biologii
Zwierząt
doktor nauk technicznych w zakresie budownictwa
doktor nauk rolniczych w zakresie zootechniki
doktor habilitowany nauk rolniczych w zakresie zootechniki
Wydział Mechaniczny
doktor nauk technicznych w zakresie budowy i eksploatacji maszyn
doktor habilitowany nauk technicznych w zakresie budowy
i eksploatacji maszyn
Wydział Rolniczy
doktor nauk rolniczych w zakresie:
- agronomii
- kształtowania środowiska
doktor habilitowany nauk rolniczych w zakresie agronomii
Wydział Technologii i Inżynierii
Chemicznej
doktor nauk chemicznych w zakresie chemii
Strona 40
L.p.
Nazwa jednostki
Wydział Telekomunikacji
i Elektrotechniki
Nazwa stopnia
doktor nauk technicznych w zakresie telekomunikacji
SZKOŁA GŁÓWNA
7 GOSPODARSTWA
WIEJSKIEGO
W WARSZAWIE
Wydział Inżynierii i Kształtowania
Środowiska
doktor nauk rolniczych w zakresie kształtowania środowiska
doktor habilitowany nauk rolniczych w zakresie kształtowania środowiska
doktor nauk technicznych w zakresie budownictwa
Wydział Inżynierii Produkcji
doktor nauk rolniczych w zakresie inżynierii rolniczej
doktor habilitowany nauk rolniczych w zakresie inżynierii rolniczej
Wydział Leśny
doktor nauk leśnych w zakresie leśnictwa
doktor habilitowany nauk leśnych w zakresie leśnictwa
Wydział Medycyny
Weterynaryjnej
Wydział Nauk Ekonomicznych
doktor nauk ekonomicznych w zakresie ekonomii
doktor habilitowany nauk ekonomicznych w zakresie ekonomii
Wydział Nauk o Zwierzętach
doktor nauk rolniczych w zakresie zootechniki
doktor habilitowany nauk rolniczych w zakresie zootechniki
Wydział Nauk o Żywieniu
Człowieka i Konsumpcji
Wydział Nauk o Żywności
Wydział Ogrodnictwa
i Architektury Krajobrazu
VI
doktor nauk weterynaryjnych
doktor habilitowany nauk weterynaryjnych
doktor nauk rolniczych w zakresie technologii żywności i żywienia
doktor habilitowany nauk rolniczych w zakresie technologii żywności i
żywienia
doktor nauk rolniczych w zakresie technologii żywności i żywienia
doktor habilitowany nauk rolniczych w zakresie technologii żywności i
żywienia
doktor nauk rolniczych w zakresie ogrodnictwa
doktor habilitowany nauk rolniczych w zakresie ogrodnictwa
Wydział Rolnictwa i Biologii
doktor nauk rolniczych w zakresie agronomii
doktor habilitowany nauk rolniczych w zakresie agronomii
Wydział Technologii Drewna
doktor nauk leśnych w zakresie drzewnictwa
doktor habilitowany nauk leśnych w zakresie drzewnictwa
AKADEMIE NAUK
WOJSKOWYCH
AKADEMIA OBRONY
1 NARODOWEJ
W WARSZAWIE
Wydział Bezpieczeństwa
Narodowego
doktor nauk wojskowych
doktor habiklitowany nauk wojskowych
Strona 41
L.p.
Nazwa jednostki
Wydział Zarządzania
i Dowodzenia
Nazwa stopnia
doktor nauk wojskowych
doktor habilitowany nauk wojskowych
VII UCZELNIE TEOLOGICZNE
CHRZEŚCIJAŃSKA AKADEMIA
1 TEOLOGICZNA
W WARSZAWIE
Wydział Teologiczny
doktor nauk teologicznych
doktor habilitowany nauk teologicznych
PAPIESKA AKADEMIA
2 TEOLOGICZNA
W KRAKOWIE
Wydział Filozoficzny
Wydział Historii i Dziedzictwa
Kulturowego
Wydział Teologiczny
Wydział Teologiczny - Sekcja
w Tarnowie
PAPIESKI WYDZIAŁ
3 TEOLOGICZNY
W WARSZAWIE
PAPIESKI WYDZIAŁ
4 TEOLOGICZNY
WE WROCŁAWIU
doktor nauk humanistycznych w zakresie filozofii
doktor habilitowany nauk humanistycznych w zakresie filozofii
doktor nauk humanistycznych w zakresie historii
doktor habilitowany nauk humanistycznych w zakresie historii
doktor nauk teologicznych
doktor habilitowany nauk teologicznych
doktor nauk teologicznych
doktor nauk teologicznych
doktor habilitowany nauk teologicznych
doktor nauk teologicznych
doktor habilitowany nauk teologicznych
WYŻSZA SZKOŁA
5 FILOZOFICZNO PEDAGOGICZNA
"IGNATIANUM" W KRAKOWIE
Wydział Filozoficzny
doktor nauk humanistycznych w zakresie filozofii
VIII Uczelnie medyczne
1
UNIWERSYTET MEDYCZNY
W BIAŁYMSTOKU
Wydział Farmaceutyczny
z Oddziałem Medycyny
Laboratoryjnej
doktor nauk farmaceutycznych
doktor nauk medycznych w zakresie biologii medycznej
doktor habilitowany nauk medycznych w zakresie biologii medycznej
Strona 42
L.p.
Nazwa jednostki
Wydział Lekarski z Oddziałem
Stomatologii
Wydział Nauk o Zdrowiu
2
Nazwa stopnia
doktor nauk medycznych w zakresie:
- biologii medycznej
- medycyny
- stomatologii
doktor habilitowany nauk medycznych w zakresie:
- biologii medycznej
- medycyny
doktor nauk medycznych w zakresie medycyny
GDAŃSKI UNIWERSYTET
MEDYCZNY
Wydział Farmaceutyczny
z Oddziałem Medycyny
Laboratoryjnej
Wydział Lekarski z Oddziałem
Stomatologicznym
Wydział Nauk o Zdrowiu
z Oddziałem Pielęgniarstwa
doktor nauk farmaceutycznych
doktor habilitowany nauk farmaceutycznych
doktor nauk medycznych w zakresie:
- biologii medycznej
- medycyny
- stomatologii
doktor habilitowany nauk medycznych w zakresie:
- biologii medycznej
- medycyny
- stomatologii
doktor nauk medycznych w zakresie medycyny
UNIWERSYTET MEDYCZNY
3 IM. PROF. FELIKSA
SKUBISZEWSKIEGO
W LUBLINIE
Wydział Farmaceutyczny
z Oddziałem Analityki Medycznej doktor nauk farmaceutycznych
doktor habilitowany nauk farmaceutycznych
I Wydział Lekarski z Oddziałem
Stomatologicznym
II Wydział Lekarski
doktor nauk medycznych w zakresie:
- biologii medycznej
- medycyny
- stomatologii
doktor habilitowany nauk medycznych w zakresie:
- biologii medycznej
- medycyny
- stomatologii
doktor nauk medycznych w zakresie:
- biologia medyczna
- medycyna
doktora habilitowanego nauk medycznych w zakresie:
- biologia medyczna
- medycyna
Strona 43
L.p.
