Harmonogram zajęć z przedmiotu Nowoczesne Metody

Transkrypt

Harmonogram zajęć z przedmiotu Nowoczesne Metody
Harmonogram zajęć z przedmiotu Nowoczesne Metody Analizy Żywności Semestr I Studia Magisterskie – studia stacjonarne kierunek: Żywienie
Człowieka i Ocena Żywności, Rok 2016/17
Tematy realizowane w Zakładzie Analiz Instrumentalnych
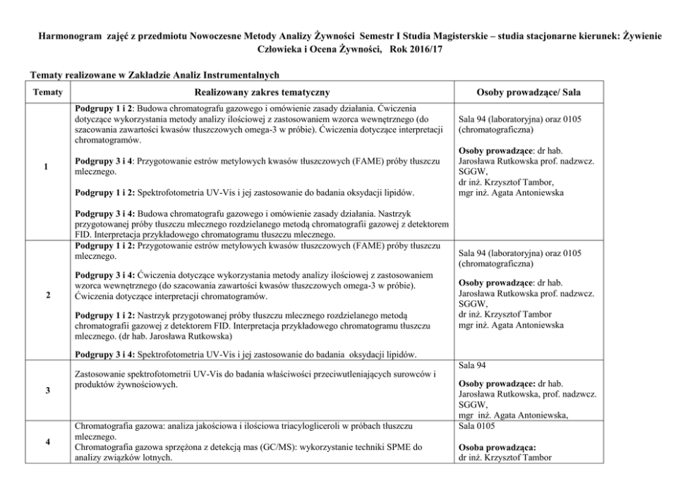
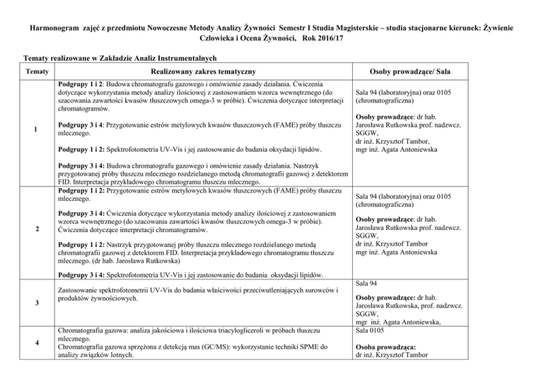
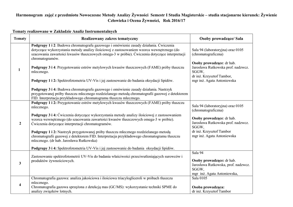
Tematy
Realizowany zakres tematyczny
Podgrupy 1 i 2: Budowa chromatografu gazowego i omówienie zasady działania. Ćwiczenia
dotyczące wykorzystania metody analizy ilościowej z zastosowaniem wzorca wewnętrznego (do
szacowania zawartości kwasów tłuszczowych omega-3 w próbie). Ćwiczenia dotyczące interpretacji
chromatogramów.
1
Podgrupy 3 i 4: Przygotowanie estrów metylowych kwasów tłuszczowych (FAME) próby tłuszczu
mlecznego.
Podgrupy 1 i 2: Spektrofotometria UV-Vis i jej zastosowanie do badania oksydacji lipidów.
Podgrupy 3 i 4: Budowa chromatografu gazowego i omówienie zasady działania. Nastrzyk
przygotowanej próby tłuszczu mlecznego rozdzielanego metodą chromatografii gazowej z detektorem
FID. Interpretacja przykładowego chromatogramu tłuszczu mlecznego.
Podgrupy 1 i 2: Przygotowanie estrów metylowych kwasów tłuszczowych (FAME) próby tłuszczu
mlecznego.
2
Podgrupy 3 i 4: Ćwiczenia dotyczące wykorzystania metody analizy ilościowej z zastosowaniem
wzorca wewnętrznego (do szacowania zawartości kwasów tłuszczowych omega-3 w próbie).
Ćwiczenia dotyczące interpretacji chromatogramów.
