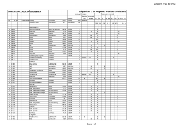
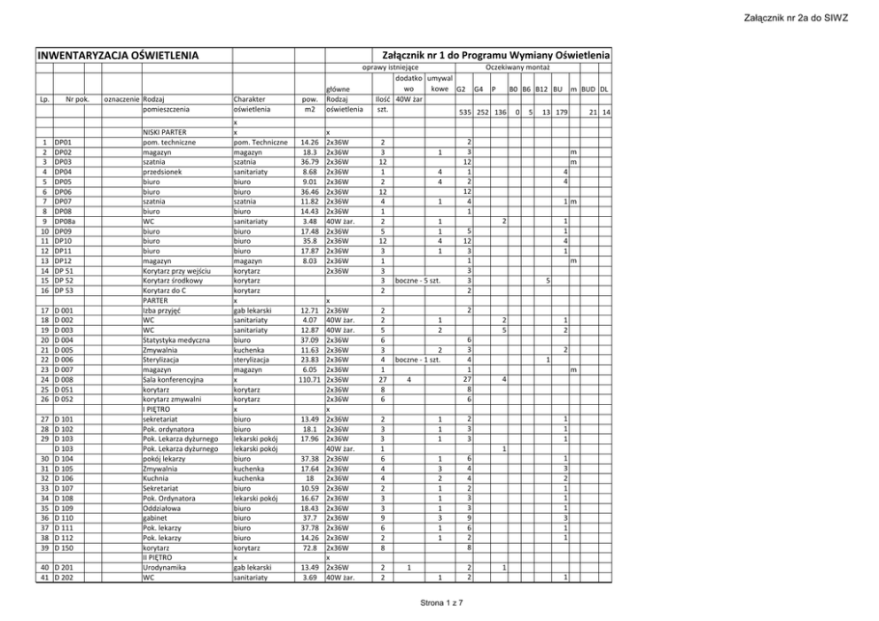
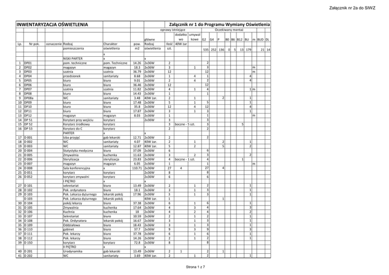
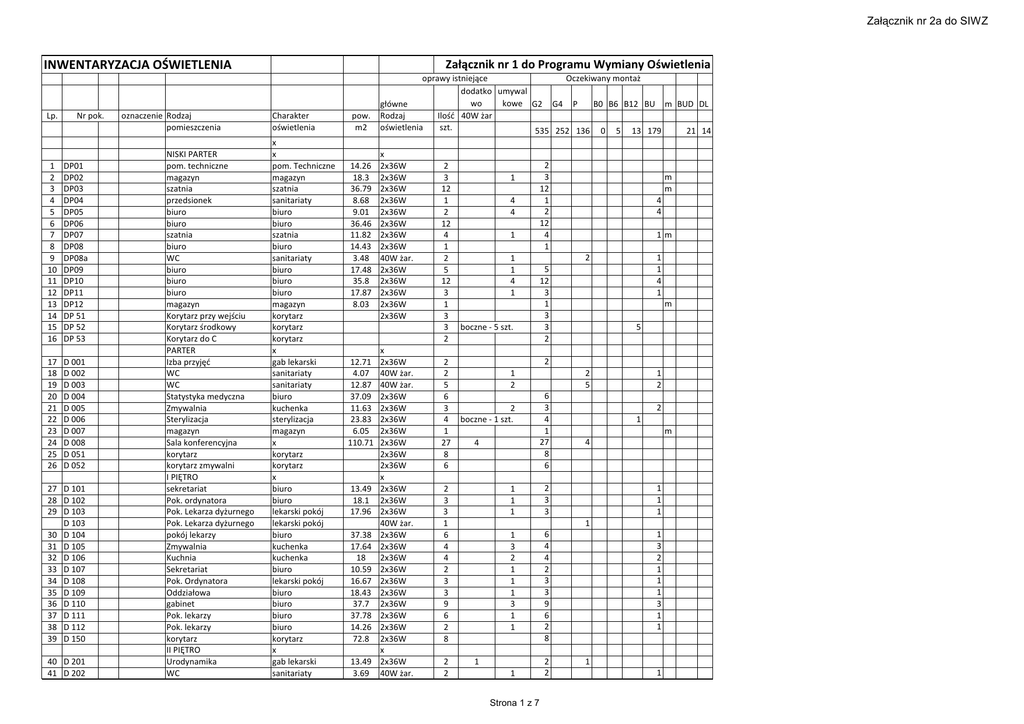
INWENTARYZACJA OŚWIETLENIA

Transkrypt

INWENTARYZACJA OŚWIETLENIA
Załącznik nr 2a do SIWZ
INWENTARYZACJA OŚWIETLENIA
Lp.
