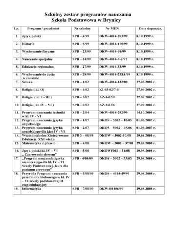
Szkolny zestaw programów nauczania Szkoła Podstawowa w Brynicy

Transkrypt

Szkolny zestaw programów nauczania Szkoła Podstawowa w Brynicy
Szkolny zestaw programów nauczania
Szkoła Podstawowa w Brynicy
Lp.
Program / przedmiot
Nr szkolny
Nr MEN
Data dopuszcz.
1.
Język polski
SPB – 4/99
DKW-4014-203/99
8.10.1999 r.
2.
Historia
SPB – 5/99
DKW-4014-175/99
8.10.1999 r.
3.
Wychowanie fizyczne
SPB – 23/99
DKW-4014-68/99
8.10.1999 r.
4.
Nauczanie specjalne
SPB – 24/99
DKW-4014-S-2/97
8.10.1999 r.
5.
Edukacja regionalna
SPB – 27/99
DKW-4014-33/99
8.10.1999 r.
6.
SPB – 28/99
DKW-4014-253A/99
8.10.1999 r.
7.
Wychowanie do Ŝycia
w rodzinie
Sztuka
SPB – 1/02
DKW-4014-132/00
27.06.2002 r.
8.
Religia ( kl. O)
SPB – 4/02
KI-03-02/7-0
27.09.2002 r.
9.
Religia ( kl. I - III )
SPB – 5/02
AZ-1-02/9
27.09.2002 r.
10. Religia ( kl. IV – VI )
SPB – 6/02
AZ-2-03/6
27.09.2002 r.
11. Program nauczania techniki
w kl. IV - VI
12. Program nauczania języka
angielskiego
13. Program nauczania języka
angielskiego dla klas IV - VI
14. Wczesnoszkolne Zintegrowane
Edukacje XXI wieku
15. Matematyka z plusem
SPB – 2/04
DKW-4014-292/99
14.10.2004 r.
SPB – 1/07
DKOS – 5002 – 10/05
01.06.2007 r.
SPB – 2/07
DKOS – 5002 – 35/06
01.06.2007 r.
SPB 3 – 08/09
DKOW – 5002-10/08
29.08.2008 r.
SPB – 4/08
DKOW – 5002 – 37/08 29.08.2008 r.
SPB – 5/08
DKOW5002 – 31/08
29.08.2008 r.
SPB - 4/08/09
DKOS – 5002 – 35/03
29.08.2008 r.
SPB – 5/08/09
DKOS – 4014-49/99
29.08.2008 r.
SPB – 7/08/09
DKW401456/99
29.08.2008 r.
16. Język polski kl. IV – VI
„ Czarowanie słowem”
17. „Program nauczania języka
niemieckiego dla kl. IV – VI
Szkoły Podstawowej. Kurs dla
poziomu zerowego”
18. Przyroda Program nauczania
przedmiotu blokowego w kl. IV
– VI szkoły podstawowej II
etap edukacyjny
19. Informatyka
Szkolny zestaw programów własnych
Szkoła Podstawowa w Brynicy
Lp.
1.
2.
3.
Program / przedmiot
Nr szkolny
Program edukacji regionalnej SPBW – 1/06
w ramach Koła Regionalnego
„ Powrót do korzeni –
Świętokrzyskie” dla kl. IV - VI
Program edukacji regionalnej SPBW – 2/06
dla kl. I – III„ Gmina
Piekoszów – moja mała
Ojczyzna”
Program Szkolnego Koła
SPBW – 3/06
Matematycznego dla kl. IV – VI
Nr MEN
Data dopuszcz.
Program własny
02.03.2006r.
Program własny
23.03.2006r.
Program własny
11.05.2006r.
4.
Program Edukacji
Europejskiej „ BliŜej Europy”
SPBW – 1/07
Program własny
29.06.2007 r.
5.
Program „ Bezpieczny
Przedszkolak”
SPBW – 1/09
Program własny
01.09.2007 r.
6.
Program Ogniska Misyjnego
SPBW – 2/08/09 Program własny
w Szkole Podstawowej
w Brynicy
Program zajęć wyrównawczych SPBW – 3/08/09 Program własny
dla dzieci z zaburzona
percepcją dla dzieci z Oddziału
Przedszkolnego działającego
przy szkole Podstawowej
w Brynicy
Program Koła Przyrodniczo – SPBW – 4/08/09 Program własny
Regionalnego
24.06.2008 r.
7.
8.
29.08.2008 r.
18.09.2008 r.
Szkolny zestaw programu nauczania kl. I
Niepubliczne Gimnazjum w Brynicy
Lp.
Przedmiot
Nr programu
Nazwa ksiąŜki
Realizujący
„ W moim Kościele”
Wydawnictwo Jedność Kielce
„Świat w słowach i obrazach”
Joanna
Jaworska
Maria Joanna
Popiołek
Agnieszka
Ciołak
Agnieszka
Ciołak
Alina
Dąbrowska
Joanna Durdyń
1.
Religia
AZ – 3-02/9
2.
Język polski
DKW – 4014 – 72/99
3.
Historia
DKW – 4014 – 189/99
4.
DKW – 4014-240/99
5.
Wiedza
o społeczeństwie
Język angielski
6.
Język niemiecki
7.
Matematyka
DKW 4014-/06/00 Aha1
Aha 1b
DKW DPN – 5002-17/08 Matematyka z plusem
8.
131/02
9.
Fizyka
i astronomia
Chemia
10.
Biologia
DKOS – 5002-68/03
11.
Geografia
DKOS-5002-68/03
12.
Plastyka
DKOS – 5002-50/07
13.
Technika
DKW – 4014-26/00
14.
Informatyka
DKW 4014-56/99
15.
Wychowanie
fizyczne
DKW 4014-290/99
DKW – 4014-45/00
DWK – 4014-95/99
„ Przez wieki” - historia do I
gim. Wyd. Nowa Era
Wiedza o społeczeństwie wyd.
śak
Energy 2
„Eureka 2000”
GraŜyna
Ziomkiewicz
Agnieszka
Komisarczyk
Puls Ŝycia
Agnieszka
Komisarczyk
Puls Ziemi
ElŜbieta
Paterek Kaczmarczyk
Małgorzata
Czernikiewicz
Technika i wychowanie
Alina
komunikacyjne dla gimnazjum Dąbrowska
cz. I
Wyd. „Czarny Kruk”
Wojciech
Ziębiński
ElŜbieta
Paterek Kaczmarczyk