Podgrupy 1 i 2: Nastrzyk przygotowanej próby tłuszczu mlecznego rozdzielanego metodą
chromatografii gazowej z detektorem FID. Interpretacja przykładowego chromatogramu tłuszczu
mlecznego. (dr hab. Jarosława Rutkowska)
Osoby prowadzące/ Sala
Sala 94 (laboratoryjna) oraz 0105
(chromatograficzna)
Osoby prowadzące: dr hab.
Jarosława Rutkowska prof. nadzwcz.
SGGW,
dr inż. Krzysztof Tambor,
mgr inż. Agata Antoniewska
Sala 94 (laboratoryjna) oraz 0105
(chromatograficzna)
Osoby prowadzące: dr hab.
Jarosława Rutkowska prof. nadzwcz.
SGGW,
dr inż. Krzysztof Tambor
mgr inż. Agata Antoniewska
Podgrupy 3 i 4: Spektrofotometria UV-Vis i jej zastosowanie do badania oksydacji lipidów.
3
4
Zastosowanie spektrofotometrii UV-Vis do badania właściwości przeciwutleniających surowców i
produktów żywnościowych.
Chromatografia gazowa: analiza jakościowa i ilościowa triacylogliceroli w próbach tłuszczu
mlecznego.
Chromatografia gazowa sprzężona z detekcją mas (GC/MS): wykorzystanie techniki SPME do
analizy związków lotnych.
Sala 94
Osoby prowadzące: dr hab.
Jarosława Rutkowska, prof. nadzwcz.
SGGW,
mgr inż. Agata Antoniewska,
Sala 0105
Osoba prowadząca:
dr inż. Krzysztof Tambor
Tematy realizowane w Katedrze Techniki i Projektowania Żywności
Temat
Temat 1
Realizowany zakres tematyczny
Metoda wykrywania zafałszowań produktów spożywczych z wykorzystaniem techniki
różnicowej kalorymetrii skaningowej DSC. Wyznaczanie właściwości cieplnych żywności
(ciepło właściwe, temperatura topnienia, temperatura krzepnięcia, itp.).
Temat 2
Zastosowanie systemów optycznych z układem automatycznej wizualizacji i analizy obrazu
do oceny wielkości oraz kształtu cząstek sypkich surowców spożywczych (dyspersja na
sucho i na mokro) na przykładzie aparatu Morhologi G3S.
Temat 3
Ocena zdolności i siły żelowania różnych substancji zagęszczających z wykorzystaniem
pomiarów reologicznych. Kolokwium zaliczeniowe.
Osoby prowadzące / sala
Dr inż. Jarosław Wyrwisz
Dr inż. Marcin Kurek
Sala 0104/HP7
Dr inż. Jarosław Wyrwisz
Dr inż. Marcin Kurek
Sala 0104/HP7
Dr inż. Jarosław Wyrwisz
Dr inż. Marcin Kurek
Sala 0104/HP7
Tematy realizowane w Zakładzie Żywności Ekologicznej (Katedra Żywności Funkcjonalnej, Ekologicznej i Towaroznawstwa)
Temat
Temat 1
Temat 2
Temat 3
Realizowany zakres tematyczny
Osoby prowadzące/ Sala
Teoretyczne i praktyczne zapoznanie z zasadą działania sprzętu do analizy HPLC (wysokosprawnej
chromatografii cieczowej): omówienie znaczenia poszczególnych modułów urządzenia i ich udziału w analizie
żywności. Zasady chromatograficznego rozdziału karotenoidów.
Osoba prowadząca:
Ekstrakcja, oznaczenie jakościowe (identyfikacja) oraz ilościowe barwników karotenoidowych w wybranych dr hab. Ewelina Hallmann
warzywach i owocach z produkcji ekologicznej i konwencjonalnej.
Porównanie dwóch metod analizy barwników antocyjanowych. Zasady chromatograficznego rozdziału Sala 1110
antocyjanów. Ekstrakcja, oznaczenie jakościowe (identyfikacja) oraz ilościowe barwników antocyjanowych w
wybranych owocach z produkcji ekologicznej i konwencjonalnej.
Porównanie dwóch metod analizy kwasów organicznych. Zasady chromatograficznego rozdziału kwasów
organicznych. Ekstrakcja, oznaczenie jakościowe (identyfikacja) oraz ilościowe kwasów organicznych w
wybranych warzywach z produkcji ekologicznej i konwencjonalnej.