Nr pok.
1
2
3
4
5
6
7
8
9
10
11
12
13
14
15
16
DP01
DP02
DP03
DP04
DP05
DP06
DP07
DP08
DP08a
DP09
DP10
DP11
DP12
DP 51
DP 52
DP 53
17
18
19
20
21
22
23
24
25
26
D 001
D 002
D 003
D 004
D 005
D 006
D 007
D 008
D 051
D 052
27 D 101
28 D 102
29 D 103
D 103
30 D 104
31 D 105
32 D 106
33 D 107
34 D 108
35 D 109
36 D 110
37 D 111
38 D 112
39 D 150
40 D 201
41 D 202
oznaczenie Rodzaj
pomieszczenia
NISKI PARTER
pom. techniczne
magazyn
szatnia
przedsionek
biuro
biuro
szatnia
biuro
WC
biuro
biuro
biuro
magazyn
Korytarz przy wejściu
Korytarz środkowy
Korytarz do C
PARTER
Izba przyjęć
WC
WC
Statystyka medyczna
Zmywalnia
Sterylizacja
magazyn
Sala konferencyjna
korytarz
korytarz zmywalni
I PIĘTRO
sekretariat
Pok. ordynatora
Pok. Lekarza dyżurnego
Pok. Lekarza dyżurnego
pokój lekarzy
Zmywalnia
Kuchnia
Sekretariat
Pok. Ordynatora
Oddziałowa
gabinet
Pok. lekarzy
Pok. lekarzy
korytarz
II PIĘTRO
Urodynamika
WC
Załącznik nr 1 do Programu Wymiany Oświetlenia
Charakter
oświetlenia
x
x
pom. Techniczne
magazyn
szatnia
sanitariaty
biuro
biuro
szatnia
biuro
sanitariaty
biuro
biuro
biuro
magazyn
korytarz
korytarz
korytarz
x
gab lekarski
sanitariaty
sanitariaty
biuro
kuchenka
sterylizacja
magazyn
x
korytarz
korytarz
x
biuro
biuro
lekarski pokój
lekarski pokój
biuro
kuchenka
kuchenka
biuro
lekarski pokój
biuro
biuro
biuro
biuro
korytarz
x
gab lekarski
sanitariaty
pow.
m2
14.26
18.3
36.79
8.68
9.01
36.46
11.82
14.43
3.48
17.48
35.8
17.87
8.03
12.71
4.07
12.87
37.09
11.63
23.83
6.05
110.71
13.49
18.1
17.96
37.38
17.64
18
10.59
16.67
18.43
37.7
37.78
14.26
72.8
13.49
3.69
oprawy istniejące
Oczekiwany montaż
dodatko umywal
wo
kowe G2 G4 P
główne
B0 B6 B12 BU m BUD DL
Rodzaj
Ilość 40W żar
oświetlenia
szt.
535 252 136 0 5 13 179
21 14
x
2x36W
2x36W
2x36W
2x36W
2x36W
2x36W
2x36W
2x36W
40W żar.
2x36W
2x36W
2x36W
2x36W
2x36W
x
2x36W
40W żar.
40W żar.
2x36W
2x36W
2x36W
2x36W
2x36W
2x36W
2x36W
x
2x36W
2x36W
2x36W
40W żar.
2x36W
2x36W
2x36W
2x36W
2x36W
2x36W
2x36W
2x36W
2x36W
2x36W
x
2x36W
40W żar.
2
3
1
12
1
4
2
4
12
4
1
1
2
1
5
1
12
4
3
1
1
3
2x36
3 boczne - 5 szt.
2
2
3
12
1
2
12
4
1
2
2
1
5
2
6
3
2
2x36
4 boczne - 1 szt.
1
27
4
8
6
2
2
3
3
1
6
4
4
2
3
3
9
6
2
8
2
2
m
m
4
4
1m
2
5
12
3
1
3
3
2
1
1
4
1
m
5
2
5
6
3
4
1
27
8
6
1
1
1
2
3
3
1
3
2
1
1
1
3
1
1
6
4
4
2
3
3
9
6
2
8
1
2
2
1
m
4
1
1
1
1
1
1
Strona 1 z 7
2
2
1
3
2
1
1
1
3
1
1
1
1
Załącznik nr 2a do SIWZ
Lp.