Nazwa jednostki
Wydział Pielęgniarstwa i Nauk
o Zdrowiu
Nazwa stopnia
doktor nauk medycznych w zakresie medycyny
UNIWERSYTET MEDYCZNY IM.
4 KAROLA MARCINKOWSKIEGO
W POZNANIU
5
Wydział Farmaceutyczny
doktor nauk farmaceutycznych
doktor habilitowany nauk farmaceutycznych
Wydział Lekarski I
doktor nauk biologicznych w zakresie biologii
doktor nauk medycznych w zakresie:
- biologii medycznej
- medycyny
doktor habilitowany nauk medycznych w zakresie:
- biologii medycznej
- medycyny
Wydział Lekarski II
doktor nauk medycznych w zakresie:
- biologii medycznej
- medycyny
- stomatologii
doktor habilitowany nauk medycznych w zakresie:
- biologii medycznej
- medycyny
- stomatologii
Wydział Nauk o Zdrowiu
doktor nauk medycznych w zakresie medycyny
doktor habilitowany nauk medycznych w zakresie medycyny
WARSZAWSKI UNIWERSYTET
MEDYCZNY
Centrum Biostruktury
doktor nauk medycznych w zakresie:
- biologii medycznej
- medycyny
Instytut Stomatologii
doktor nauk medycznych w zakresie stomatologii
Wydział Farmaceutyczny
doktor nauk farmaceutycznych
doktor habilitowany nauk farmaceutycznych
I Wydział Lekarski
doktor nauk medycznych w zakresie:
- biologii medycznej
- medycyny
- stomatologii
doktor habilitowany nauk medycznych w zakresie:
- biologii medycznej
- medycyny
- stomatologii
II Wydział Lekarski
doktor nauk medycznych w zakresie medycyny
doktor habilitowany nauk medycznych w zakresie medycyny
Wydział Nauk o Zdrowiu
doktor nauk medycznych w zakresie medycyny
AKADEMIA MEDYCZNA
6 IM. PIASTÓW ŚLĄSKICH
WE WROCŁAWIU
Strona 44
L.p.
Nazwa jednostki
Nazwa stopnia
Wydział Farmaceutyczny
z Oddziałem Analityki Medycznej doktor nauk farmaceutycznych
doktor habilitowany nauk farmaceutycznych
Wydział Lekarski
Wydział Lekarski Kształcenia
Podyplomowego
Wydział Lekarsko Stomatologiczny
7
doktor nauk medycznych w zakresie medycyny
doktor habilitowany nauk medycznych w zakresie medycyny
doktor nauk medycznych w zakresie stomatologii
POMORSKA AKADEMIA
MEDYCZNA W SZCZECINIE
Wydział Lekarski
Wydział Lekarsko Stomatologiczny
Wydział Nauk o Zdrowiu
8
doktor nauk medycznych w zakresie:
- biologii medycznej
- medycyny
doktor habilitowany nauk medycznych w zakresie:
- biologii medycznej
- medycyny
doktor nauk medycznych w zakresie:
- biologii medycznej
- medycyny
doktor habilitowany nauk medycznych w zakresie:
- biologii medycznej
- medycyny
doktor nauk medycznych w zakresie:
- medycyny
- stomatologii
doktor habilitowany nauk medycznych w zakresie stomatologii
doktor nauk medycznych w zakresie medycyny
ŚLĄSKI UNIWERSYTET
MEDYCZNY W KATOWICACH
Wydział Farmaceutyczny
z Oddziałem Medycyny
Laboratoryjnej w Sosnowcu
Wydział Lekarski w Katowicach
Wydział Lekarski z Oddziałem
Lekarsko - Dentystycznym
w Zabrzu
doktor nauk farmaceutycznych
doktor nauk medycznych w zakresie biologii medycznej
doktor habilitowany nauk medycznych w zakresie biologii medycznej
doktor nauk medycznych w zakresie:
- biologii medycznej
- medycyny
doktor habilitowany nauk medycznych w zakresie:
- biologii medycznej
- medycyny
doktor nauk medycznych w zakresie:
- biologii medycznej
- medycyny
- stomatologii
doktor habilitowany nauk medycznych w zakresie:
Strona 45
L.p.
Nazwa jednostki
Nazwa stopnia
- biologii medycznej
- medycyny
- stomatologii
9
Wydział Opieki Zdrowotnej
doktor nauk medycznych w zakresie medycyny
Wydział Zdrowia Publicznego
doktor nauk medycznych w zakresie medycyny
UNIWERSYTET MEDYCZNY
W ŁODZI
Wydział Farmaceutyczny
doktor nauk farmaceutycznych
doktor habilitowany nauk farmaceutycznych
Wydział Fizjoterapii
doktor nauk medycznych w zakresie medycyny
Wydział Lekarski
doktor nauk medycznych w zakresie:
- biologii medycznej
- medycyny
- stomatologii
doktor habilitowany nauk medycznych w zakresie:
- biologii medycznej
- medycyny
- stomatologii
Wydział Lekarsko - Dentystyczny doktor nauk medycznych w zakresie stomatologii
doktor habilitowany nauk medycznych w zakresie stomatologii
Wydział Nauk Biomedycznych
i Kształcenia Podyplomowego
Wydział Nauk o Zdrowiu
Wydział Pielęgniarstwa
i Położnictwa
Wydział Wojskowo - Lekarski
doktor nauk medycznych w zakresie medycyny
doktor habilitowany nauk medycznych w zakresie medycyny
doktor nauk medycznych w zakresie:
- biologii medycznej
- medycyny
doktor nauk medycznych w zakresie medycyny
doktor nauk medycznych w zakresie:
- biologii medycznej
- medycyny
doktor habilitowany nauk medycznych w zakresie:
- biologii medycznej
- medycyny
IX AKADEMIE WYCHOWANIA
AKADEMIA WYCHOWANIA
1 FIZYCZNEGO I SPORTU IM.
JĘDRZEJA ŚNIADECKIEGO
W GDAŃSKU
Wydział Wychowania Fizycznego doktor nauk o kulturze fizycznej
doktor habilitowany nauk o kulturze fizycznej
AKADEMIA WYCHOWANIA
2 FIZYCZNEGO IM. JERZEGO
KUKUCZKI W KATOWICACH
Strona 46
L.p.
