Lista dłuzników z którymi podpisano porozumienia o umorzeniu

Transkrypt

Lista dłuzników z którymi podpisano porozumienia o umorzeniu
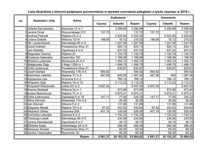
Lista dłużników z którymi podpisano porozumienia w sprawie umorzenia zaległości z tytułu czynszu w 2010 r.
Lp.
Nazwisko i imię
1
2
3
4
5
6
7
8
9
10
11
12
13
14
15
16
17
18
19
20
21
22
23
24
25
26
27
28
29
30
Jolanta Karczewska
Janina Ornat
Andrzej Felczak
Liliana Grabek
Wł. Lewandowski
Józef Celiński
Jan Wasilka
Bogusław Gawryś
Krystyna Gajewska
Bożena Lubańska
Małgorzata Ziaja
Zofia Izydorczyk
Józef Iwański
Kazimierz zieliński
Agnieszka Lipa
Wojciech Gajc
Krzysztof Wiśniewski
Ksenia Madejak
teresa Bednarczyk
Zofia Ładnowska
Alina Herman
Jan Sikorski
Zbigniew Misiak
Wojciech Glinka
Dominika Labudda
Teodozja Lesiak
Janina Stanisławiak
Elżbieta Szaja
Ireneusz Smolak
Janina Twarowska
Adres
Sosnowa 12 m 1
Wyszyńskiego 21C
Rejtana 25 m 2
Wilsona 12/14
Sikorskiego 65 m 9
Powstańców Wwy 31
Ogrodowa 8 m 6
Rejtana 25
Kopernika 19C
Słoneczna 24 m 4
3 Maja 130A m 1
Powstańców Wwy 31
Wawerska 17B m 9
Rejtana 7C m 5
Grniczna 9 m 2
Rejtana 1A m 10
Leśna 5C m 3
Wilsona 5a m 1
Rejtana 7C m 3
Zapolskiej 5 m 10
Wawerska 17A m 6
Główna 5 m 2
Rejtana 7D m 2
Sosnowa 20A
Sadowa 9 m 2
Sikorskiego 65 m 5
Ogrodowa 6 m 2
Sobieskiego 3A m 8
Powstańców Wwy 31
Reymonta 1D
Razem
Zadłużenie
Czynsz
Odsetki
3 290,69
137,72
198,90
594,92
487,06
5 525,90
16,12
1 227,99
624,13
637,03
1 124,79
1 168,99
1 052,73
1 496,75
635,87
600,00
789,12
2 112,23
3 637,40
147,17
87,02
401,18
5 691,37
673,89
5 975,21
77,05
26,26
131,86
453,62
128,08
1 742,33
234,90
46,73
266,36
69,30
65,32
30 193,25
Umorzenie
Razem
3 290,69
137,72
5 525,90
215,02
1 227,99
624,13
637,03
1 124,79
1 168,99
1 052,73
1 496,75
635,87
594,92
1 087,06
789,12
2 112,23
3 637,40
673,89
5 975,21
224,22
26,26
131,86
540,64
529,26
1 742,33
234,90
46,73
266,36
69,30
65,32
35 884,62
Czynsz
Odsetki
3 290,69
137,72
198,90
594,92
487,06
5 525,90
16,12
1 227,99
624,13
637,03
1 124,79
1 168,99
1 052,73
1 496,75
635,87
600
789,12
2 112,23
3 637,40
147,17
87,02
401,18
5 691,37
673,89
5 975,21
77,05
26,26
131,86
453,62
128,08
1 742,33
234,90
46,73
266,36
69,30
65,32
30 193,25
Razem
3 290,69
137,72
5 525,90
215,02
1 227,99
624,13
637,03
1 124,79
1 168,99
1 052,73
1 496,75
635,87
594,92
1 087,06
789,12
2 112,23
3 637,40
673,89
5 975,21
224,22
26,26
131,86
540,64
529,26
1 742,33
234,90
46,73
266,36
69,30
65,32
35 884,62