Nr pok.
42
43
44
45
46
47
48
49
50
51
52
53
54
55
56
57
58
D 203
D 204
D 205
D 206
D 207
D 208
D 209
D 210
D 211
D 211a
D 211b
D 212
D 213
D 214
D 215
D 251
D KL
59
62
63
64
65
66
78
79
118
EP 01
EP 04
EP 05
EP 05a
EP 051
EP 052
EP 12
EP 13
EP 50
119 E 001
120 E 002
E 002
121 E 003
122 E 004
123 E 005
124 E 006
125 E 007
126 E 008
127 E 008w
128 E 009
129 E 010
130 E 011
131 E 012
132 E 013
133 E 014
134 E 015
135 E 016
136 E 017
oznaczenie Rodzaj
pomieszczenia
WC
Pok. lekarza dyżurnego
Pok. Ordynatora
USG
Kuchnia
magazyn
lekarz zakładowy
Sekretariat
Oddziałowa
WC
korytarz
Pok. lekarzy
Pok. lekarzy
Pok. lekarzy
Pok. lekarzy
korytarz
klatka schodowa
BIURA I magazynY
WC
magazyn
Przyłącze energetyczne
magazynek
hall przed windą
korytarz do mag. Apteki
rozdzielnia
rozdzielnia
Korytarz windy
APTEKA
WC
Mag. Leków
Mag. Leków
Mag. Leków
WC
Mag. Leków
Mag. Leków
magazyn
Pok. Socjalny
wejście
Pok. Kierownika
Lab. galenowe
Opatrunkowy
Opatrunkowy
ekspedycja
KAPLICA
Kaplica
REHABILITACJA
sekretariat
ordynator
Sala Rechabilitacyjna
Charakter
oświetlenia
pow.
m2
sanitariaty
lekarski pokój
biuro
gab lekarski
kuchenka
magazyn
gab lekarski
biuro
biuro
sanitariaty
korytarz
biuro
biuro
biuro
biuro
korytarz
schody
x
sanitariaty
magazyn
pom. Techniczne
magazyn
korytarz
korytarz
pom. Techniczne
pom. Techniczne
korytarz
x
sanitariaty
biuro
biuro
biuro
sanitariaty
biuro
biuro
magazyn
socjalny
korytarz
biuro
laboratorium
biuro
biuro
biuro
x
korytarz
x
biuro
biuro
biuro
13.73
17.63
17.8
18.36
18.36
17.52
10.76
11.97
13.26
4.54
5.9
37.9
17.17
18.19
14.26
79
7.28
53.86
7.17
3
10.24
4.58
5.19
8.03
13.93
10.03
2.25
13.8
16.11
5.06
15.74
14.58
16.84
17.33
16.8
17.98
18.15
17.82
16.54
35.14
oprawy istniejące
Oczekiwany montaż
dodatko umywal
wo
kowe G2 G4 P
główne
B0 B6 B12 BU m BUD DL
Rodzaj
Ilość 40W żar
oświetlenia
szt.
535 252 136 0 5 13 179
21 14
1
2
40W żar.
1
2
3
1
2x36W
3
1
3
1
2x36W
3
1
3
1
2x36W
3
1
4
2
2x20W LED
4
2
4
1m
2x36W
4
1
2
1
2x36W
2
1
2
1
2x36W
2
1
3
1
40W żar.
3
1
1
1
40W żar.
1
1
2
40W żar.
1
1
9
1
2x36W
9
1
3
1
2x36W
3
1
3
1
2x36W
3
1
2
1
2x36W
2
1
8
2x36W
8
9
2
2x36W
2x36
9 boczne - 2 szt.
x
1
1
40W żar.
1
1
10
m
2x18W
10
1
40W żar.
1
1
m
40W żar.
1
1
2x36W
1
4
2x36W
4
1
2x36W
1
1
1
40W żar.
2
4
2x36W
4
x
3
1
40W żar.
3
1
6
m
2x36W
6
1m
40W żar.
0
1
4
m
2x36W
4
1
40W żar.
0
1
2
m
2x36W
2
5
m
2x36W
5
2
m
40W żar.