Nazwa jednostki
Nazwa stopnia
Wydział Wychowania Fizycznego doktor nauk o kulturze fizycznej
doktor habilitowany nauk o kulturze fizycznej
3 AKADEMIA WYCHOWANIA
FIZYCZNEGO IM. BRONISŁAWA
CZECHA W KRAKOWIE
Wydział Rehabilitacji Ruchowej
doktor nauk o kulturze fizycznej
Wydział Wychowania Fizycznego doktor nauk o kulturze fizycznej
doktor habilitowany nauk o kulturze fizycznej
AKADEMIA WYCHOWANIA
4 FIZYCZNEGO IM. EUGENIUSZA
PIASECKIEGO W POZNANIU
Wydział Wychowania Fizycznego doktor nauk o kulturze fizycznej
doktor habilitowany nauk o kulturze fizycznej
Zamiejscowy Wydział Kultury
Fizycznej w Gorzowie
Wielkopolskim
doktor nauk o kulturze fizycznej
AKADEMIA WYCHOWANIA
5 FIZYCZNEGO JÓZEFA
PIŁSUDSKIEGO
W WARSZAWIE
Wydział Rehabilitacji
doktor nauk o kulturze fizycznej
Wydział Wychowania Fizycznego doktor nauk o kulturze fizycznej
doktor habilitowany nauk o kulturze fizycznej
Zamiejscowy Wydział
Wychowania Fizycznego w BiałejPodlaskiej
doktor nauk o kulturze fizycznej
6
AKADEMIA WYCHOWANIA
FIZYCZNEGO WE WROCŁAWIU
Wydział Fizjoterapii
doktor nauk o kulturze fizycznej
Wydział Wychowania Fizycznego doktor nauk o kulturze fizycznej
doktor habilitowany nauk o kulturze fizycznej
X UCZELNIE ARTYSTYCZNE
AKADEMIA MUZYCZNA
1 IM. FELIKSA
NOWOWIEJSKIEGO
W BYDGOSZCZY
Strona 47
L.p.
Nazwa jednostki
Wydział Dyrygentury Chóralnej
i Edukacji Muzycznej
Nazwa stopnia
doktor sztuk muzycznych w zakresie dyrygentury
Wydział Instrumentalny
doktor sztuk muzycznych w zakresie instrumentalistyki
doktor habilitowany sztuk muzycznych w zakresie instrumentalistyki
Wydział Wokalno - Aktorski
doktor nauk muzycznych w zakresie wokalistyki
AKADEMIA MUZYCZNA
2 IM. STANISŁAWA MONIUSZKI
W GDAŃSKU
Wydział Dyrygentury Chóralnej,
Edukacji Muzycznej i Rytmiki
Wydział Instrumentalny
doktor sztuk muzycznych w zakresie dyrygentury
doktor habilitowany sztuk muzycznych w zakresie dyrygentury
doktor sztuk muzycznych w zakresie instrumentalistyki
doktor habilitowany sztuk muzycznych w zakresie instrumentalistyki
Wydział Wokalno - Aktorski
doktor sztuk muzycznych w zakresie wokalistyki
AKADEMIA MUZYCZNA
3 IM.KAROLA
SZYMANOWSKIEGO
W KATOWICACH
Wydział Kompozycji, Interpretacji,
Edukacji i Jazzu
doktor sztuk muzycznych w zakresie:
- dyrygentury
- kompozycji i teorii muzyki
doktor habilitowany sztuk muzycznych w zakresie kompozycji
teorii muzyki
Wydział Wokalno -
4
doktor sztuk muzycznych w zakresie:
- instrumentalistyki
- wokalistyki
doktor habilitowany sztuk muzycznych w zakresie instrumentalistyki
AKADEMIA MUZYCZNA
W KRAKOWIE
Wydział Instrumentalny
doktor sztuk muzycznych w zakresie instrumentalistyki
doktor habilitowany sztuk muzycznych w zakresie instrumentalistyki
Wydział Twórczości, Interpretacji
i Edukacji Muzycznej
doktor sztuk muzycznych w zakresie:
- dyrygentury
- kompozycji i teorii muzyki
doktor habilitowany sztuk muzycznych w zakresie:
- dyrygentury
- kompozycji i teorii muzyki
AKADEMIA MUZYCZNA
5 IM. GRAŻYNY I KIEJSTUTA
BACEWICZÓW W ŁODZI
i
Strona 48
L.p.
Nazwa jednostki
Wydział Fortepianu, Klawesynu
i Organów
Nazwa stopnia
doktor sztuk muzycznych w zakresie instrumentalistyki
doktor habilitowany sztuk muzycznych w zakresie instrumentalistyki
Wydział Instrumentalny
Wydział Kompozycji, Teorii
Muzyki, Rytmiki i Edukacji
Artystycznej
Wydział Wokalno - Aktorski
doktor sztuk muzycznych w zakresie instrumentalistyki
doktor habilitowany sztuk muzycznych w zakresie instrumentalistyki
doktor sztuk muzycznych w zakresie kompozycji i teorii muzyki
doktor habilitowany sztuk muzycznych w zakresie kompozycji
i teorii muzyki
doktor sztuk muzycznych w zakresie wokalistyki
doktor habilitowany sztuk muzycznych w zakresie wokalistyki
AKADEMIA MUZYCZNA
6 IM. IGNACEGO JANA
PADEREWSKIEGO
W POZNANIU
Wydział Dyrygentury Chóralnej,
Edukacji Muzycznej i Muzyki
Kościelnej
Wydział Instrumentalny
doktor sztuk muzycznych w zakresie dyrygentury
doktor habilitowany sztuk muzycznych w zakresie dyrygentury
doktor sztuk muzycznych w zakresie instrumentalistyki
doktor habilitowany sztuk muzycznych w zakresie instrumentalistyki
UNIWERSYTET MUZYCZNY
7 FRYDERYKA CHOPINA
W WARSZAWIE
Wydział Dyrygentury Chóralnej,
Edukacji Muzycznej, Muzyki
Kościelnej, Rytmiki i Tańca
Wydział Fortepianu, Klawesynu
i Organów
doktor sztuk muzycznych w zakresie dyrygentury
doktor habilitowany sztuk muzycznych w zakresie dyrygentury
doktor sztuk muzycznych w zakresie instrumentalistyki
doktor habilitowany sztuk muzycznych w zakresie instrumentalistyki
Wydział Instrumentalny
doktor sztuk muzycznych w zakresie instrumentalistyki
doktor habilitowany sztuk muzycznych w zakresie instrumentalistyki
Wydział Kompozycji, Dyrygentury
i Teorii Muzyki
doktor nauk humanistycznych w zakresie nauk o sztuce
doktor sztuk muzycznych w zakresie:
- dyrygentury
- kompozycji i teorii muzyki
doktor habilitowany sztuk muzycznych w zakresie:
- dyrygentury
- kompozycji i teorii muzyki
Wydział Reżyserii Dźwięku
doktor sztuk muzycznych w zakresie reżyserii dźwięku
Wydział Wokalny
doktor sztuk muzycznych w zakresie wokalistyki
Strona 49
L.p.
