Załącznik -

Transkrypt

Załącznik -
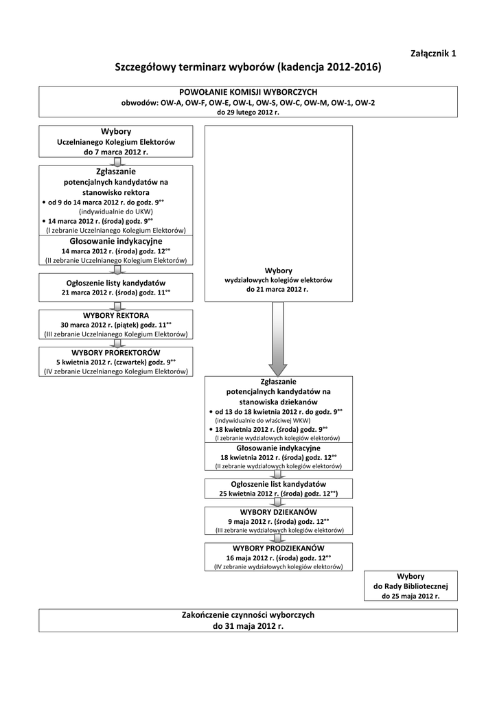
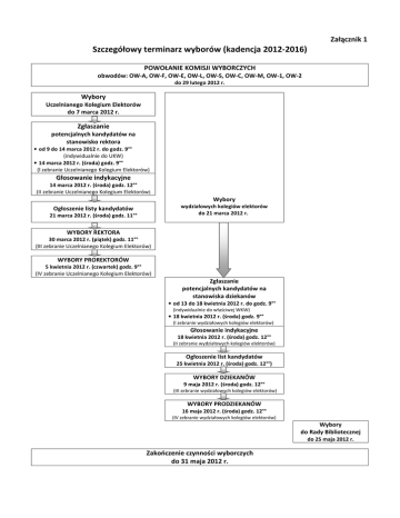
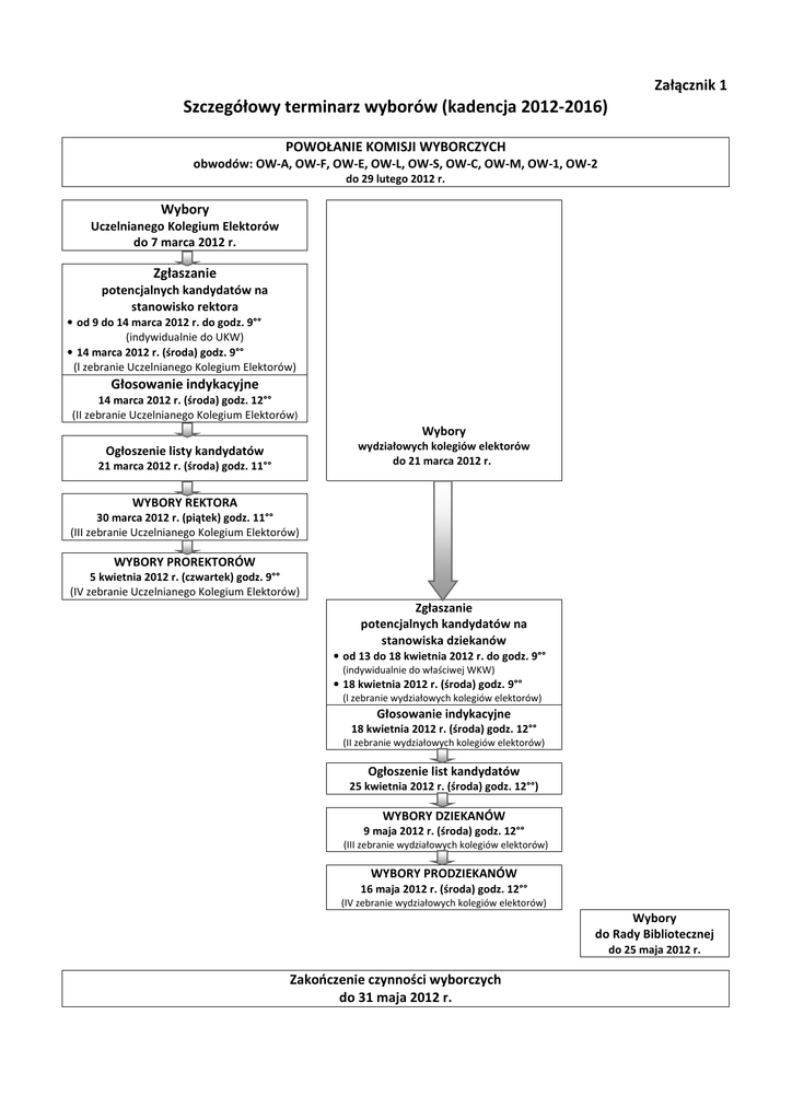
Załącznik 1
Szczegółowy terminarz wyborów (kadencja 2012-2016)
POWOŁANIE KOMISJI WYBORCZYCH
obwodów: OW-A, OW-F, OW-E, OW-L, OW-S, OW-C, OW-M, OW-1, OW-2
do 29 lutego 2012 r.