2
4
1
2x36W
4
1
1
2x36W
1
3
2x36W
3
5
1
2x36W
5
1
3
2x36W
3
3
1
2x36W
3
1
3
2x36W
3
x
3
3x40 W
3
x
3
1
2x36W
3
1
3
4x18W
3
6
2x36W
6
Strona 2 z 7
Załącznik nr 2a do SIWZ
Lp.
137
138
139
140
141
142
143
144
145
146
147
148
149
150
151
152
153
154
155
156
Nr pok.
157
158
159
160
161
162
E 018
E 019
E 020
E 021
E 022
E 023
E 024
E 025
E 026
E 027
E 028
E 029
E 030
E 031a
E 031b
E 032
E O33
E O33a
E O34
E O35a
E O35a
E O35b
E 051
E 052
E 053
E 054
E 055
163
164
165
166
167
168
169
170
171
172
173
174
175
176
177
178
179
180
181
182
183
E 101
E 102
E 103
E 104a
E 104b
E 105a
E 105b
E 106
E 107
E 107w
E 108
E 109
E 110
E 112
E 113
E 113a
E 113b
E 114
E 114a
E 114b
E 1PP
oznaczenie Rodzaj
pomieszczenia
Sala Rechabilitacyjna
Pok. lekarzy
kierownik
magazyn
Siłownia
WC
Gab. mgr. recha.
Pok. Terapeutyczny
WC
magazynek
Sala masażu
masaż podwodny
Pok. Gipsowy
WC
Łazienka
Mag. Sprzętu
Gabinet
Gabinet
Pokój
masaż podwodny
masaż podwodny
masaż podwodny
Korytarz apteka
Korytarz
Korytarz windy
Korytarz przed apteką
korytarz kaplicy
PEDIATRIA
WC
WC
WC
Sanitariat
WC
WC
łazienka
Gabinet Zabiegowy
Mag. Bielizny
hall windy
Sala chorych
Sala chorych
Sala chorych
Sala chorych
separatka
wejście
Łazienka
Separatka
wejście
Łazienka
posterunek pielęgniarski
Charakter
oświetlenia
pow.
m2
biuro
35.35
biuro
13.26
biuro
16.52
magazyn
3.6
biuro
25.35
sanitariaty
4.27
biuro
16.12
biuro
25.57
sanitariaty
3.33
magazyn
5.58
biuro
17.23
biuro
17.27
biuro
17.3
sanitariaty
11.7
sanitariaty
6.99
biuro
17.36
biuro
30.56
biuro
5.84
biuro
12.29
biuro
13.63
biuro
biuro
8.49
korytarz
korytarz
korytarz
korytarz
korytarz
x
sanitariaty
7.63
sanitariaty
4.34
sanitariaty
4.34
sanitariaty
6.47
sanitariaty
10.21
sanitariaty
7.4
sanitariaty
10.08
zabiegowy
17.52
magazyn
16.11
korytarz
chorych sala
21.16
chorych sala
17.17
chorych sala
17.27
chorych sala
17.23
chorych sala
16.93
korytarz
sanitariaty
chorych sala
16.93
korytarz
sanitariaty
posterunek pielęgniarski
18
oprawy istniejące
Oczekiwany montaż
dodatko umywal
wo
kowe G2 G4 P
główne
B0 B6 B12 BU m BUD DL
Rodzaj
Ilość 40W żar
oświetlenia
szt.
535 252 136 0 5 13 179
21 14
6
1
2x36W
6
1
3
1
2x36W
3
1
5
1
2x36W
5
1
1
1m
40W żar.
1
1
4
2x36W
4
1
1
40W żar.
1
1
4
2x36W
4
4
2x36W
4
2
1
40W żar.
2
1
1
1m
2x36W
1
1
5
1
2x36W
5
1
3
1
2x36W
3
1
5
2
2x36W
5
2
2
40W żar.
2
4
1
40W żar.
4
1
3
1
2x36W
3
1
7
1
2x36W
7
1
1
2x36W
1
2
2x36W
2
1
2x36W
1
3
1
40W żar.
3
1
2
2x36W
2
5
2x36W
5
11
2x36W
11
4
2x36W
4
1
2x36W
1
1
2x36W
1
x
4
1
40W żar.
4
1
2
40W żar.
2
1
1
40W żar.
1
1
2
1
40W żar.
2
1
1
2
2x36W
1
2
4
40W żar.
4
2
40W żar.
2
3
1
2x36W
3
1
3
3m
40W żar.
3
1
1
m
40W żar.
1
5
1
40W żar.
5
1
3
1
2x36W
3
1
3
1
40W żar.
3
1
3
1
40W żar.
3
1
2
40W żar.
2
1
1
1
1
40W żar.