Nazwa jednostki
Nazwa stopnia
doktor habilitowany sztuk muzycznych w zakresie wokalistyki
AKADEMIA MUZYCZNA
8 IM. KAROLA LIPIŃSKIEGO
WE WROCŁAWIU
Wydział Edukacji Muzycznej
doktor sztuk muzycznych w zakresie dyrygentury
Wydział Instrumentalny
doktor sztuk muzycznych w zakresie instrumentalistyki
doktor habilitowany sztuk muzycznych w zakresie instrumentalistyki
Wydział Kompozycji, Dyrygentury,
Teorii Muzyki
i Muzykoterapii
doktor sztuk muzycznych w zakresie kompozycji i teorii muzyki
Wydział Wokalny
9
doktor sztuk muzycznych w zakresie wokalistyki
doktor habilitowany sztuk muzycznych w zakresie wokalistyki
AKADEMIA SZTUK PIĘKNYCH
W GDAŃSKU
Wydział Architektury
i Wzornictwa
doktor sztuk plastycznych w zakresie sztuk projektowych
doktor habilitowany sztuk plastycznych w zakresie sztuk projektowych
Wydział Grafiki
doktor sztuk plastycznych w zakresie sztuk pięknych
doktor habilitowany sztuk plastycznych w zakresie sztuk pięknych
Wydział Malarstwa
doktor sztuk plastycznych w zakresie sztuk pięknych
doktor habilitowany sztuk plastycznych w zakresie sztuk pięknych
Wydział Rzeźby
doktor sztuk plastycznych w zakresie sztuk pięknych
doktor habilitowany sztuk plastycznych w zakresie sztuk pięknych
AKADEMIA SZTUK PIĘKNYCH
10 IM. JANA MATEJKI
W KRAKOWIE
Wydział Architektury Wnętrz
doktor sztuk plastycznych w zakresie sztuk projektowych
doktor habilitowany sztuk plastycznych w zakresie sztuk projektowych
Wydział Form Przemysłowych
doktor sztuk plastycznych w zakresie sztuk projektowych
doktor habilitowany sztuk plastycznych w zakresie sztuk projektowych
Wydział Grafiki
doktor sztuk plastycznych w zakresie sztuk pięknych
doktor habilitowany sztuk plastycznych w zakresie sztuk pięknych
Wydział Konserwacji i Restauracji
Dzieł Sztuki
doktor sztuk plastycznych w zakresie konserwacji i restauracji dzieł
sztuki
doktor habilitowany sztuk plastycznych w zakresie konserwacji i
restauracji dzieł sztuki
Wydział Malarstwa
doktor sztuk plastycznych w zakresie sztuk pięknych
doktor habilitowany sztuk plastycznych w zakresie sztuk pięknych
Wydział Rzeźby
doktor sztuk plastycznych w zakresie sztuk pięknych
doktor habilitowany sztuk plastycznych w zakresie sztuk pięknych
Strona 50
L.p.
Nazwa jednostki
Nazwa stopnia
AKADEMIA SZTUK PIĘKNYCH
11 IM. WŁADYSŁAWA
STRZEMIŃSKIEGO W ŁODZI
12
Wydział Grafiki i Malarstwa
doktor sztuk plastycznych w zakresie sztuk pięknych
doktor habilitowany sztuk plastycznych w zakresie sztuk pięknych
Wydział Tkaniny i Ubioru
doktor sztuk plastycznych w zakresie sztuk projektowych
doktor habilitowany sztuk plastycznych w zakresie sztuk projektowych
AKADEMIA SZTUK PIĘKNYCH
W POZNANIU
Wydział Architektury
i Wzornictwa
Wydział Grafiki
Wydział Komunikacji
Multimedialnej
Wydział Malarstwa
Wydział Rzeźby i Działań
Przestrzennych
13
doktor sztuk plastycznych w zakresie sztuk projektowych
doktor habilitowany sztuk plastycznych w zakresie sztuk projektowych
doktor sztuk plastycznych w zakresie sztuk pięknych
doktor habilitowany sztuk plastycznych w zakresie sztuk pięknych
doktor sztuk plastycznych w zakresie:
-sztuk pięknych
- sztuk projektowych
doktor habilitowany sztuk plastycznych w zakresie:
- sztuk pięknych
- sztuk projektowych
doktor sztuk plastycznych w zakresie sztuk pięknych
doktor habilitowany sztuk plastycznych w zakresie sztuk pięknych
doktor sztuk plastycznych w zakresie sztuk pięknych
doktor habilitowany sztuk plastycznych w zakresie sztuk pięknych
AKADEMIA SZTUK PIĘKNYCH
W WARSZAWIE
Wydział Architektury Wnętrz
doktor sztuk plastycznych w zakresie sztuk projektowych
doktor habilitowany sztuk plastycznych w zakresie sztuk projektowych
Wydział Grafiki
doktor sztuk plastycznych w zakresie sztuk pięknych
doktor habilitowany sztuk plastycznych w zakresie sztuk pięknych
Wydział Konserwacji i Restauracji
Dzieł Sztuki
doktor sztuk plastycznych w zakresie sztuk projektowych
Wydział Malarstwa
doktor sztuk plastycznych w zakresie sztuk pięknych
doktor habilitowany sztuk plastycznych w zakresie sztuk pięknych
Wydział Rzeźby
doktor sztuk plastycznych w zakresie sztuk pięknych
Wydział Wzornictwa
Przemysłowego
doktor sztuk plastycznych w zakresie sztuk projektowych
AKADEMIA SZTUK PIĘKNYCH
14 IM. EUGENIUSZA GEPPERTA
WE WROCŁAWIU
Strona 51
L.p.
Nazwa jednostki
Wydział Architektury Wnętrz
i Wzornictwa
Nazwa stopnia
doktor sztuk plastycznych w zakresie sztuk projektowych
Wydział Ceramiki i Szkła
doktor sztuk plastycznych w zakresie sztuk projektowych
doktor habilitowany sztuk plastycznych w zakresie sztuk projektowych
Wydział Grafiki i Sztuki Mediów
doktor sztuk plastycznych w zakresie sztuk pięknych
doktor habilitowany sztuk plastycznych w zakresie sztuk pięknych
Wydział Malarstwa i Rzeźby
doktor sztuk plastycznych w zakresie sztuk pięknych
doktor habilitowany sztuk plastycznych w zakresie sztuk pięknych
AKADEMIA TEATRALNA
15 IM. ALEKSANDRA
ZELWEROWICZA
W WARSZAWIE
Wydział Aktorski
doktor sztuk teatralnych
doktor habilitowany sztuk teatralnych
PAŃSTWOWA WYŻSZA
SZKOŁA FILMOWA,
16 TELEWIZYJNA I TEATRALNA
IM. LEONA SCHILLERA W
ŁODZI
Wydział Aktorski
Wydział Operatorski i Realizacji
Telewizyjnej
Wydział Reżyserii Filmowej
i Telewizyjnej
doktor sztuk teatralnych
doktor habilitowany sztuk teatralnych
doktor sztuk filmowych
doktor habilitowany sztuk filmowych
doktor sztuk filmowych
doktor habilitowany sztuk filmowych
PAŃSTWOWA WYŻSZA
17 SZKOŁA TEATRALNA
IM. LUDWIKA SOLSKIEGO
W KRAKOWIE
Wydział Aktorski
doktor sztuk teatralnych
doktor habilitowany sztuk teatralnych
WYDZIAŁY ZAMIEJSCOWE
WE WROCŁAWIU
Wydział Lalkarski
XI
doktor sztuk teatralnych
Międzyuczelniane jednostki
organizacyjne
Międzyuczelniany Wydział
Biotechnologii Uniwersytetu
Gdańskiego i Akademii
Medycznej w Gdańsku
XII UCZELNIE NIEPUBLICZNE
doktor nauk biologicznych w zakresie biochemii
Strona 52
L.p.