Wybory
Uczelnianego Kolegium Elektorów
do 7 marca 2012 r.
Zgłaszanie
potencjalnych kandydatów na
stanowisko rektora
• od 9 do 14 marca 2012 r. do godz. 9°°
(indywidualnie do UKW)
• 14 marca 2012 r. (środa) godz. 9°°
(l zebranie Uczelnianego Kolegium Elektorów)
Głosowanie indykacyjne
14 marca 2012 r. (środa) godz. 12°°
(II zebranie Uczelnianego Kolegium Elektorów)
Wybory
wydziałowych kolegiów elektorów
do 21 marca 2012 r.
Ogłoszenie listy kandydatów
21 marca 2012 r. (środa) godz. 11°°
WYBORY REKTORA
30 marca 2012 r. (piątek) godz. 11°°
(III zebranie Uczelnianego Kolegium Elektorów)
WYBORY PROREKTORÓW
5 kwietnia 2012 r. (czwartek) godz. 9°°
(IV zebranie Uczelnianego Kolegium Elektorów)
Zgłaszanie
potencjalnych kandydatów na
stanowiska dziekanów
• od 13 do 18 kwietnia 2012 r. do godz. 9°°
(indywidualnie do właściwej WKW)
• 18 kwietnia 2012 r. (środa) godz. 9°°
(l zebranie wydziałowych kolegiów elektorów)
Głosowanie indykacyjne
18 kwietnia 2012 r. (środa) godz. 12°°
(II zebranie wydziałowych kolegiów elektorów)
Ogłoszenie list kandydatów
25 kwietnia 2012 r. (środa) godz. 12°°)
WYBORY DZIEKANÓW
9 maja 2012 r. (środa) godz. 12°°
(III zebranie wydziałowych kolegiów elektorów)
WYBORY PRODZIEKANÓW
16 maja 2012 r. (środa) godz. 12°°
(IV zebranie wydziałowych kolegiów elektorów)
Wybory
do Rady Bibliotecznej
do 25 maja 2012 r.
Zakończenie czynności wyborczych
do 31 maja 2012 r.
Załącznik 2
Tabela 1. Podział mandatów przedstawicielskich w Uczelnianym Kolegium Elektorów
Liczba członków Senatu: 60.
Obwody wyborcze
OW-A Wydział Architektury
OW-F Wydział Fizyki, Matematyki i Informatyki
OW-E Wydział Inżynierii Elektrycznej i
Komputerowej
OW-L Wydział Inżynierii Lądowej
OW-S Wydział Inżynierii Środowiska
OW-C Wydział Inżynierii i Technologii
Chemicznej
OW-M Wydział Mechaniczny
OW-1 Jednostki pozawydziałowe zatrudniające
nauczycieli akademickich
OW-2 Wszyscy pracownicy PK niebędący
nauczycielami akademickimi
Ogółem
Udział procentowy w składzie Senatu
SA
4
3
Członkowie Senatu
SB
SC
2
1
2
1
SD
Elektorzy
E
2
2
1
1
1
1
3
2
2
1
3
1
2
1
3
1
1
1
5
2
3
2
1
3
21
35,0%
12
20,0%
12(*)
20,0%
3
5,0%
11
(*) Mandaty grupy SC obejmują 11 mandatów studenckich i 1 mandat doktorancki
SA – nauczyciele akademiccy zatrudnieni na stanowisku profesora zwyczajnego lub nadzwyczajnego oraz inni
nauczyciele akademiccy posiadający stopień naukowy doktora habilitowanego
SB – pozostali nauczyciele akademiccy
SC – studenci i doktoranci
SD – pracownicy niebędący nauczycielami akademickimi
Tabela 2. Podział mandatów przedstawicielskich w wydziałowych kolegiach elektorów
Obwody wyborcze
OW-A Wydział Architektury
OW-F Wydział Fizyki, Matematyki i Informatyki
OW-E Wydział Inżynierii Elektrycznej i Komputerowej
OW-L Wydział Inżynierii Lądowej
OW-S Wydział Inżynierii Środowiska
OW-C Wydział Inżynierii i Technologii Chemicznej
OW-M Wydział Mechaniczny
Członkowie rady wydziału
stali
wybieralni
RA
RB
RC
RD
40
15
15
4
30
12
12
3
11
4
4
1
33
13
13
4
24
10
10
3
25
10
10
3
55
20
20
5
RA – wszyscy nauczyciele akademiccy posiadający tytuł profesora lub stopień doktora habilitowanego oraz
zatrudnieni na stanowisku profesora nadzwyczajnego nieposiadający stopnia naukowego doktora
habilitowanego
RB – pozostali nauczyciele akademiccy
RC – studenci i doktoranci
RD – pracownicy niebędący nauczycielami akademickimi
Ogółem
74
57
20
63
47
48
100