1
1
2
40W żar.
2
1
1
1
40W żar.
1
1
3
1
2x36W
3
1
Strona 3 z 7
Załącznik nr 2a do SIWZ
Lp.
184
185
186
187
188
189
190
191
192
193
194
195
196
197
198
199
200
201
202
203
204
205
206
207
208
209
210
211
212
Nr pok.
213
214
215
216
217
218
E 115
E 116
E 117
E 118
E 119
E 120
E 120a
E 120b
E 121
E 121a
E 121b
E 122
E 123
E 123a
E 123b
E 124
E 124a
E 124b
E 125
E 126
E 127
E 128
E 129
E 130a
E 130b
E 131a
E 131b
E 132
E 133
E 133
E 134a
E 134b
E 135a
E 135b
E 150
E 151
219
220
221
222
223
224
225
226
227
228
229
230
E 201
E 202
E 203
E 204
E 205
E 206
E 207
E 208
E 208p
E 209
E 209p
E 210
oznaczenie Rodzaj
pomieszczenia
Pok. pielęgniarek
Sala chorych
Sala chorych
Sala chorych
Sala chorych
Separatka
wejście
Łazienka
Separatka
wejście
Łazienka
Aneks do nauki
Izolatka
wejście
Łazienka
Izolatka
wejście
Łazienka
Mag. Medyczny
Sala chorych
Sala chorych
Sala chorych
Świetlica przedszkola
WC
Sanitariat
Sanitariat
WC
Pok. zabiegowy
Brudownik
Brudownik
Umywalnia
WC
WC
magazyn
korytarz
Korytarz windy
CHIRURGIA URAZOWA
WC
WC
WC
magazyn
WC
WC
Świetlica
Sala chorych
przedsionek
Sala chorych
przedsionek
Sala chorych
Charakter
oświetlenia
pow.
m2
socjalny
chorych sala
chorych sala
chorych sala
chorych sala
chorych sala
korytarz
sanitariaty
chorych sala
korytarz
sanitariaty
biuro
chorych sala
korytarz
sanitariaty
chorych sala
korytarz
sanitariaty
magazyn
chorych sala
chorych sala
chorych sala
biuro
sanitariaty
sanitariaty
sanitariaty
sanitariaty
zabiegowy
porządkowe
porządkowe
sanitariaty
sanitariaty
sanitariaty
zabiegowy
korytarz
korytarz
x
sanitariaty
sanitariaty
sanitariaty
magazyn
sanitariaty
sanitariaty
biuro
chorych sala
sanitariaty
chorych sala
sanitariaty
chorych sala
18.55
18.55
18.55
18.55
18.55
17.01
16.98
16.55
16.96
17.01
18.24
25.48
28.76
17.92
17.9
7.84
11.2
9.01
17.46
18.08
17.36
10.24
8.03
13.97
8.71
8.19
3.82
3.82
16.44
17.82
16.23
14.9
26.13
17.17
17.2
oprawy istniejące
Oczekiwany montaż
dodatko umywal
wo
kowe G2 G4 P
główne
B0 B6 B12 BU m BUD DL
Rodzaj
Ilość 40W żar
oświetlenia
szt.
535 252 136 0 5 13 179
21 14
3
1
2x36W
3
1
3
40W żar.
3
3
1
40W żar.
3
1
3
1
40W żar.
3
1
3
1
40W żar.
3
1
2
40W żar.
2
1
1
1
1
40W żar.
1
1
2
40W żar.
2
1
1
1
1
40W żar.
1
1
3
1
40W żar.
3
1
2
40W żar.
2
1
1
1
1
40W żar.
1
1
2
40W żar.
2
1
1
1
1
40W żar.
1
1
3
m
2x36W
3
5
1
40W żar.
5
1
5
1
40W żar.
5
1
3
1
40W żar.
3
1
3
1
40W żar.
3
1
1
1
40W żar.
1
1
4
40W żar.
4
2
3
40W żar.
2
3
4
40W żar.
4
4
2
2x36W
4
2
2
m
40W żar.
2
1
1m
40W żar.
1
1
1
3
40W żar.
1
3
4
40W żar.
4
3
1
40W żar.
3
1
2
2x36W
2
19
2x36W
19
4
2x36W
4
x
4
1
40W żar.
4
1
1
1
40W żar.
1
1
1
1
40W żar.
1
1
2
m
2x36W
2
4
1
40W żar.
4
1
4
1
1
40W żar.
4
1
1
3
2x36W
3
5
1
40W żar.