Nazwa jednostki
Nazwa stopnia
AKADEMIA HUMANISTYCZNA
1 IM. ALEKSANDRA GIEYSZTORA
W PUŁTUSKU
2
Wydział Historyczny
doktor nauk humanistycznych w zakresie historii
Wydział Nauk Politycznych
doktor nauk humanistycznych w zakresie nauki o polityce
AKADEMIA FINANSÓW
W WARSZAWIE
Instytut Finansów
doktor nauk ekonomicznych w zakresie ekonomii
Instytut Zarządzania Ryzykiem
doktor nauk ekonomicznych w zakresie ekonomii
AKADEMIA LEONA
3 KOŹMIŃSKIEGO
W WARSZAWIE
doktor nauk ekonomicznych w zakresie nauki o zarządzaniu
doktor nauk prawnych w zakresie prawa
doktor habilitowany nauk ekonomicznych w zakresie nauki o zarządzaniu
4
COLLEGIUM CIVITAS
W WARSZAWIE
doktor nauk humanistycznych w zakresie socjologii
DOLNOŚLĄSKA SZKOŁA
WYŻSZA EDUKACJI
5 TOWARZYSTWA WIEDZY
POWSZECHNEJ
WE WROCŁAWIU
Wydział Nauk Pedagogicznych
doktor nauk humanistycznych w zakresie pedagogiki
GÓRNOŚLĄSKA WYŻSZA
6 SZKOŁA HANDLOWA IM.
WOJCIECHA KORFANTEGO
W KATOWICACH
Wydział Zarządzania
7
doktor nauk ekonomicznych w zakresie nauki o zarządzaniu
KRAKOWSKA SZKOŁA
WYŻSZA
Wydział Prawa i Administracji
doktor nauk prawnych w zakresie prawa
Wydział Stosunków
Międzynarodowych
doktor nauk humanistycznych w zakresie nauki o polityce
POLSKO - JAPOŃSKA WYŻSZA
8 SZKOŁA TECHNIK
KOMPUTEROWYCH
Wydział Informatyki
SPOŁECZNA WYŻSZA SZKOŁA
9 PRZEDSIĘBIORCZOŚCI
I ZARZĄDZANIA W ŁODZI
doktor nauk technicznych w zakresie informatyki
Strona 53
L.p.
Nazwa jednostki
Nazwa stopnia
doktor nauk ekonomicznych w zakresie nauki o zarządzaniu
Wydział Zarządzania
SZKOŁA WYŻSZA
10 PSYCHOLOGII SPOŁECZNEJ
W WARSZAWIE
Wydział Nauk Humanistycznych
i Społecznych
doktor nauk humanistycznych w zakresie:
- kulturoznawstwa
- socjologii
doktor nauk humanistycznych w zakresie psychologii
doktor habilitowany nauk humanistycznych w zakresie psychologii
Wydział Psychologii
Wydział Zamiejscowy we
Wrocławiu
doktor nauk humanistycznych w zakresie psychologii
WYŻSZA SZKOŁA HANDLU
11 I PRAWA IM. RYSZARDA
ŁAZARSKIEGO
W WARSZAWIE
doktor nauk prawnych w zakresie prawa
Wydział Prawa
WYŻSZA SZKOŁA
12 HUMANISTYCZNO EKONOMICZNA W ŁODZI
Wydział Artystyczny
doktor sztuk plastycznych w zakresie sztuk pięknych
Wydział Humanistyczny
doktor nauk humanistycznych w zakresie językoznawstwa
Wydział Informatyki, Zarządzania
i Transportu
doktor nauk technicznych w zakresie informatyki
WYŻSZA SZKOŁA STUDIÓW
13 MIĘDZYNARODOWYCH
W ŁODZI
Wydział Studiów
Międzynarodowych i Dyplomacji
doktor nauk humanistycznych w zakresie nauki o polityce
WYŻSZA SZKOŁA
ZARZĄDZANIA
14 MARKETINGOWEGO
I JĘZYKÓW OBCYCH
W KATOWICACH
Wydział Humanistyczny
doktor nauk humanistycznych w zakresie językoznawstwa
B. Placówki naukowe Polskiej Akademii Nauk
1
Centrum Astronomiczne im.
Mikołaja Kopernika w Warszawie doktor nauk fizycznych w zakresie astronomii
doktor habilitowany nauk fizycznych w zakresie astronomii
Strona 54
L.p.
Nazwa jednostki
Centrum Badań Kosmicznych
2
w Warszawie
3
Centrum Badań Molekularnych
i Makromolekularnych w Łodzi
4
Instytut Biologii Medycznej
w Łodzi
5
Instytut Agrofizyki im. Bohdana
Dobrzańskiego w Lublinie
6
Instytut Archeologii i Etnologii
w Warszawie
7
Instytut Badań Literackich
w Warszawie
8
Instytut Badań Systemowych
w Warszawie
9
Instytut Biochemii i Biofizyki
w Warszawie
Nazwa stopnia
doktor nauk fizycznych w zakresie geofizyki
doktor habilitowany nauk fizycznych w zakresie geofizyki
doktor nauk chemicznych w zakresie chemii
doktor habilitowany nauk chemicznych w zakresie chemii
doktor nauk medycznych w zakresie biologii medycznej
doktor nauk rolniczych w zakresie agronomii
doktor habilitowany nauk rolniczych w zakresie agronomii
doktor nauk humanistycznych w zakresie:
- archeologii
- etnologii
doktor habilitowany nauk humanistycznych w zakresie:
- archeologii
- etnologii
doktor nauk humanistycznych w zakresie literaturoznawstwa
doktor habilitowany nauk humanistycznych w zakresie literaturoznawstwa
doktor nauk technicznych w zakresie:
- automatyki i robotyki
- informatyki
doktor habilitowany nauk technicznych w zakresie:
- automatyki i robotyki
- informatyki
doktor nauk biologicznych w zakresie:
- biochemii
- biologii
- biofizyki
doktor habilitowany nauk biologicznych w zakresie:
- biochemii
- biologii
- biofizyki
10 Instytut Biocybernetyki i Inżynierii
Biomedycznej w Warszawie
doktor nauk technicznych w zakresie biocybernetyki
i inżynierii biomedycznej
doktor habilitowany nauk technicznych w zakresie biocybernetyki i
inżynierii biomedycznej
Instytut Biologii Doświadczalnej
11 im. Marcelego Nenckiego
w Warszawie
12
Instytut Botaniki im. Władysława
Szafera w Krakowie
doktor nauk biologicznych w zakresie biologii
doktor habilitowany nauk biologicznych w zakresie biologii
doktor nauk biologicznych w zakresie biologii
Strona 55
L.p.
