Rodzaj punktu poboru Adres/ulica kod Miejscowość Nr licznika Kod

Transkrypt

Rodzaj punktu poboru Adres/ulica kod Miejscowość Nr licznika Kod
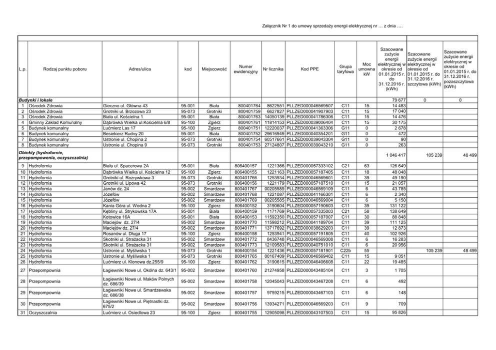
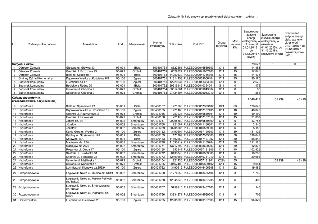
Załącznik Nr 1 do umowy sprzedaży energii elektrycznej nr … z dnia ….
L.p.
Rodzaj punktu poboru
Budynki i lokale
1 Ośrodek Zdrowia
2 Ośrodek Zdrowia
3 Ośrodek Zdrowia
4 Gminny Zakład Komunalny
5 Budynek komunalny
6 Budynek komunalny
7 Budynek komunalny
8 Budynek komunalny
Adres/ulica
Gieczno ul. Główna 43
Grotniki ul. Brzozowa 23
Biała ul. Kościelna 1
Dąbrówka Wielka ul.Kościelna 6/8
Lućmierz Las 17
Besiekierz Rudny 20
Ustronie ul. Chopina 2
Ustronie ul. Chopina 9
kod
Miejscowość
95-001
95-073
95-001
95-100
95-100
95-001
95-073
95-073
Biała
Grotniki
Biała
Zgierz
Zgierz
Biała
Grotniki
Grotniki
Numer
ewidencyjny
800401764
800401759
800401763
800401761
800401751
800401752
800401754
800401753
Nr licznika
Kod PPE
Grupa
taryfowa
8622551
6627827
14050139
11814153
12220037
29616949
60517661
27124807
PLLZED000046569507
PLLZED000041907903
PLLZED000041786306
PLLZED000039006404
PLLZED000041363306
PLLZED000040354201
PLLZED000039043304
PLLZED000039043210
C11
C11
C11
C11
G11
G11
G11
G11
Szacowane
zużycie
energii
Moc
elektrycznej w
umowna okresie od
kW
01.01.2015 r.
do
31.12.2016 r.
(kWh)
15
15
15
15
0
0
0
0
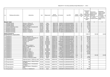
Obiekty (hydrofornie,
przepompowenia, oczyszczalnia)
9
10
11
12
13
14
15
16
17
18
19
20
21
22
23
24
25
26
Hydrofornia
Hydrofornia
Hydrofornia
Hydrofornia
Hydrofornia
Hydrofornia
Hydrofornia
Hydrofornia
Hydrofornia
Hydrofornia
Hydrofornia
Hydrofornia
Hydrofornia
Hydrofornia
Hydrofornia
Hydrofornia
Hydrofornia
Hydrofornia
27 Przepompownia
28 Przepompownia
29 Przepompownia
30 Przepompownia
31 Oczyszczalnia
79 677
14 483
17 040
14 476
30 175
2 678
472
90
263
1 046 417
Biała ul. Spacerowa 2A
Dąbrówka Wielka ul. Kościelna 12
Grotniki ul. Rozrywkowa 3
Grotniki ul. Lipowa 42
Janów dz. 24
Józefów
Józefów
Kania Góra ul. Wodna 2
Kębliny ul. Strykowska 17A
Kotowice 16A
Maciejów dz. 27/4
Maciejów dz. 27/4
Rosanów ul. Długa 17
Skotniki ul. Strażacka 31
Skotniki ul. Strażacka 31
Ustronie ul. Myśliwska 1
Ustronie ul. Myśliwska 1
Lućmierz ul. Klonowa dz.255/9
95-001
95-100
95-073
95-073
95-002
95-002
95-002
95-100
95-001
95-001
95-002
95-002
95-100
95-002
95-002
95-073
95-073
95-100
Biała
Zgierz
Grotniki
Grotniki
Smardzew
Smardzew
Smardzew
Zgierz
Biała
Biała
Smardzew
Smardzew
Zgierz
Smardzew
Smardzew
Grotniki
Grotniki
Zgierz
806400157
806400155
800401766
806400156
800401767
800401768
800401769
806400152
806400159
806400153
800401770
800401771
806400158
800401772
800401773
806400154
800401765
800401762
1221366
1221163
1253934
1221179
00205589
1221087
00205585
3190604
1171769
11592350
11598212
13717692
1253941
8436748
12109583
1221436
00167409
3190615
PLLZED000057333102
PLLZED000057187405
PLLZED000046569601
PLLZED000057187510
PLLZED000046569109
PLLZED000041166301
PLLZED000046569004
PLLZED000057190603
PLLZED000057335003
PLLZED000057187007
PLLZED000041189704
PLLZED000038629203
PLLZED000057191805
PLLZED000046569308
PLLZED000040751010
PLLZED000057181901
PLLZED000046569402
PLLZED000046406608
C21
C11
C11
C11
C11
C11
C11
C11
C21
C11
C11
C11
C11
C11
C11
C22b
C11
C11
63
18
39
15
6
6
6
39
58
30
39
39
40
6
6
55
15
22
126 649
48 048
49 190
21 057
43 785
2 340
5 150
131 122
138 649
88 848
111 125
12 873
102 926
16 283
20 956
Łagiewniki Nowe ul. Okólna dz. 643/1
95-002
Smardzew
800401760
21274958 PLLZED000043485104
C11
3
1 705
95-002
Smardzew
800401758
12045043 PLLZED000043467208
C11
6
492
95-002
Smardzew
800401757
9759215 PLLZED000043467103
C11
6
148
95-002
Smardzew
800401756
13934271 PLLZED000046569203
C11
9
709
95-100
Zgierz
800401755
12905098 PLLZED000043107503
C11
15
95 826
Łagiewniki Nowe ul. Maków Polnych
dz. 686/39
Łagiewniki Nowe ul. Smardzewska
dz. 686/38
Łagiewniki Nowe ul. Piętnastki dz.
675/2
Lućmierz ul. Osiedlowa 23
9 051
19 485
Szacowane
zużycie energii
elektrycznej w
okresie od
01.01.2015 r. do
31.12.2016 r.
szczytowa (kWh)
Szacowane
zużycie energii
elektrycznej w
okresie od
01.01.2015 r. do
31.12.2016 r.
pozaszczytowa
(kWh)
0
0
105 239
48 499
105 239
48 499