strażnik - PUP Strzelce Opolskie

Transkrypt

strażnik - PUP Strzelce Opolskie
Powiatowy Urząd Pracy w Strzelcach Opolskich
http://pup-strzelce.pl/oferta/4596/strażnik
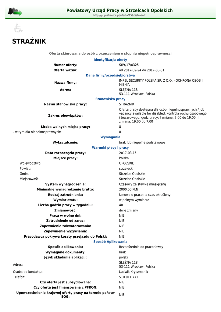
STRAŻNIK
Oferta skierowana do osób z orzeczeniem o stopniu niepełnosprawności
Identyfikacja oferty
Numer oferty:
StPr/17/0325
Oferta ważna:
od 2017-02-24 do 2017-05-31
Dane firmy/przedsiębiorstwa
IMPEL SECURITY POLSKA SP. Z O.O. - OCHRONA OSÓB I
MIENIA
Nazwa firmy:
Adres:
ŚLĘŻNA 118
53-111 Wrocław, Polska
Stanowisko pracy
Nazwa stanowiska pracy:
STRAŻNIK
Oferta pracy dostępna dla osób niepełnosprawnych / Job
vacancy available for disabled. kontrola ruchu osobowego
i towarowego; godz.pracy: I zmiana: 7:00 do 19:00, II
zmiana: 19:00 do 7:00
Zakres obowiązków:
Liczba wolnych miejsc pracy:
8
- w tym dla niepełnosprawnych:
8
Wymagania
Wykształcenie:
brak lub niepełne podstawowe
Warunki płacy i pracy
Data rozpoczęcia pracy:
2017-03-15
Miejsce pracy:
Polska
Województwo:
OPOLSKIE
Powiat:
strzelecki
Gmina:
Strzelce Opolskie
Miejscowość:
Strzelce Opolskie
System wynagrodzenia:
Czasowy ze stawką miesięczną
Minimalne wynagrodzenie brutto:
Rodzaj zatrudnienia:
2000.00 PLN
Umowa o pracę na czas określony
Wymiar etatu:
w pełnym wymiarze
Liczba godzin pracy w tygodniu:
40
Zmianowość:
dwie zmiany
Praca w wolne dni:
NIE
Zatrudnienie od zaraz:
NIE
Zapewnienie zakwaterowania:
NIE
Zapewnienie wyżywienia:
NIE
Pracodawca pokrywa koszty przejazdu do Polski:
NIE
Sposób Aplikowania
Sposób aplikowania:
Bezpośrednio do pracodawcy
Wymagane dokumenty:
brak
Język składania aplikacji:
polski
Adres:
ŚLĘŻNA 118
53-111 Wrocław, Polska
Osoba do kontaktu:
Ludwik Kryczmanik
Telefon:
510 011 771
Czy oferta jest subsydiowana:
NIE
Czy oferta jest finansowana z PFRON:
NIE
Upowszechnienie krajowej oferty pracy na terenie państw
EOG:
NIE