5
1
1
1
40W żar.
1
1
3
1
40W żar.
3
1
1
1
40W żar.
1
1
3
1
40W żar.
3
1
Strona 4 z 7
Załącznik nr 2a do SIWZ
Lp.
231
232
233
234
235
236
237
238
239
240
241
242
243
244
245
246
247
248
249
250
251
252
253
254
255
256
257
258
259
260
261
262
263
264
265
266
267
268
269
270
271
272
273
274
275
276
277
Nr pok.
E 210p
E 211
E 211p
E 212
E 21p
E 213
E 213p
E 2PP
E 214
E 214p
E 215
E 215p
E 216
E 216p
E 217
E 217p
E 218
E 218p
E 219
E 219p
E 220
E 220p
E 221
E 222
E 222
E 223
E 223p
E 224
E 224p
E 225
E 225p
E 226
E 226p
E 227
E227p
E 228
E 228p
E 229
E 229p
E 230
E 230p
E 231
E 232
E 233
E 250
E 251
E 252
oznaczenie Rodzaj
pomieszczenia
przedsionek
Sala chorych
przedsionek
Sala chorych
przedsionek
Sala chorych
przedsionek
posterunek pielęgniarski
Pok. pielęgniarek
przedsionek
Sala chorych
przedsionek
Sala chorych
przedsionek
Sala chorych
przedsionek
Sala chorych
przedsionek
Sala chorych
przedsionek
Sala chorych
przedsionek
Pok. zabiegowy
Sala chorych
przedsionek
Sala chorych
przedsionek
Sala chorych
przedsionek
przedszkole
przedsionek
Sala chorych
przedsionek
Sala chorych
przedsionek
Sala chorych
przedsionek
Sala chorych
przedsionek
Sala opatrunkowa
przedsionek
Pok. Zabiegowy
magazyn
Łazienka
korytarz L
korytarz N
korytarz windy
PATOLOGIA
NOWORODKÓW
Charakter
oświetlenia
pow.
m2
sanitariaty
chorych sala
17.22
sanitariaty
chorych sala
17.35
sanitariaty
chorych sala
16.62
sanitariaty
posterunek pielęgniarski
18
socjalny
17.99
sanitariaty
chorych sala
17.55
sanitariaty
chorych sala
17.17
sanitariaty
chorych sala
17.17
sanitariaty
chorych sala
16.73
sanitariaty
chorych sala
17.17
sanitariaty
chorych sala
17.31
sanitariaty
zabiegowy
17.35
chorych sala
17.2
sanitariaty
chorych sala
17.17
sanitariaty
chorych sala
17.15
sanitariaty
biuro
25.07
sanitariaty
chorych sala
26.72
sanitariaty
chorych sala
17.6
sanitariaty
chorych sala
17.74
sanitariaty
chorych sala
17.8
sanitariaty
zabiegowy
17.76
sanitariaty
zabiegowy
36.73
magazyn
18.33
sanitariaty
20.82
korytarz
korytarz
korytarz
x
oprawy istniejące
Oczekiwany montaż
dodatko umywal
wo
kowe G2 G4 P
główne
B0 B6 B12 BU m BUD DL
Rodzaj
Ilość 40W żar
oświetlenia
szt.
535 252 136 0 5 13 179
21 14
1
1
40W żar.
1
1
3
1
40W żar.
3
1
1
1
40W żar.
1
1
3
1
40W żar.
3
1
1
1
40W żar.
1
1
3
1
40W żar.
3
1
1
1
40W żar.
1
1
3
1
2x36W
3
1
3
1
40W żar.
3
1
1
1
40W żar.
1
1
3
1
40W żar.
3
1
1
1
40W żar.
1
1
3
1
40W żar.
3
1
1
1
40W żar.
1
1
3
1
40W żar.
3
1
1
40W żar.
1
3
1
40W żar.
3
1
1
1
40W żar.
1
1
3
1
40W żar.
3
1
1
1
40W żar.
1
1
3
1
40W żar.
3
1
1
1
40W żar.
1
1
3
1
2x36W
3
1
3
1
2x36W
3
1
1
1
40W żar.
1
1
3
1
40W żar.
3
1
1
1
40W żar.
1
1
3
1
40W żar.
3
1
1
1
40W żar.
1
1
5
1
40W żar.
5
1
1
1
40W żar.
1
1
5
1
40W żar.
5
1
1
1
40W żar.
1
1
3
1
40W żar.
3
1
1
1
40W żar.
1
1
3
1
40W żar.
3
1
1
1
40W żar.