Nazwa jednostki
13
Instytut Budownictwa Wodnego
w Gdańsku
14
Instytut Chemii Bioorganicznej
w Poznaniu
15
Instytut Chemii Fizycznej
w Warszawie
16
Instytut Chemii Organicznej
w Warszawie
17 Instytut Dendrologii w Kórniku
Nazwa stopnia
doktor habilitowany nauk biologicznych w zakresie biologii
doktor nauk technicznych w zakresie budownictwa
doktor nauk chemicznych w zakresie:
- biochemii
- chemii
doktor habilitowany nauk chemicznych w zakresie:
- biochemii
- chemii
doktor nauk chemicznych w zakresie chemii
doktor habilitowany nauk chemicznych w zakresie chemii
doktor nauk chemicznych w zakresie chemii
doktor habilitowany nauk chemicznych w zakresie chemii
doktor nauk biologicznych w zakresie biologii
18 Instytut Farmakologii w Krakowie doktor nauk medycznych w zakresie biologii medycznej
doktor habilitowany nauk medycznych w zakresie biologii medycznej
19
Instytut Filozofii i Socjologii
w Warszawie
doktor nauk humanistycznych w zakresie:
- filozofii
- nauk o poznaniu i komunikacji społecznej
- socjologii
doktor habilitowany nauk humanistycznych w zakresie:
- filozofii
- nauk o poznaniu i komunikacji społecznej
- socjologii
Instytut Fizjologii i Żywienia
20 Zwierząt im. Jana Kielanowskiego
w Jabłonnie
doktor nauk rolniczych w zakresie zootechniki
21 Instytut Fizyki w Warszawie
Instytut Fizyki Jądrowej im.
22 Henryka Niewodniczańskiego
w Krakowie
23
Instytut Fizyki Molekularnej
w Poznaniu
24
Instytut Genetyki Człowieka
w Poznaniu
25
Instytut Genetyki i Hodowli
Zwierząt w Jastrzębcu
doktor nauk fizycznych w zakresie fizyki
doktor habilitowany nauk fizycznych w zakresie fizyki
doktor nauk fizycznych w zakresie fizyki
doktor habilitowany nauk fizycznych w zakresie fizyki
doktor nauk fizycznych w zakresie fizyki
doktor habilitowany nauk fizycznych w zakresie fizyki
doktor nauk medycznych w zakresie biologii medycznej
doktor nauk rolniczych w zakresie zootechniki
doktor habilitowany nauk rolniczych w zakresie zootechniki
Strona 56
L.p.
Nazwa jednostki
Instytut Genetyki Roślin
26
w Poznaniu
27 Instytut Geofizyki w Warszawie
Instytut Geografii
i Przestrzennego
28 Zagospodarowania im.
Stanisława Leszczyckiego w
Warszawie
29
Instytut Historii im. Tadeusza
Manteuffla w Warszawie
30
Instytut Historii Nauki
w Warszawie
Instytut Immunologii i Terapii
31 Doświadczalnej im. Ludwika
Hirszfelda we Wrocławiu
Nazwa stopnia
doktor nauk rolniczych w zakresie agronomii
doktor habilitowany nauk rolniczych w zakresie agronomii
doktor nauk o Ziemi w zakresie geofizyki
doktor habilitowany nauk o Ziemi w zakresie geofizyki
doktor nauk o Ziemi w zakresie geografii
doktor habilitowany nauk o Ziemi w zakresie geografii
doktor nauk humanistycznych w zakresie historii
doktor habilitowany nauk humanistycznych w zakresie historii
doktor nauk humanistycznych w zakresie historii
doktor habilitowany nauk humanistycznych w zakresie historii
doktor nauk biologicznych w zakresie biologii
doktor habilitowany nauk biologicznych w zakresie biologii
32
Instytut Informatyki Teoretycznej
i Stosowanej w Gliwicach
doktor nauk technicznych w zakresie informatyki
33
Instytut Inżynierii Chemicznej
w Gliwicach
doktor nauk technicznych w zakresie inżynierii chemicznej
34
Instytut Języka Polskiego
w Krakowie
doktor nauk humanistycznych w zakresie językoznawstwa
doktor habilitowany nauk humanistycznych w zakresie językoznawstwa
35
Instytut Katalizy i Fizykochemii
Powierzchni w Krakowie
Instytut Maszyn Przepływowych
36 im. Roberta Szewalskiego
w Gdańsku
37
Instytut Matematyczny
w Warszawie
38
Instytut Mechaniki Górotworu
w Krakowie
doktor nauk chemicznych w zakresie chemii
doktor habilitowany nauk chemicznych w zakresie chemii
doktor nauk technicznych w zakresie:
- budowy i eksploatacji maszyn
- mechaniki
doktor habilitowany nauk technicznych w zakresie:
- budowy i eksploatacji maszyn
- mechaniki
doktor nauk matematycznych w zakresie matematyki
doktor habilitowany nauk matematycznych w zakresie matematyki
doktor nauk technicznych w zakresie górnictwa i geologii
inżynierskiej
Strona 57
L.p.
Nazwa jednostki
Nazwa stopnia
Instytut Medycyny Doświadczalnej
39 i Klinicznej
im. Mirosława Mossakowskiego
w Warszawie
doktor nauk biologicznych w zakresie biologii
doktor nauk medycznych w zakresie:
- biologii medycznej
- medycyny
doktor habilitowany nauk medycznych w zakresie:
- biologii medycznej
- medycyny
Instytut Metalurgii i Inżynierii
40 Materiałowej im. Aleksandra
Krupkowskiego w Krakowie
41
Instytut Nauk Ekonomicznych
w Warszawie
42
Instytut Nauk Geologicznych
w Warszawie
43
Instytut Nauk Prawnych
w Warszawie
Instytut Niskich Temperatur
44 i Badań Strukturalnych im.