1
1
3
1
40W żar.
3
1
1
1
40W żar.
1
1
3
1
2x36W
3
1
1
1
40W żar.
1
1
9
3
2x36W
9
3
3
1m
2x36W
3
1
1
2
2
2x36W
1
2
2
6
2x36W
6
12
2x36W
12
4
2x36W
4
x
Strona 5 z 7
Załącznik nr 2a do SIWZ
Lp.
Nr pok.
oznaczenie Rodzaj
pomieszczenia
278
279
280
281
282
283
284
285
286
287
288
289
290
291
292
293
294
295
296
297
298
299
300
301
302
303
1
1
2
2
304
305
306
307
308
309
310
311
312
313
314
315
3
3
4
4
5
5
6
6
7
7
8
E3.1
E3.2
E3.3
E3.4
E3.5
E3.5a
E3.6
E3.7
E3.8
E3.9
E3.10
E3.11
E3.12
E3.13
E3.14
E3.15
E3.16
E3.17
E3.17
E3.18
E3.19
E3.20
E3.20
E3.21
E3.21
E3.22
E3.22
E3.23
E3.24
E3.25
E3.25
E3.26
E3.27
Hall windy
magazyn
magazyn
Łazienka
Korytarz
korytarz
łazienka
gabinet
porzadkowe
Brudownik
magazyn
gabinet
myjnia inkubatorów
magazyn
korytarz
Klatka schodowa
łazienka
lekarski pokój
lekarski pokój
lekarski pokój
łazienka
sekretariat
sekretariat
ordynator
ordynator
Sala chorych
Sala chorych
łazienka
śluza
Sala
Sala
łazienka
Punkt pielęgniarski
E3.28
E3.29
E3.29
E3.30
E3.30
E3.31
E3.32
E3.33
E3.33
E3.34
E3.34
E3.35
E3.36
E3.36
E3.37
Pok. pielęgniarek
sala
sala
sala
sala
łazienka
zabiegowy
sala
sala
sala
sala
łazienka
sala
sala
sala
Charakter
oświetlenia
pow.
m2
korytarz
szatnia
szatnia
sanitariaty
korytarz
korytarz
sanitariaty
gab. Lekarski
porządkowe
porządkowe
magazyn
biuro
sanitariaty
magazyn
korytarz
korytarz
sanitariaty
biuro
biuro
socjalny
sanitariaty
biuro
biuro
biuro
biuro
chorych sala
chorych sala
sanitariaty
sanitariaty
chorych sala
chorych sala
sanitariaty
posterunek
pielęgniarski
socjalny
chorych sala
chorych sala
chorych sala
chorych sala
sanitariaty
zabiegowy
chorych sala
chorych sala
chorych sala
chorych sala
sanitariaty
chorych sala
chorych sala
chorych sala
16.26
4.77
5.53
5.13
53.38
73.46
4.04
12
3.19
8.31
3.5
11.72
6.15
16.62
9.3
7.58
4.48
27.27
11.5
3.03
16.93
18.75
16.41
2.7
3.17
10.58
3.33
3.95
oprawy istniejące
Oczekiwany montaż
dodatko umywal
wo
kowe G2 G4 P
główne
B0 B6 B12 BU
Rodzaj
Ilość 40W żar
oświetlenia
szt.
535 252 136 0 5 13 179
2
4x18W
2
1
downl. 2x14 zamianan
1
na plafon ?
1
4x18W
1
1
4x18W
1
12
4x18W
12
7
4x18W
7
1
plafon 2x14
1
1
4
4x18W
4
1
1
plafon 2x14
1
2
4x18W
2
1
1
plafon 2x14
1
2
4x18W
2
1
1
4x18W
1
2
4x18W
2
2
4x18W
2
2
2x36W
2
boczne
2
plafon 2x14
2
1
6
4x18W
6
downl. 2x14
4
2
4x18W
2
1
plafon 2x14
1
1
4
4x18W
4
downl. 2x14
2
4
4x18W
4
downl. 2x14
2
3
2x36W
3
1
4x18W
1
1
plafon 2x14
1
1
1
4x18W
1
2
2x36W
2
1
4x18W
1
1
plafon 2x14
1
1
downl. 2x14
6
m BUD DL
21 14
1
1
m
m
m
1
1
m
1
4
1
2
2
1
1
6
12.06 4x18W
16.88 2x36W
4x18W
17.16 2x36W
4x18W
3.16 plafon 2x14
18.82 4x18w
17.36 2x36W
4x18W
16.73 2x36W
4x18W
3.41 plafon 2x14
15.86 2x36W
4x18W
16.63 2x36W
3
2
1
2
1
1
8
2
1
2
1
1
2
1
2
3
1
1
2
1
2
1
1
1
1
1
1
1
8
2
1
2
1
1
2
1
2
Strona 6 z 7
Załącznik nr 2a do SIWZ
Lp.