Włodzimierza Trzebiatowskiego
we Wrocławiu
45 Instytut Oceanologii w Sopocie
46
Instytut Ochrony Przyrody
w Krakowie
doktor nauk technicznych w zakresie:
- inżynierii materiałowej
- metalurgii
doktor habilitowany nauk technicznych w zakresie:
- inżynierii materiałowej
- metalurgii
doktor nauk ekonomicznych w zakresie ekonomii
doktor habilitowany nauk ekonomicznych w zakresie ekonomii
doktor nauk o Ziemi w zakresie geologii
doktor habilitowany nauk o Ziemi w zakresie geologii
doktor nauk prawnych w zakresie prawa
doktor habilitowany nauk prawnych w zakresie prawa
doktor nauk chemicznych w zakresie chemii
doktor habilitowany nauk chemicznych w zakresie chemii
doktor nauk fizycznych w zakresie fizyki
doktor habilitowany nauk fizycznych w zakresie fizyki
doktor nauk o Ziemi w zakresie oceanologii
doktor habilitowany nauk o Ziemi w zakresie oceanologii
doktor nauk biologicznych w zakresie biologii
47 Instytut Paleobiologii im. Romana
Kozłowskiego w Warszawie
doktor nauk o Ziemi w zakresie geologii
doktor habilitowany nauk o Ziemi w zakresie geologii
48 Instytut Parazytologii im. Witolda
Stefańskiego w Warszawie
49
Instytut Podstaw Informatyki
w Warszawie
doktor nauk biologicznych w zakresie biologii
doktor habilitowany nauk biologicznych w zakresie biologii
doktor nauk matematycznych w zakresie informatyki
doktor habilitowany nauk matematycznych w zakresie informatyki
doktor nauk technicznych w zakresie informatyki
doktor habilitowany nauk technicznych w zakresie informatyki
Strona 58
L.p.
Nazwa jednostki
Instytut Podstawowych
50 Problemów Techniki w
Warszawie
51
52
53
Nazwa stopnia
doktor nauk technicznych w zakresie:
- automatyki i robotyki
- budownictwa
- budowy i eksploatacji maszyn
- elektroniki
- informatyki
- inżynierii materiałowej
- mechaniki
doktor habilitowany nauk technicznych w zakresie:
- automatyki i robotyki
- budownictwa
- budowy i eksploatacji maszyn
- elektroniki
- informatyki
- inżynierii materiałowej
- mechaniki
Instytut Psychologii w Warszawie doktor nauk humanistycznych w zakresie psychologii
doktor habilitowany nauk humanistycznych w zakresie psychologii
Instytut Rozrodu Zwierząt i Badań
Żywności w Olsztynie
doktor nauk rolniczych w zakresie:
- technologii żywności i żywienia
- zootechniki
doktor habilitowany nauk rolniczych w zakresie:
- technologii żywności i żywienia
- zootechniki
Instytut Rozwoju Wsi i Rolnictwa
w Warszawie
54 Instytut Slawistyki
doktor nauk ekonomicznych w zakresie ekonomii
doktor nauk humanistycznych w zakresie językoznawstwa
doktor habilitowany nauk humanistycznych w zakresie językoznawstwa
55
Instytut Studiów Politycznych
w Warszawie
doktor nauk humanistycznych w zakresie:
- nauk o polityce
- socjologii
doktor habilitowany nauk humanistycznych w zakresie nauk o polityce
56
Instytut Systematyki i Ewolucji
Zwierząt w Krakowie
doktor nauk biologicznych w zakresie biologii
doktor habilitowany nauk biologicznych w zakresie biologii
57 Instytut Sztuki w Warszawie
doktor nauk humanistycznych w zakresie:
- historii sztuki
- nauki o sztuce
doktor habilitowany nauk humanistycznych w zakresie:
- historii sztuki
- nauki o sztuce
58 Instytut Wysokich Ciśnień
doktor nauk fizycznych w zakresie fizyki
59 Muzeum i Instytut Zoologii
w Warszawie
doktor nauk biologicznych w zakresie biologii
doktor habilitowany nauk biologicznych w zakresie biologii
Strona 59
L.p.
Nazwa jednostki
Nazwa stopnia
60 Zakład Badań Środowiska
Rolniczego i Leśnego w Poznaniu doktor nauk rolniczych w zakresie kształtowania środowiska
C. Instytutu naukowo - badawcze
1 Centralny Instytut Ochrony Pracy Państwowy Instytut Badawczy
w Warszawie
doktor nauk technicznych w zakresie inżynierii środowiska
2
Centrum Medyczne Kształcenia
Podyplomowego w Warszawie
Centrum Onkologii - Instytut
3 im. Marii Skłodowskiej - Curie
w Warszawie
4
Główny Instytut Górnictwa
w Katowicach
5
Instytut Badań Edukacyjnych
w Warszawie
6
Instytut Badawczy Leśnictwa
w Warszawie
Instytut Budownictwa,
7 Mechanizacji i Elektryfikacji
Rolnictwa w Warszawie
8
Instytut "Centrum Zdrowia Matki
Polki" w Łodzi
9
Instytut Chemii i Techniki
Jądrowej w Warszawie
Instytut Chemii Przemysłowej
10 im. Ignacego Mościckiego
w Warszawie
doktor nauk medycznych w zakresie:
- biologii medycznej
- medycyny
doktor habilitowany nauk medycznych w zakresie:
- biologii medycznej
- medycyny
doktor nauk medycznych w zakresie:
- biologii medycznej
- medycyny
doktor habilitowany nauk medycznych w zakresie:
- biologii medycznej
- medycyny
doktor nauk technicznych w zakresie:
- górnictwa i geologii inżynierskiej
- inżynierii środowiska
doktor habilitowany nauk technicznych w zakresie:
- górnictwa i geologii inżynierskiej
- inżynierii środowiska
doktor nauk humanistycznych w zakresie pedagogiki
doktor nauk leśnych w zakresie leśnictwa
doktor habilitowany nauk leśnych w zakresie leśnictwa
doktor nauk rolniczych w zakresie inżynierii rolniczej
doktor habilitowany nauk rolniczych w zakresie inżynierii rolniczej
doktor nauk medycznych w zakresie medycyny
doktor habilitowany nauk medycznych w zakresie medycyny
doktor nauk chemicznych w zakresie chemii
doktor habilitowany nauk chemicznych w zakresie chemii
doktor nauk technicznych w zakresie technologii chemicznej
Strona 60
L.p.