316
317
318
319
320
321
322
323
324
325
326
327
328
329
330
331
332
333
334
335
336
337
338
339
340
341
342
343
344
345
346
347
348
Nr pok.
oznaczenie Rodzaj
pomieszczenia
8 E3.37
E3.38
9 E3.39
9 E3.39
E3.40
10 E3.41
10 E3.41
11 E3.42
11 E3.42
E3.43
E3.44
12 E3.45
12 E3.45
E3.46
13 E3.47
13 E3.47
E3.48
E3.50
E3.52
E3.53
E3.54
14 E3.55
14 E3.55
15 E3.56
15 E3.56
E3.57
16 E3.58
16 E3.58
17 E3.59
17 E3.59
E3.60
E3.61
18 E3.62
18 E3.62
E3.63
E3.64
E3.65
E3.66
E3.67
E3.68
E3.69
E3.70
E KL L
E KL N
Charakter
oświetlenia
sala
chorych sala
łazienka
sanitariaty
sala
chorych sala
sala
chorych sala
łazienka
sanitariaty
sala
chorych sala
sala
chorych sala
sala
chorych sala
sala
chorych sala
łazienka
sanitariaty
śluza
sanitariaty
sala
chorych sala
sala
chorych sala
łazienka
sanitariaty
sala
chorych sala
sala
chorych sala
śluza
sanitariaty
korytarz
korytarz
śluza
sanitariaty
Brudownik
porządkowe
zabiegowy
zabiegowy
sala
chorych sala
sala
chorych sala
sala
chorych sala
sala
chorych sala
łazienka
sanitariaty
sala
chorych sala
sala
chorych sala
sala
chorych sala
sala
chorych sala
łazienka
sanitariaty
łazienka izolatki naprzeciwkosanitariaty
sala
chorych sala
sala
chorych sala
łazienka
sanitariaty
Łazienka
sanitariaty
kuchenka
kuchenka
przedsionek
korytarz
zmywalnia
kuchenka
kuchenka
kuchenka
magazyn
magazyn
śluza
sanitariaty
klatka schodowa
korytarz
klatka schodowa
korytarz
pow.
m2
3.08
14.62
3.45
11.32
11.32
11.14
11.14
3.1
4
16.51
3.16
25.38
4.21
37.7
5.83
5.35
17.91
17.05
17.01
3.15
17.66
15.85
3.22
3.11
15.02
3.09
3.9
10.46
2
13.4
15.67
2.28
2.91
oprawy istniejące
Oczekiwany montaż
dodatko umywal
wo
kowe G2 G4 P
główne
B0 B6 B12 BU m BUD DL
Rodzaj
Ilość 40W żar
oświetlenia
szt.
535 252 136 0 5 13 179
21 14
1
4x18W
1
1
1
plafon 2x14
1
1
2
2x36W
2
1
4x18W
1
1
1
plafon 2x14
1
1
3
2x36W
3
1
4x18W
1
2
2x36W
2
1
4x18W
1
1
1
plafon 2x14
1
1
1
4x18W
1
2
2x36W
2
1
4x18W
1
1
1
plafon 2x14
1
1
4
2x36W
4
2
4x18W
2
1
4x18W
1
6
4x18W
6
1
4x18W
1
1
m
1
plafon 2x14
1
1
7
4x18W
7
1
2
2x36W
2
1
4x18W
1
2
2x36W
2
1
4x18W
1
1
1
plafon 2x14
1
1
2
2x36W
2
2
4x18W
2
2
2x36W
2
1
4x18W
1
1
1
plafon 2x14
1
1
1
1
plafon 2x14
1
1
2
2x36W
2
1
4x18W
1
1
1
plafon 2x14
1
1
1
1
plafon 2x14
1
1
3
4x18W
3
1
4x18W
1
3
2x36W
3
3
2x36W
3
1
m
plafon 2x14
1
1
4x18W
1
9
1
2x36W
9
1
9
1
2x36W
9
1
W poszczególnych przypadkach, ze względu na konieczność osiągnięcia właściwego doswietlenia pomieszczeń, typy opraw mogą ulec zmianie za zgodą Zamawiającego
Strona 7 z 7