Nazwa jednostki
Instytut Ekonomiki Rolnictwa
11 i Gospodarki Żywnościowej Państwowy Instytut Badawczy
w Warszawie
12
Instytut Elektrotechniki
w Warszawie
13 Instytut Energetyki w Warszawie
14
Instytut Energii Atomowej
w Świerku
15 Instytut Geodezji i Kartografii
16
Instytut Gruźlicy i Chorób Płuc
w Warszawie
17
Instytut Hematologii
i Transfuzjologii w Warszawie
18
Instytut Hodowli i Aklimatyzacji
Roślin w Radzikowie
Instytut Kardiologii im. Prymasa
19 Tysiąclecia Stefana Kardynała
Wyszyńskiego w Warszawie
20
Instytut Łączności - Państwowy
Instytut Badawczy w Warszawie
21
Instytut Matki i Dziecka
w Warszawie
Instytut Mechanizacji
22 Budownictwa i Górnictwa
Skalnego w Warszawie
23
Instytut Mechaniki Precyzyjnej
w Warszawie
Instytut Medycyny Pracy
24 i Zdrowia Środowiskowego
w Sosnowcu
25
Instytut Medycyny Pracy
im. Jerzego Nofera w Łodzi
Nazwa stopnia
doktor nauk ekonomicznych w zakresie ekonomii
doktor habilitowany nauk ekonomicznych w zakresie ekonomii
doktor nauk technicznych w zakresie elektrotechniki
doktor habilitowany nauk technicznych w zakresie elektrotechniki
doktor nauk technicznych w zakresie elektrotechniki
doktor nauk fizycznych w zakresie fizyki
doktor nauk technicznych w zakresie geodezji i kartografii
doktor nauk medycznych w zakresie medycyny
doktor habilitowany nauk medycznych w zakresie medycyny
doktor nauk medycznych w zakresie:
- biologii medycznej
- medycyny
doktor habilitowany nauk medycznych w zakresie medycyny
doktor nauk rolniczych w zakresie agronomii
doktor habilitowany nauk rolniczych w zakresie agronomii
doktor nauk medycznych w zakresie medycyny
doktor habilitowany nauk medycznych w zakresie medycyny
doktor nauk technicznych w zakresie telekomunikacji
doktor nauk medycznych w zakresie medycyny
doktor habilitowany nauk medycznych w zakresie medycyny
doktor nauk technicznych w zakresie budowy i eksploatacji maszyn
doktor nauk technicznych w zakresie inżynierii materiałowej
doktor nauk medycznych w zakresie medycyny
doktor nauk medycznych w zakresie:
- biologii medycznej
- medycyny
doktor habilitowany nauk medycznych w zakresie:
- biologii medycznej
- medycyny
Strona 61
L.p.
Nazwa jednostki
26
Instytut Melioracji i Użytków
Zielonych w Falentach
Nazwa stopnia
doktor nauk rolniczych w zakresie:
- agronomii
- kształtowania środowiska
doktor habilitowany nauk rolniczych w zakresie:
- agronomii
- kształtowania środowiska
27 Instytut Meteorologii i Gospodarki
Wodnej w Warszawie
doktor nauk technicznych w zakresie inżynierii środowiska
Instytut Ochrony Roślin 28 Państwowy Instytut Badawczy
w Poznaniu
doktor nauk rolniczych w zakresie agronomii
doktor habilitowany nauk rolniczych w zakresie agronomii
29 Instytut Odlewnictwa w Krakowie doktor nauk technicznych w zakresie metalurgii
30 Instytut Pracy i Spraw Socjalnych
w Warszawie
doktor nauk ekonomicznych w zakresie ekonomii
31
Instytut Problemów Jądrowych
im. Andrzeja Sołtana w Świerku
32
Instytut Psychiatrii i Neurologii
w Warszawie
Instytut Reumatologii im.
33 prof. dr hab. med. Eleonory
Reicher w Warszawie
Instytut Rybactwa Śródlądowego
34 im. Stanisława Sakowicza
w Olsztynie
35
Instytut Sadownictwa
i Kwiaciarstwa w Skierniewicach
36
Instytut Techniczny Wojsk
Lotniczych w Warszawie
37 Instytut Techniki Budowlanej
38
39
doktor nauk fizycznych w zakresie fizyki
doktor habilitowany nauk fizycznych w zakresie fizyki
doktor nauk medycznych w zakresie medycyny
doktor habilitowany nauk medycznych w zakresie medycyny
doktor nauk medycznych w zakresie medycyny
doktor habilitowany nauk medycznych w zakresie medycyny
doktor nauk rolniczych w zakresie rybactwa
doktor habilitowany nauk rolniczych w zakresie rybactwa
doktor nauk rolniczych w zakresie ogrodnictwa
doktor habilitowany nauk rolniczych w zakresie ogrodnictwa
doktor nauk technicznych w zakresie budowy
i eksploatacji maszyn
doktor nauk technicznych w zakresie budownictwa
Instytut Technologii Elektronowej
w Warszawie
doktor nauk technicznych w zakresie elektroniki
doktor habilitowany nauk technicznych w zakresie elektroniki
Instytut Technologii Materiałów
Elektronicznych w Warszawie
doktor nauk technicznych w zakresie inżynierii
materiałowej
Strona 62
L.p.
Nazwa jednostki
Instytut Uprawy, Nawożenia
40 i Gleboznawstwa - Państwowy
Instytut Badawczy w Puławach
41
Instytut Warzywnictwa
w Skierniewicach
42
Instytut Zachodni im. Zygmunta
Wojciechowskiego w Poznaniu
43 Instytut Zootechniki w Krakowie
44
Instytut "Pomnik - Centrum
Zdrowia Dziecka" w Warszawie
45
Państwowy Instytut Geologiczny
w Warszawie
Państwowy Instytut
46 Weterynaryjny - Państwowy
Instytut Badawczy w Puławach
Nazwa stopnia
doktor nauk rolniczych w zakresie:
- agronomii
- kształtowania środowiska
doktor habilitowany nauk rolniczych w zakresie:
- agronomii
- kształtowania środowiska
doktor nauk rolniczych w zakresie ogrodnictwa
doktor nauk humanistycznych w zakresie:
- historii
- nauki o polityce
doktor nauk rolniczych w zakresie zootechniki
doktor habilitowany nauk rolniczych w zakresie zootechniki
doktor nauk medycznych w zakresie medycyny
doktor habilitowany nauk medycznych w zakresie medycyny
doktor nauk o Ziemi w zakresie geologii
doktor habilitowany nauk o Ziemi w zakresie geologii
doktor nauk weterynaryjnych
doktor habilitowany nauk weterynaryjnych
Narodowy Instytut Zdrowia
47 Publicznego - Państwowy Zakład
Higieny
doktor nauk medycznych w zakresie:
- biologii medycznej
- medycyny
doktor habilitowany nauk medycznych w zakresie:
- biologii medycznej
- medycyny
Przemysłowy Instytut
48 Telekomunikacji
w Warszawie
Wojskowy Instytut Higieny
49 i Epidemiologii im. gen. Karola
Kaczkowskiego w Warszawie
50
Wojskowy Instytut Medycyny
Lotniczej w Warszawie
51
Wojskowy Instytut Medyczny
w Warszawie
doktor nauk technicznych w zakresie elektroniki
doktor nauk biologicznych w zakresie biologii
doktor habilitowany nauk biologicznych w zakresie biologii
doktor nauk medycznych w zakresie:
- biologii medycznej
- medycyny
doktor nauk medycznych w zakresiemedycyny
doktor habilitowany nauk medycznych w zakresie medycyny